\`x^2+y_1+z_12^34\`
Advanced Search
Article Contents
Article Contents

Numerical simulations of fully Eulerian fluid-structure contact interaction using a ghost-penalty cut finite element approach

  • *Corresponding author: Thomas Wick

    *Corresponding author: Thomas Wick

Anne-Kathrin Wenske and Marc C. Steinbach gratefully acknowledge the financial support from the Deutsche Forschungsgemeinschaft (DFG, German Research Foundation) – SFB1463 – 434502799. Stefan Frei and Thomas Wick gratefully acknowledge the financial support from the DFG with the grant number 548064929.

Abstract / Introduction Full Text(HTML) Figure(8) / Table(3) Related Papers Cited by
  • In this work, we develop a cut-based unfitted finite element formulation for solving nonlinear, nonstationary fluid-structure interaction with contact in Eulerian coordinates. In the Eulerian description fluid flow modeled by the incompressible Navier-Stokes equations remains in Eulerian coordinates, while elastic solids are transformed from Lagrangian coordinates into the Eulerian system. A monolithic description is adopted. For the spatial discretization, we employ an unfitted finite element method with ghost penalties based on inf-sup stable finite elements. To handle contact, we use a relaxation of the contact condition in combination with a unified Nitsche approach that takes care implicitly of the switch between fluid-structure interaction and contact conditions. The temporal discretization is based on a backward Euler scheme with implicit extensions of solutions at the previous time step. The nonlinear system is solved with a semi-smooth Newton's method with line search. Our formulation, discretization and implementation are substantiated with an elastic falling ball that comes into contact with the bottom boundary, constituting a challenging state-of-the-art benchmark.

    Mathematics Subject Classification: Primary: 74F10, 76M10; Secondary: 65M60.

    Citation:

    \begin{equation} \\ \end{equation}
  • 加载中
  • Figure 1.  Euclidean norm of the fluid velocity $ \|v_f\|_2 $ on cut cells using $ w_{ \rm{{max}}} = 1 $ (left) and $ w_{ \rm{{max}}} = 3 $ (right). The values are taken from the "modified flow around a cylinder" computation in [27]

    Figure 2.  Visualization of the sets $ \mathcal{F}_G^s $ and $ \mathcal{F}_{h,n}^{{s}, \text{ext}} $ used in the definitions of the ghost penalty functions (13) and (14) for a circular solid domain

    Figure 3.  Relaxation of the contact condition with a planar wall: We impose the no-penetration condition already at a distance $ \epsilon>0 $ from the lower wall

    Figure 4.  Initial configuration for the bouncing elastic ball. All lengths are given in meters

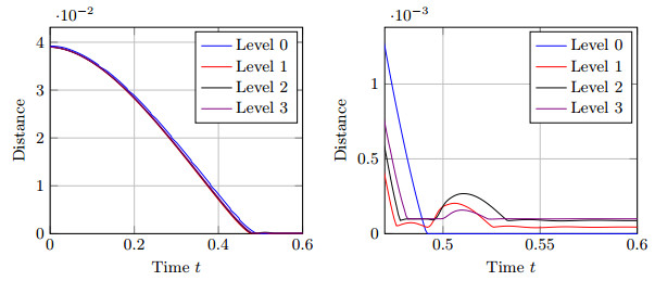
    Figure 5.  Minimal distance between the interface and the bottom boundary against time using the uniform mesh

    Figure 6.  Vertical velocities at time $ t = 0.29 $ (left) and $ t = 0.489 $ (right). Top: Uniform mesh. Bottom: Non-uniform mesh

    Figure 7.  Pressure at time $ t = 0.478 $ (before contact, top), time $ t = 0.489 $ (at contact, middle) and $ t = 0.510 $ (after contact, bottom). Left: Uniform mesh. Right: Non-uniform mesh. The white horizontal line corresponds to the relaxed distance $ \epsilon $. Note that the pressure variable is defined in the fluid domain below and (as an extension) in an additional layer within the solid domain

    Figure 8.  Minimal distance between the interface and the bottom boundary against time

    Table 1.  Physical parameters

    $ \nu_f $ $ \rho_f $ $ \rho_s $ $ \mu_s $ $ \lambda_s $
    7.0114 × 10−5 m2/s 1141 kg/m3 1361 kg/m3 20 kPa 80 kPa
     | Show Table
    DownLoad: CSV

    Table 2.  Quantities of interest on the uniform mesh on refinement levels 0 to 3 (top to bottom). All quantities are given in SI units.

