\`x^2+y_1+z_12^34\`
Advanced Search
Article Contents
Article Contents

Sensitivity of combined chemo-and antiangiogenic therapy results in different models describing cancer growth

  • * Corresponding author: Jaroslaw Smieja

    * Corresponding author: Jaroslaw Smieja

This work was supported by the NCN grant DEC-2013/11/B/ST7/01713.

Abstract / Introduction Full Text(HTML) Figure(11) / Table(3) Related Papers Cited by
  • This paper is concerned with analysis of two anticancer therapy models focused on sensitivity of therapy outcome with respect to model structure and parameters. Realistic periodic therapies are considered, combining cytotoxic and antiangiogenic agents, defined on a fixed time horizon. Tumor size at the end of therapy and average tumor size calculated over therapy horizon are chosen to represent therapy outcome. Sensitivity analysis has been performed numerically, concentrating on model parameters and structure at one hand, and on treatment protocol parameters, on the other. The results show that sensitivity of the therapy outcome highly depends on the model structure, helping to discern a good model. Moreover, it is possible to use this analysis to find a good protocol in case of heterogeneous tumors.

    Mathematics Subject Classification: Primary: 58F15, 58F17; Secondary: 53C35.

    Citation:

    \begin{equation} \\ \end{equation}
  • 加载中
  • Figure 1.  Parameter sensitivity ranking calculated with first-order sensitivity functions for the model (2). Sensitivity indices for parameters were normalized to the maximum value

    Figure 2.  Parameter sensitivity rankings calculated with first-order sensitivity functions for different treatment protocols and the model (2): chemotherapy administered every (a) 2 days, (b) 4 days, (c) 10 days; antiangiogenic agents administered every (a) 10 days, (b) 13 days, (c) 20 days. Sensitivity indices for parameters were normalized to the maximum value to facilitate comparison of the rankings

    Figure 3.  The heatmap representing sensitivity of the treatment outcome, defined as the number of cancer cells at the end of treatment (right) and two sample solutions that illustrate its meaning (left)

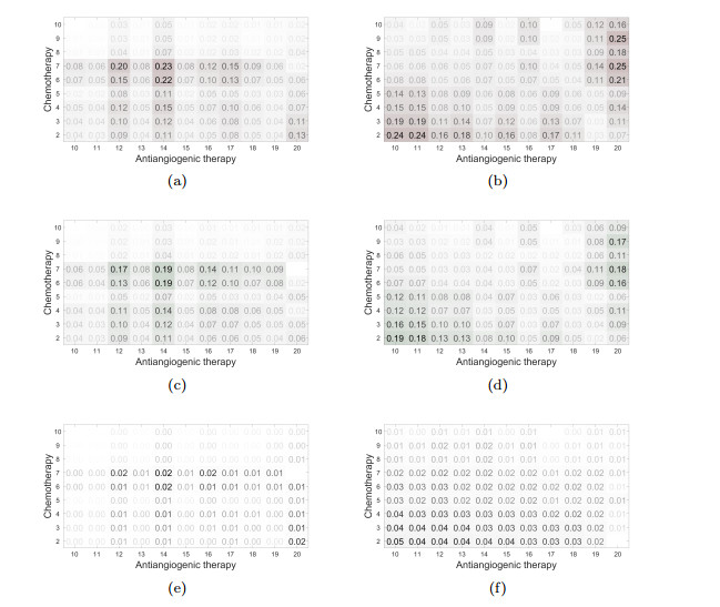
    Figure 4.  Evaluation of various treatment protocols for the models (a, b) (2) and (c, d) (3); taking into account: low drugs toxicity (a, c) and high drugs toxicity (b, d). Axes are labeled by the number of days between consecutive doses of respective drugs

    Figure 5.  An example of the model (2) response for treatment protocol selected on the basis of J

    Figure 6.  Changes in therapy outcome caused by different administration times of the same total doses for the models (a, b) (2) and (c, d) (3). Left and right columns represent indices given by the tumor volume at the end of treatment and mean tumor volume during the treatment, respectively

    Figure 7.  Changes in therapy outcome for model (2) due to changes in parameter $\beta$: (a, b) increased by 50%; (c, d) decreased by 50%. Left and right columns represent indices given by the tumor volume at the end of treatment and mean tumor volume during the treatment, respectively

    Figure 8.  Changes in therapy efficiency caused by variability in parameters for model (2). Maximum change is presented. (a, b) $\beta$, (c, d) $\gamma$, (e, f) $\lambda$. Left and right columns represent indices given by the tumor volume at the end of treatment and mean tumor volume during the treatment, respectively

    Figure 9.  Changes in therapy efficiency caused by variability in parameters for model (2). Mean change is presented. (a, b) $\beta$, (c, d) $\gamma$, (e, f) $\lambda$. Left and right columns represent indices given by the tumor volume at the end of treatment and mean tumor volume during the treatment, respectively

