\`x^2+y_1+z_12^34\`
Advanced Search
Article Contents
Article Contents

Non-exponential discounting portfolio management with habit formation

  • * Corresponding author: Liyuan Lin

    * Corresponding author: Liyuan Lin 
This work was supported by the National Natural Science Foundation of China (Grant No. 11771466, 11301559 and 11601157)
Abstract / Introduction Full Text(HTML) Figure(6) Related Papers Cited by
  • This paper studies the portfolio management problem for an individual with a non-exponential discount function and habit formation in finite time. The investor receives a deterministic income, invests in risky assets, buys insurance and consumes continuously. The objective is to maximize the utility of excessive consumption, heritage and terminal wealth. The non-exponential discounting makes the optimal strategy adopted by a naive person time-inconsistent. The equilibrium for a sophisticated person is Nash subgame perfect equilibrium, and the sophisticated person is time-consistent. We calculate the analytical solution for both the naive strategy and equilibrium strategy in the CRRA case and compare the results of the two strategies. By numerical simulation, we find that the sophisticated individual will spend less on consumption and insurance and save more than the naive person. The difference in the strategies of the naive and sophisticated person decreases over time. Furthermore, if an individual of either type is more patient in the future or has a greater tendency toward habit formation, he/she will consume less and buy less insurance, and the degree of inconsistency will also be increased. The sophisticated person's consumption and habit level are initially lower than those of a naive person but are higher in later periods.

    Mathematics Subject Classification: Primary: 91B08, 91B51; Secondary: 91G80.

    Citation:

    \begin{equation} \\ \end{equation}
  • 加载中
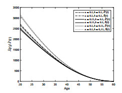
  • Figure 1.  The impact of $ k $ on $ \bar{A} $ and $ \hat{A} $

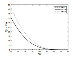
    Figure 2.  The impact of $ k $ in the degree of inconsistency

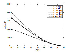
    Figure 3.  The impact of habit on $ \bar{A} $ and $ \hat{A} $