    DoFs $ t^0 $ $ t^* $ $ v^* $ $ f^* $ $ t_{ \rm{{cont}}} $ $ t_{ \rm{{jump}}} $ $ h_{ \rm{{jump}}} $
    2695 0.2072 0.0623 $ - $0.1021 $ - $4.6861 0.3465
    9928 0.2024 0.0613 $ - $0.1035 $ - $4.9170 0.2738 0.3037 0.000203
    37660 0.2038 0.0613 $ - $0.1034 $ - $4.8917 0.2742 0.3068 0.000267
    146648 0.2045 0.0615 $ - $0.1030 $ - $4.6639 0.2772 0.3053 0.000158
    DoFs $ \max_t p_{ \rm{{bc}}} $ $ \max_{Q_f} v_f $ $ \max_t E_{ \rm{{el}}} $ $ \max_t E_{\text{kin},f} $ $ \max_t E_{\text{kin},s} $ nNewton
    2695 677.3779 0.1485 0.0001 0.0087 0.0030 1.1952
    9928 577.9210 0.1630 0.0031 0.0089 0.0032 1.2280
    37660 575.0429 0.1705 0.0034 0.0090 0.0032 1.2496
    146648 575.5481 0.1737 0.0021 0.0091 0.0031 1.3469
     | Show Table
    DownLoad: CSV

    Table 3.  Quantities of interest. Top: Uniform mesh. Bottom: Non-uniform mesh. All quantities are given in SI units.

