\`x^2+y_1+z_12^34\`
Advanced Search
Article Contents
Article Contents

Application of preservation technology for lifetime dependent products in an integrated production system

Abstract / Introduction Full Text(HTML) Figure(8) / Table(5) Related Papers Cited by
  • It is important to adopt precisely the optimum level of preservation technology for deteriorating products, as with every passing day, a larger number of items deteriorate and cause an economic loss. For earning more profit, industries have a tendency to add more preservatives for long lifetime of products. However, realizing the health issues, there is a boundary that no manufacturer can add huge amount of preservatives for infinite lifetime of products. The correlation between the long lifetime along with the price of the product is introduced in this model to show the benefit of the optimum level of investment in preservation technology. To maintain the environmental sustainability, the deteriorated items, which can no longer be preserved by adding preservatives anywhere, are disposed with proper protection. The objective of the study is to obtain profit to show the application through a non-linear mathematical. The model is solved through Kuhn-Tucker and an algorithm. Robustness of the model is verified through numerical experiments and sensitivity analysis. Some comparative analyses are provided, which support the adoption of preservation technology for deteriorating products. Numerical studies proved that the profit increases significantly with the application of proposed preservation technology. Some important managerial insights are provided to help the decision makers while implementing the proposed model in real-world situations.

    Mathematics Subject Classification: Primary: 90B30, 90C30; Secondary: 03C40.

    Citation:

    \begin{equation} \\ \end{equation}
  • 加载中
  • Figure 1.  Process flow

    Figure 2.  Product's maximum lifetime versus rate of deterioration

    Figure 3.  Inventory behavior during one cycle

    Figure 4.  Improvement of profit with application of proposed preservation technology

    Figure 5.  Variation in production time by varying the setup cost, material cost, manufacturing cost, inventory holding cost and disposal cost

    Figure 6.  Variation in cycle time by varying the setup cost, material cost, manufacturing cost, inventory holding cost and disposal cost

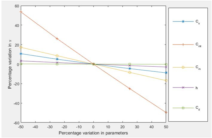
    Figure 7.  Variation in cost of preservation by varying the setup cost, material cost, manufacturing cost, inventory holding cost and disposal cost

    Figure 8.  Variation in profit by varying the setup cost, material cost, manufacturing cost, inventory holding cost and disposal cost

    Table 1.  Authors' contribution to the literature

    Reference paper Deterioration Preservation technology MLD selling-price
    type formulation
    Hsu et al. [13] constant $-$ $\surd$ $-$
    Sarkar [24] Time-varying MLD $-$ $-$
    Sarkar and Sarkar [28] Time-varying Linear
    Dye [8] Time-varying Linear $\surd$ $-$
    Qin et al. [21] Time-and temperature Exponential varying $-$ $-$
    Wee and Widyadana [37] Constant $-$ $-$ $-$
    Chew et al. [7] $-$ $-$ $-$ $\surd$
    Sarkar [25] Random Uniform, triangular Beta $-$ $-$
    Wang et al. [36] Time-varying MLD $-$ $-$
    Priyan and Uthayakumar [19] Fuzzy Triangular $-$ $-$
    Shah et al. [29] Time-varying MLD $\surd$ $-$
    Tsao [34] Constant $-$ $\surd$
    This paper Time-varying MLD $\surd$ $\surd$
     | Show Table
    DownLoad: CSV

    Table 2.  Values of the parameters for numerical experiment

    $C_s$ = $500/setup $h$ = $0.8/unit/month $a$ = 1500 units/month $L$ = 4 months
    $δ$ = 0.05 $C_{mt}$ = $15/unit $C_d$ = $0.5/unit $b$ = 60 units/month
    $k$ = 3.2 $C_m$ = $10/unit $\varepsilon$ = $100/unit $ M$ = $10/unit
    $γ$ = 0.005
     | Show Table
    DownLoad: CSV

    Table 3.  Optimal solution for the numerical experiment when preservation technology is applied

    $t_1^*$ = 0.21 month $T^*$ = 0.68 month $C_p^*$ = $1.78 /unit/unit time $\pi^*$ = $115955/month
     | Show Table
    DownLoad: CSV

    Table 4.  Optimal solution for the numerical experiment when preservation technology is not applied

    $t_1^*$= 0:18 month $T^*$= 0.54 month $\pi^*$= $ \$ $111106/month
     | Show Table
    DownLoad: CSV