    Figure 10.  Changes in therapy efficiency caused by variability in parameters for model (3). Max change is presented. (a, b) $\beta$, (c, d) $\gamma$, (e, f) $\lambda$. Left and right columns represent indices given by the tumor volume at the end of treatment and mean tumor volume during the treatment, respectively

    Figure 11.  Changes in therapy efficiency caused by variability in parameters for model (3). Mean change is presented. (a, b) $\beta$, (c, d) $\gamma$, (e, f) $\lambda$. Left and right columns represent indices given by the tumor volume at the end of treatment and mean tumor volume during the treatment, respectively

    Table 1.  Nominal values of parameters

    Par.ValuesDescription
    Model (2)Model (3)
    $N_0$$10^6$$10^6$Initial no. of cancer cells $[mm^3]$
    $K_0$$N_0 \cdot 10 $$N_0 \cdot 10 $Initial no. of endothelial cells $[mm^3]$
    $\beta$$1.92 \cdot 10^{-1}$$1.92 \cdot 10^{-1}$Tumor growth parameter $[day^{-1}]$
    $\gamma$$1.755 \cdot 10^{1}$$1.755 \cdot 10^{1}$Endothelial stimulation parameter $[day^{-1}]$
    $\lambda$$8.73 \cdot 10^{-5}$$8.73 \cdot 10^{-5}$Endothelial inhibition parameter $[day^{-1} mm^{-\frac{2}{3}}]$
    $\mu$00Natural mortality of endothelial cells $[day^{-1}]$
    $\psi$$1.17 \cdot 10^{-2}$-Cytostatic killing parameter (for cancer cells) $[mg^{-1} m^2]$
    $\psi * $-$1.17 \cdot 10^{-2}$Maximum value of cytostatic killing parameter (for cancer cells) -$[mg^{-1} m^2]$
    $\eta$$1.17 \cdot 10^{-4}$$1.17 \cdot 10^{-4}$Cytostatic killing parameter (for endothelial cells) $[mg^{-1} m^2]$
    $\xi$$1.75 \cdot 10^{-2}$$5.25 \cdot 10^{-2}$Anti-angiogenic killing parameter $[mg^{-1} kg]$
    $\sigma$-$3.5\cdot 10^{-1}$Parametr used in the efficacy curve of the drug
    $\rho_{opt}$-2$\frac{K}{N}$ ratio, for which the most effective functionality of vasculature is observed
     | Show Table
    DownLoad: CSV

    Table 2.  Pharmacokinetics parameters

    Parameter$k_u$$k_v$$T_{u1/2}$$T_{v1/2}$
    Model (2)$0.0117$$0.0175$12[h]3.5[days]
    Model (3)$0.0117$$0.0525$12[h]3.5[days]
    $u$ -chemotherapy
    $v$ -antiangiogenic therapy
     | Show Table
    DownLoad: CSV

    Table 3.  Performance index parameters for models (2) and (3)