    DoFs $ t^0 $ $ t^* $ $ v^* $ $ f^* $ $ t_{ \rm{{cont}}} $ $ t_{ \rm{{jump}}} $ $ h_{ \rm{{jump}}} $
    37660 0.2038 0.0613 $ - $0.1034 $ - $4.8917 0.2742 0.3068 0.000267
    55786 0.2060 0.0614 $ - $0.1031 $ - $4.8698 0.3154
    DoFs $ \max_t p_{ \rm{{bc}}} $ $ \max_{Q_f} v_f $ $ \max_t E_{ \rm{{el}}} $ $ \max_t E_{\text{kin},f} $ $ \max_t E_{\text{kin},s} $ nNewton
    37660 575.0429 0.1705 0.0034 0.0090 0.0032 1.2496
    55786 2020.4924 0.2417 0.0005 0.0094 0.0031 1.3278
     | Show Table
    DownLoad: CSV
  • [1] C. AgerB. SchottA.-T. VuongA. Popp and W. A. Wall, A consistent approach for fluid-structure-contact interaction based on a porous flow model for rough surface contact, Int. J. Numer. Methods Eng., 119 (2019), 1345-1378.  doi: 10.1002/nme.6094.
    [2] P. Alart and A. Curnier, A mixed formulation for frictional contact problems prone to Newton like solution methods, Comput. Methods Appl. Mech. Eng., 92 (1991), 353-375.  doi: 10.1016/0045-7825(91)90022-X.
    [3] P. R. AmestoyI. S. DuffJ.-Y. L'Excellent and J. Koster, A fully asynchronous multifrontal solver using distributed dynamic scheduling, SIAM Journal on Matrix Analysis and Applications, 23 (2001), 15-41.  doi: 10.1137/S0895479899358194.
    [4] D. ArndtW. BangerthM. BergbauerM. FederM. FehlingJ. HeinzT. HeisterL. HeltaiM. KronbichlerM. MaierP. MunchJ.-P. PelteretB. TurcksinD. Wells and S. Zampini, The $\texttt{deal.II}$ library, version 9.5, Journal of Numerical Mathematics, 31 (2023), 231-246.  doi: 10.1515/jnma-2023-0089.
    [5] D. ArndtW. BangerthD. DavydovT. HeisterL. HeltaiM. KronbichlerM. MaierJ.-P. PelteretB. Turcksin and D. Wells, The deal.II finite element library: Design, features, and insights, Comput. Math. Appl., 81 (2021), 407-422.  doi: 10.1016/j.camwa.2020.02.022.
    [6] M. AstorinoJ.-F. GerbeauO. Pantz and K.-F. Traoré, Fluid-structure interaction and multi-body contact: Application to aortic valves, Computer Methods in Applied Mechanics and Engineering, 198 (2009), 3603-3612.  doi: 10.1016/j.cma.2008.09.012.
    [7] Y. Bazilevs, K. Takizawa and T. E. Tezduyar, Computational Fluid-Structure Interaction: Methods and Applications, Wiley, 2013. doi: 10.1002/9781118483565.
    [8] T. Bodnár, G. P. Galdi and Š. Nečasová, Fluid-Structure Interaction and Biomedical Applications, Advances in Mathematical Fluid Mechanics, Springer Basel, 2014. doi: 10.1007/978-3-0348-0822-4.
    [9] A. N. Brooks and T. J. R. Hughes, Streamline upwind/Petrov-Galerkin formulations for convection dominated flows with particular emphasis on the incompressible Navier-Stokes equations, Comput. Methods Appl. Mech. Engrg., 32 (1982), 199-259.  doi: 10.1016/0045-7825(82)90071-8.
    [10] E. Burman, Ghost penalty, C. R. Math., 348 (2010), 1217-1220.  doi: 10.1016/j.crma.2010.10.006.
    [11] E. BurmanS. ClausP. HansboM. G. Larson and A. Massing, CutFEM: Discretizing geometry and partial differential equations, Internat. J. Numer. Methods Engrg., 104 (2015), 472-501.  doi: 10.1002/nme.4823.
    [12] E. Burman and M. A. Fernández, An unfitted Nitsche method for incompressible fluid–structure interaction using overlapping meshes, Comp. Methods Appl. Mech. Eng., 279 (2014), 497-514.  doi: 10.1016/j.cma.2014.07.007.
    [13] E. BurmanM. A. Fernández and S. Frei, A Nitsche-based formulation for fluid-structure interactions with contact, ESAIM. Math. Model. Numer. Anal., 54 (2020), 531-564.  doi: 10.1051/m2an/2019072.
    [14] E. Burman, M. A. Fernández, S. Frei and F. M. Gerosa, A mechanically consistent model for fluid–structure interactions with contact including seepage, Computer Methods in Applied Mechanics and Engineering, 392 (2022), 114637, 28 pp. doi: 10.1016/j.cma.2022.114637.
    [15] E. BurmanS. Frei and A. Massing, Eulerian time-stepping schemes for the non-stationary Stokes equations on time-dependent domains, Numer. Math., 150 (2022), 423-478.  doi: 10.1007/s00211-021-01264-x.
    [16] E. Burman and P. Hansbo, Fictitious domain finite element methods using cut elements: II. A stabilized Nitsche method, Appl. Numer. Math., 62 (2012), 328-341.  doi: 10.1016/j.apnum.2011.01.008.
    [17] E. Burman and P. Hansbo, Fictitious domain methods using cut elements: III. A stabilized Nitsche method for Stokes' problem, ESAIM. Math. Model. Numer. Anal., 48 (2014), 859–874. doi: 10.1051/m2an/2013123.
    [18] G.-H. CottetE. Maitre and T. Mileent, Eulerian formulation and level set models for incompressible fluid-structure interaction, ESAIM. Math. Model. Numer. Anal., 42 (2008), 471-492.  doi: 10.1051/m2an:2008013.
    [19] J. Donea, A. Huerta, J.-P. Ponthot and A. Rodríguez-Ferran, Arbitrary Lagrangian–Eulerian Methods, John Wiley & Sons, Ltd, 2004.