    Table 5.  Sensitivity analysis

    Parameters Changes of parameters (in %) $t_1^*$(in %) $T^*$ $C_p^*$ $\pi^*$
    -50% -26.82 -22.62 -19.26 +10.72
    -25% -11.73 -9.31 -10.00 +5.03
    $C_s$ +25% +9.50 +7.98 +8.15 -8.92
    +50% +18.44 +14.86 +15.19 -8.92
    -50% +50.84 +38.14 +39.63 +53.65
    -25% +19.55 +15.52 +15.93 +26.11
    $C_{mt}$ +25% -13.41 -11.09 -11.85 -25.15
    +50% -23.46 -19.29 -20.37 -49.63
    -50% +12.29 +9.76 +10.00 +17.27
    -25% +5.59 +4.66 +4.44 +8.58
    $C_m$ +25% -5.03 -3.99 -4.44 -8.47
    +50% -9.50 -7.76 -8.15 -16.85
    -50% +11.17 +9.09 +9.26 +3.30
    -25% +5.03 +4.21 +4.07 +1.60
    $h$ +25% -5.03 -3.55 -4.07 -1.52
    +50% -8.94 -6.87 -7.41 -2.95
    -50% +0.56 +0.67 +0.37 +0.22
    -25% +0.00 +0.22 +0.00 +0.10
    $C_d$ +25% -0.56 -0.22 -0.37 -0.10
    +50% -0.56 -0.44 -0.74 -0.22
     | Show Table
    DownLoad: CSV
  • [1] M. BesiouP. Georgiadis and L. N. Van Wassenhove, Official recycling and scavengers: Symbiotic or conflicting?, European Journal of Operational Research, 218 (2012), 563-576. 
    [2] S. M. Bragg, Production cost reduction, Cost Reduction Analysis: Tools and Strategies, (2010), 91-105. 
    [3] T. ChakrabartyB. C. Giri and K. Chaudhuri, An EOQ model for items with Weibull distribution deterioration, shortages and trended demand: An extension of Philip's model, Computers & Operations Research, 25 (1998), 649-657. 
    [4] H.-J. Chang and C.-Y. Dye, An EOQ model for deteriorating items with time varying demand and partial backlogging, Journal of the Operational Research Society, (1999), 1176-1182. 
    [5] S.-C. Chen and J.-T. Teng, Retailer's optimal ordering policy for deteriorating items with maximum lifetime under supplier's trade credit financing, Applied Mathematical Modelling, 38 (2014), 4049-4061.  doi: 10.1016/j.apm.2013.11.056.
    [6] S.-C. Chen and J.-T. Teng, Inventory and credit decisions for time-varying deteriorating items with up-stream and down-stream trade credit financing by discounted cash flow analysis, European Journal of Operational Research, 243 (2015), 566-575.  doi: 10.1016/j.ejor.2014.12.007.
    [7] E. P. ChewC. Lee and R. Liu, Joint inventory allocation and pricing decisions for perishable products, International Journal of Production Economics, 120 (2009), 139-150. 
    [8] C.-Y. Dye, The effect of preservation technology investment on a non-instantaneous deteriorating inventory model, Omega, 41 (2013), 872-880. 
    [9] G. FauzaY. AmerS.-H. Lee and H. Prasetyo, An integrated single-vendor multi-buyer production-inventory policy for food products incorporating quality degradation, International Journal of Production Economics, 182 (2016), 409-417. 
    [10] L. FengY.-L. Chan and L. E. C$\acute{a}$rdenas-Barr$\acute{o}$n, Pricing and lot-sizing polices for perishable goods when the demand depends on selling price, displayed stocks, and expiration date, International Journal of Production Economics, 185 (2017), 11-20. 
    [11] P. Ghare and G. Schrader, A model for exponentially decaying inventory, Journal of Industrial Engineering, 14 (1963), 238-243. 
    [12] Y. He and H. Huang, Optimizing inventory and pricing policy for seasonal deteriorating products with preservation technology investment, Journal of Industrial Engineering, 2013 (2013), Article ID 793568, 1-7.
    [13] P. HsuH. Wee and H. Teng, Preservation technology investment for deteriorating inventory, International Journal of Production Economics, 124 (2010), 388-394. 
    [14] V. JeyakumarS. Srisatkunrajah and N. Huy, Kuhn-Tucker sufficiency for global minimum of multi-extremal mathematical programming problems, Journal of Mathematical Analysis and Applications, 335 (2007), 779-788.  doi: 10.1016/j.jmaa.2007.02.013.
    [15] S. Karlin and C. R. Carr, Prices and optimal inventory policy, Studies in Applied Probability and Management Science, 4 (1962), 159-172. 
    [16] Y. LiS. Zhang and J. Han, Dynamic pricing and periodic ordering for a stochastic inventory system with deteriorating items, Automatica, 76 (2017), 200-213.  doi: 10.1016/j.automatica.2016.11.003.
    [17] E. S. Mills, Uncertainty and price theory, The Quarterly Journal of Economics, 73 (1959), 116-130. 
    [18] M. $\ddot{O}$nalA. Yenipazarli and O. E. Kundakcioglu, A mathematical model for perishable products with price-and displayed-stock-dependent demand, Computers & Industrial Engineering, 102 (2016), 246-258. 
    [19] S. Priyan and R. Uthayakumar, An integrated production-distribution inventory system for deteriorating products involving fuzzy deterioration and variable setup cost, Journal of Industrial and Production Engineering, 31 (2014), 491-503. 
    [20] J. Qin and W. Liu, The optimal replenishment policy under trade credit financing with ramp type demand and demand dependent production rate, Discrete Dynamics in Nature and Society, 2014 (2014), Art. ID 839418, 18 pp. doi: 10.1155/2014/839418.