    Case(ⅰ)(ⅱ)
    Parameter$r_1$$r_2$$r_3$$r_1$$r_2$$r_3$
    Value$1$$0.1 \cdot 10^4$$0.05 \cdot 10^4$$1$$0.5 \cdot 10^5$$0.25 \cdot 10^5$
     | Show Table
    DownLoad: CSV
  •   K. D. Argyri, D. D. Dionysiou, F. D. Misichroni and G. S. Stamatakos, Numerical simulation of vascular tumour growth under antiangiogenic treatment: Addressing the paradigm of single-agent bevacizumab therapy with the use of experimental data Biology Direct, 11 (2016), p12. doi: 10.1186/s13062-016-0114-9.
      F. Billy, J. Clairambault and O. Fercoq, Optimisation of cancer drug treatments using cell population dynamics, Mathematical Methods and Models in Biomedicine (eds. Ledzewicz U., Schättler H., Friedman A., Kashdan E. ), (2013), 265-309. doi: 10.1007/978-1-4614-4178-6_10.
      J. J. Cruz, Feedback Systems, McGraw-Hill, 1972.
      B. C. Daniels , Y. J. Chen , J. P. Sethna , R. N. Gutenkunst  and  C. R. Myers , Sloppiness, robustness, and evolvability in systems biology, Current Opinion in Biotechnology, 19 (2008) , 389-395.  doi: 10.1016/j.copbio.2008.06.008.
      A. D'Onofrio  and  A. Gandolfi , A family of models of angiogenesis and anti-angiogenesis anti-cancer therapy, Mathematical Medicine and Biology, 26 (2009) , 63-95.  doi: 10.1093/imammb/dqn024.
      A. d'Onofrio  and  A. Gandolfi , Chemotherapy of vascularised tumours: Role of vessel density and the effect of vascular "pruning", Journal of Theoretical Biology, 264 (2010) , 253-265.  doi: 10.1016/j.jtbi.2010.01.023.
      A. D'Onofrio , U. Ledzewicz , H. Maurer  and  H. Schättler , On optimal delivery of combination therapy for tumors, Mathematical Biosciences, 222 (2009) , 13-26.  doi: 10.1016/j.mbs.2009.08.004.
      H. Enderling  and  M. A. Chaplain , Mathematical modeling of tumor growth and treatment, Current Pharmaceutical Design, 20 (2014) , 4934-4940.  doi: 10.2174/1381612819666131125150434.
      J. Folkman  and  M. Klagsbrun , Angiogenic factors, Science, 235 (1987) , 442-447.  doi: 10.1126/science.2432664.
      R. N. Gutenkunst , J. J. Watefall , F. P. Casey , K. S. Brown , C. R. Myers  and  J. P. Sethna , Universally sloppy parameter sensitivities in systems biology models, PLOS Computational Biology, 3 (2007) , 1871-1878.  doi: 10.1371/journal.pcbi.0030189.
      P. Hahnfeldt , D. Panigrahy , J. Folkman  and  L. Hlatky , Tumor development under angiogenic signaling: A dynamical theory of tumor growth, treatment response, and postvascular dormancy, Cancer Research, 19 (1999) , 4770-4775. 
      http://drugs.com, Available: 2016-09-30.
      M. Komorowski , M. J. Costa , D. A. Rand  and  M. P. H. Stumpf , Sensitivity, robustness, and identifiability in stochastic chemical kinetics models, PNAS, 108 (2011) , 8645-8650.  doi: 10.1073/pnas.1015814108.
      U. Ledzewicz, H. Maurer and H. Schättler, Minimizing Tumor Volume for a Mathematical Model of Anti-Angiogenesis with Linear Pharmacokinetics, Recent Advances in Optimization and its Applications in Engineering (eds. Diehl M., Glineur F., Jarlebring E., Michiels W., (2010), 267-276. doi: 10.1007/978-3-642-12598-0_23.
      U. Ledzewicz  and  H. Schättler , Anti-angiogenic therapy in cancer treatment as an optimal control problem, SIAM J. on Control and Optimization, 46 (2007) , 1052-1079.  doi: 10.1137/060665294.
      B. K. Mannakee , A. P. Ragsdale , M. K. Transtrum  and  R. N. Gutenkunst , Sloppiness and the geometry of parameter space, Uncertainty in Biology: A Computational Modeling Approach (eds. Geris L., Gomez-Cabrero D.), 17 (2015) , 271-299.  doi: 10.1007/978-3-319-21296-8_11.
      J. Poleszczuk, P. Hahnfeldt and H. Enderling, Therapeutic implications from sensitivity analysis of tumor angiogenesis models PLoS One, 10(2015), e0120007. doi: 10.1371/journal.pone.0120007.
      A. Saltelli, Sensitivity Analysis in Practice: A Guide to Assessing Scientific Models, John Wiley & Sons, 2004.
      A. Saltelli , M. Ratto , S. Tarantola  and  F. Campolongo , Sensitivity analysis practices: Strategies for model-based inference, Reliability Engineering and System Safety, (2006) , 1109-1125. 
      H. Schättler and U. Ledzewicz, Optimal Control for Mathematical Models of Cancer Therapies -an Application of Geometric Methods, Interdisciplinary Applied Mathematics, 42. Springer, New York, 2015. doi: 10.1007/978-1-4939-2972-6.
      A. Swierniak , M. Kimmel  and  J. Smieja , Mathematical modeling as a tool for planning anticancer therapy, European Journal of Pharmacology, 625 (2009) , 108-121.  doi: 10.1016/j.ejphar.2009.08.041.
      A. Swierniak, M. Kimmel, J. Smieja, K. Puszynski and K. Psiuk-Maksymowicz, System Engineering Approach to Planning Anticancer Therapies, Springer, 2016. doi: 10.1007/978-3-319-28095-0.
      N. S. Vasudev  and  A. R. Reynolds , Anti-angiogenic therapy for cancer: Current progress, unresolved questions and future directions, Angiogenesis, 17 (2014) , 471-494.  doi: 10.1007/s10456-014-9420-y.
      J. Welti , S. Loges , S. Dimmeler  and  P. Carmeliet , Recent molecular discoveries in angiogenesis and antiangiogenic therapies in cancer, The Journal of Clinical Investigation, 8 (2013) , 3190-3200.  doi: 10.1172/JCI70212.
      J. Zalevsky , A. K. Chamberlain , H. M. Horton , S. Karki , I. W. Leung , T. J. Sproule , G. A. Lazar , D. C. Roopenian  and  J. R. Desjarlais , Enhanced antibody half-life improves in vivo activity, Nature Biotechnology, 28 (2010) , 157-159.  doi: 10.1038/nbt.1601.
  • 加载中

Figures(11)

Tables(3)

SHARE

Article Metrics

HTML views(3088) PDF downloads(90) Cited by(0)

Access History

Catalog

    /

    DownLoad:  Full-Size Img  PowerPoint
    Return
    Return