    Figure 4.  The impact of habit on the degree of inconsistency

    Figure 5.  Strategy for individual with or without habit

    Figure 6.  Example of $ \bar{H}(t)-\hat{H}(t) $ and $ \bar{c}(t)-\hat{c}(t) $

  • [1] G. Ainslie, Special reward: A behavioral theory of impulsiveness and impulse control, Psychological Bulletin, 82 (1975), 463-496.  doi: 10.1037/h0076860.
    [2] I. Alia, A non-exponential discounting time-inconsistent strochastic optimal control problem for jump-diffusion, Mathematical Control and Related Fields, 9 (2019), 541-570.  doi: 10.3934/mcrf.2019025.
    [3] O. Azfar, Rationalizing hyperbolic discounting, Journal of Economic Behavior and Organization, 38 (1999), 245-252.  doi: 10.1016/S0167-2681(99)00009-8.
    [4] T. BjörkA. Murgoci and X.Y. Zhou, Mean-variance portfolio optimization with state-dependent risk aversion, Mathematical Finance, 24 (2014), 1-24.  doi: 10.1111/j.1467-9965.2011.00515.x.
    [5] T. BjörkM. Khapko and A. Murgoci, On time-inconsistent stochastic control in continuous time, Finance Stoch, 21 (2017), 331-360.  doi: 10.1007/s00780-017-0327-5.
    [6] S. M. ChenZ. F. Li and Y. Zeng, Optimal dividend strategy for a general diffusion process with time-inconsistent preferences and ruin penalty, SIAM Journal on Financial Mathmatics, 9 (2018), 274-314.  doi: 10.1137/16M1088983.
    [7] S. Chen and G. B. Li, Time-inconsistent preferences, consumption, investment and life insurance decisions, Applied Economics Letters, 27 (2020), 392-399.  doi: 10.1080/13504851.2019.1617395.
    [8] G. M. Constantinides, Habit Formation: A Resolution of the Equity Premium Puzzle, The University of Chicago Press, 98 (1990), 519–543. Available from: https://www.jstor.org/stable/2937698. doi: 10.1086/261693.
    [9] J. B. Detemple and F. Zapatero, Optimal consumption-portfolio policies with habit formation, Mathematical Finance, 2 (1992), 251-274. 
    [10] A. DíazJ. Pijoan-Mas and J. V. Ríos-Rull, Precautionary savings and wealth distribution under habit formation preferences, Journal of Monetary Economics, 50 (2003), 1257-1291.  doi: 10.1016/S0304-3932(03)00078-3.
    [11] I. EkelandO. Mbodji and T. A. Pirvu, Time-Consistent Portfolio Management, SIAM Journal of Financial Math, 3 (2012), 1-32.  doi: 10.1137/100810034.
    [12] Y. HuH. Q. Jin and X. Y. Zhou, Time-inconsistent stochastic linear-quadratic control, SIAM Journal On Control and Optimization, 50 (2012), 1548-1572.  doi: 10.1137/110853960.
    [13] Y. HuH. Q. Jin and X. Y. Zhou, Time-inconsistent stochastic linear-quadratic control: Characterization and uniqueness of equilibrium, SIAM Journal On Control and Optimization, 55 (2017), 1261-1279.  doi: 10.1137/15M1019040.
    [14] J. H. HuangX. Li and J. M. Yong, A linear-quadratic optimal control problem for mean-field stochastic differential equation in infinite horizon, Mathematical Control and Related Field, 5 (2015), 97-139.  doi: 10.3934/mcrf.2015.5.97.
    [15] D. Laibson, Golden eggs and hyperbolic discounting, Quarterly Journal of Economics, 112 (1997), 443-477. 
    [16] D. Laibson, Life-cycle consumption and hyperbolic discount functions, European Economic Review, 42 (1998), 861-871.  doi: 10.1016/S0014-2921(97)00132-3.
    [17] P. LallyC. H. M. V. JaarsveldH. W. W. Potts and J. Wardle, How are habits formed: Modelling habit formation in the real world, European Journal of Social Psychology, 40 (2010), 998-1009.  doi: 10.1002/ejsp.674.
    [18] Y. W. Li and Z. F. Li, Optimal time-consistent investment and reinsurance strategies for mean variance insurers with state dependent risk aversion, Insurance Mathematics and Economics, 53 (2013), 86-97.  doi: 10.1016/j.insmatheco.2013.03.008.
    [19] J. Z. Liu, L. Y. Lin and H. Meng, Optimal consumption, life insurance and investment decision with habit formation, work in progress.
    [20] G. Loewenstein and D. Prelec, Anomalies in intertemporal choice: Evidence and an interpretation, The Quarterly Journal of Economics, 107 (1992), 573-597. 
    [21] R. C. Merton, Lifetime portfolio selection under uncertainty: The continuous-time case, The Review of Economics and Statistics, 51 (1969), 247-257.  doi: 10.2307/1926560.
    [22] J. Muellbauer, Habits, rationality and myopia in the life cycle consumption function, Annales d'Économie et de Statistique, 9 (1988), 47–70. doi: 10.2307/20075681.
    [23] S. F. Richard, Optimal consumption, portfolio and life insurance rules for an uncertain lived individual in a continuous time model, Journal of Financial Economics, 2 (1975), 187-203.  doi: 10.1016/0304-405X(75)90004-5.
    [24] R. H. Strotz, Myopia and inconsistency in dynamic utility maximization, Readings in Welfare Economics, (1973), 128–143. doi: 10.1007/978-1-349-15492-0_10.
    [25] S. X. WangX. M. Rong and H. Zhao, Mean-variance problem for an insurer with default risk under a jump-diffusion model, Communications in Statistics-Theory and Methods, 48 (2019), 4421-4249.  doi: 10.1080/03610926.2018.1490432.
    [26] T. X. Wang, Characterization of equilibrium controls in time inconsistent mean-field stochastic linear quadratic problem, Mathematical Control and Related Fields, 9 (2019), 385-409.  doi: 10.3934/mcrf.2019018.
    [27] J. M. Yong, Time-inconsistent optimal control problems and the equilibrium HJB equation, Mathematical Control and Related Fields, 2 (2012), 271-329.  doi: 10.3934/mcrf.2012.2.271.
    [28] Y. ZengZ. F. Li and J. J. Liu, Optimal strategies of benchmark and mean-variance portfolio selection problems for insurers, Journal of Industrial and Management Optimization, 6 (2010), 483-496.  doi: 10.3934/jimo.2010.6.483.
    [29] C. B. Zhang and Z. B. Liang, Portfolio optimization for jump-diffusion risky assets with common shock dependence and state dependent risk aversion, Optimal Control Applications and Methods, 38 (2017), 229-246.  doi: 10.1002/oca.2252.
    [30] Q. ZhaoR. M. Wang and J. Q. Wei, Exponential utility maximization for an insurer with timeinconsistent preferences, Insurance: Mathematics and Economics, 70 (2016), 89-104.  doi: 10.1016/j.insmatheco.2016.06.003.
    [31] Q. ZhaoR. M. Wang and J. Q. Wei, Time-inconsistent consumption-investment problem for a member in a defined contribution pension plan, Journal of Industrial and Management Optimization, 12 (2016), 1557-1585.  doi: 10.3934/jimo.2016.12.1557.
  • 加载中

Figures(6)

SHARE

Article Metrics

HTML views(4083) PDF downloads(489) Cited by(0)

Access History

Other Articles By Authors

Catalog

    /

    DownLoad:  Full-Size Img  PowerPoint
    Return
    Return