    [21] Y. QinJ. Wang and C. Wei, Joint pricing and inventory control for fresh produce and foods with quality and physical quantity deteriorating simultaneously, International Journal of Production Economics, 152 (2014), 42-48. 
    [22] R. Sachan, On (T, S i) policy inventory model for deteriorating items with time proportional demand, Journal of the Operational Research Society, (1984), 1013-1019. 
    [23] S. SahaI. Nielsen and I. Moon, Optimal retailer investments in green operations and preservation technology for deteriorating items, Journal of Cleaner Production, 140 (2017), 1514-1527. 
    [24] B. Sarkar, An EOQ model with delay in payments and time varying deterioration rate, Mathematical and Computer Modelling, 55 (2012), 367-377.  doi: 10.1016/j.mcm.2011.08.009.
    [25] B. Sarkar, A production-inventory model with probabilistic deterioration in two-echelon supply chain management, Applied Mathematical Modelling, 37 (2013), 3138-3151.  doi: 10.1016/j.apm.2012.07.026.
    [26] B. SarkarP. Mandal and S. Sarkar, An EMQ model with price and time dependent demand under the effect of reliability and inflation, Applied Mathematics and Computation, 231 (2014), 414-421.  doi: 10.1016/j.amc.2014.01.004.
    [27] B. SarkarS. S. Sana and K. Chaudhuri, Optimal reliability, production lotsize and safety stock: An economic manufacturing quantity model, International Journal of Management Science and Engineering Management, 5 (2010), 192-202. 
    [28] B. Sarkar and S. Sarkar, An improved inventory model with partial backlogging, time varying deterioration and stock-dependent demand, Economic Modelling, 30 (2013), 924-932. 
    [29] N. H. ShahU. Chaudhari and M. Y. Jani, Optimal policies for time-varying deteriorating item with preservation technology under selling price and trade credit dependent quadratic demand in a supply chain, International Journal of Applied and Computational Mathematics, 3 (2017), 363-379.  doi: 10.1007/s40819-016-0141-3.
    [30] N. H. ShahH. N. Soni and K. A. Patel, Optimizing inventory and marketing policy for non-instantaneous deteriorating items with generalized type deterioration and holding cost rates, Omega, 41 (2013), 421-430. 
    [31] K. SkouriI. KonstantarasS. Papachristos and I. Ganas, Inventory models with ramp type demand rate, partial backlogging and Weibull deterioration rate, European Journal of Operational Research, 192 (2009), 79-92.  doi: 10.1016/j.ejor.2007.09.003.
    [32] J. TangY. LiuR. Y. Fung and X. Luo, Industrial waste recycling strategies optimization problem: mixed integer programming model and heuristics, Engineering Optimization, 40 (2008), 1085-1100.  doi: 10.1080/03052150802294573.
    [33] J.-T. TengL. E. C$\acute{a}$rdenas-Barr$\acute{o}$nH.-J. ChangJ. Wu and Y. Hu, Inventory lot-size policies for deteriorating items with expiration dates and advance payments, Applied Mathematical Modelling, 40 (2016), 8605-8616.  doi: 10.1016/j.apm.2016.05.022.
    [34] Y.-C. Tsao, Designing a supply chain network for deteriorating inventory under preservation effort and trade credits, International Journal of Production Research, 54 (2016), 3837-3851. 
    [35] M. Tsiros and C. M. Heilman, The effect of expiration dates and perceived risk on purchasing behavior in grocery store perishable categories, Journal of Marketing, 69 (2005), 114-129. 
    [36] W.-C. WangJ.-T. Teng and K.-R. Lou, Seller's optimal credit period and cycle time in a supply chain for deteriorating items with maximum lifetime, European Journal of Operational Research, 232 (2014), 315-321.  doi: 10.1016/j.ejor.2013.06.027.
    [37] H. M. Wee and G. A. Widyadana, Economic production quantity models for deteriorating items with rework and stochastic preventive maintenance time, International Journal of Production Research, 50 (2012), 2940-2952. 
    [38] T. M. Whitin, Inventory control and price theory, Management Science, 2 (1955), 61-68. 
    [39] J. WuF. B. Al-KhateebJ.-T. Teng and L. E. Cárdenas-Barrón, Inventory models for deteriorating items with maximum lifetime under downstream partial trade credits to credit-risk customers by discounted cash-flow analysis, International Journal of Production Economics, 171 (2016), 105-115. 
    [40] C.-T. YangC.-Y. Dye and J.-F. Ding, Optimal dynamic trade credit and preservation technology allocation for a deteriorating inventory model, Computers & Industrial Engineering, 87 (2015), 356-369. 
    [41] M. F. Yang and W.-C. Tseng, Deteriorating inventory model for chilled food, Mathematical Problems in Engineering, 2015 (2015), Article ID 816876, 10pp. doi: 10.1155/2015/816876.
  • 加载中

Figures(8)

Tables(5)

SHARE

Article Metrics

HTML views(7160) PDF downloads(719) Cited by(0)

Access History

Other Articles By Authors

Catalog

    /

    DownLoad:  Full-Size Img  PowerPoint
    Return
    Return