    [20] T. Dunne, An Eulerian approach to fluid-structure interaction and goal-oriented mesh adaption, Int. J. Numer. Methods Fluids, 51 (2006), 1017-1039.  doi: 10.1002/fld.1205.
    [21] J. Fara, S. Schwarzacher and K. Tůma, Geometric re-meshing strategies to simulate contactless rebounds of elastic solids in fluids, Computer Methods in Applied Mechanics and Engineering, 422 (2024), 116824, 24 pp. doi: 10.1016/j.cma.2024.116824.
    [22] L. FormaggiaF. Gatti and S. Zonca, An xfem/dg approach for fluid-structure interaction problems with contact, Applications of Mathematics, 66 (2021), 183-211.  doi: 10.21136/AM.2021.0310-19.
    [23] L. Formaggia and F. Nobile, A stability analysis for the arbitrary Lagrangian Eulerian formulation with finite elements, East-West Journal of Numerical Mathematics, 7 (1999), 105-132. 
    [24] L. Formaggia, A. Quarteroni and A. Veneziani, Cardiovascular Mathematics: Modeling and Simulation of the Circulatory System, Springer-Verlag, Italia, Milano, 2009. doi: 10.1007/978-88-470-1152-6.
    [25] S. Frei, An edge-based pressure stabilization technique for finite elements on arbitrarily anisotropic meshes, Int. J. Numer. Methods Fluids, 89 (2019), 407-429.  doi: 10.1002/fld.4701.
    [26] S. Frei, B. Holm, T. Richter, T. Wick and H. Yang, Fluid-Structure Interaction: Modeling, Adaptive Discretisations and Solvers, De Gruyter, 2017. doi: 10.1515/9783110494259.
    [27] S. Frei, T. Knoke, M. C. Steinbach, A.-K. Wenske and T. Wick, Modeling and numerical simulation of fully eulerian fluid-structure interaction using cut finite elements, accepted for publication at Enumath Proceedings 2024, (2024).
    [28] S. Frei and T. Richter, An accurate Eulerian approach for fluid-structure interaction, In S. Frei, B. Holm, T. Richter, T. Wick, and H. Yang, editors, Fluid-Structure Interaction: Modeling, Adaptive Discretization and Solvers, Radon Series on Computational and Applied Mathematics. Walter de Gruyter, Berlin, 2017, 69-126.
    [29] S. Frei and T. Richter, A locally modified parametric finite element method for interface problems, SIAM J. Numer. Anal., 52 (2014), 2315-2334.  doi: 10.1137/130919489.
    [30] S. Frei, T. Richter and T. Wick, Eulerian techniques for fluid-structure interactions: Part I – modeling and simulation, In Numerical Mathematics and Advanced Applications - ENUMATH 2013, Cham, 2015. Springer International Publishing, 745-753. doi: 10.1007/978-3-319-10705-9_74.
    [31] S. FreiT. Richter and T. Wick, Long-term simulation of large deformation, mechano-chemical fluid-structure interactions in ALE and fully Eulerian coordinates, J. Comp. Phys., 321 (2016), 874-891.  doi: 10.1016/j.jcp.2016.06.015.
    [32] S. Frei and M. K. Singh, An implicitly extended crank–nicolson scheme for the heat equation on a time-dependent domain, Journal of Scientific Computing, 99 (2024), 64, 29 pp. doi: 10.1007/s10915-024-02530-4.
    [33] G. P. Galdi and R. Rannacher, Fundamental Trends in Fluid-Structure Interaction, World Scientific, 2010. doi: 10.1142/7675.
    [34] F. M. Gerosa and A. L. Marsden, A mechanically consistent unified formulation for fluid-porous-structure-contact interaction, Computer Methods in Applied Mechanics and Engineering, 425 (2024), 116942, 22 pp. doi: 10.1016/j.cma.2024.116942.
    [35] V. Girault and P.-A. Raviart, Finite Element Method for the Navier-Stokes Equations, volume 5 in Computer Series in Computational Mathematics, Springer-Verlag, 1986. doi: 10.1007/978-3-642-61623-5.
    [36] R. GlowinskiT. W. PanT. I. HeslaD. D. Joseph and J. Périaux, A fictitious domain approach to the direct numerical simulation of incompressible viscous flow past moving rigid bodies: Application to particulate flow, Journal of Computational Physics, 169 (2001), 363-426.  doi: 10.1006/jcph.2000.6542.
    [37] R. GlowinskiT.-W. Pan and J. Periaux, A fictitious domain method for dirichlet problem and applications, Computer Methods in Applied Mechanics and Engineering, 111 (1994), 283-303.  doi: 10.1016/0045-7825(94)90135-X.
    [38] P. Hansbo, Nitsche's method for interface problems in computational mechanics, GAMM-Mitt., 28 (2005), 183-206.  doi: 10.1002/gamm.201490018.
    [39] A. Hansbo and P. Hansbo, An unfitted finite element method, based on Nitsche's method, for elliptic interface problems, Comp. Methods Appl. Mech. Eng., 191 (2002), 5537-5552.  doi: 10.1016/S0045-7825(02)00524-8.
    [40] F. Hecht and O. Pironneau, An energy stable monolithic Eulerian fluid-structure finite element method, Int. J. Numer. Methods Fluids, 85 (2017), 430-446.  doi: 10.1002/fld.4388.
    [41] T. I. Hesla, Collisions of Smooth Bodies in Viscous Fluids: A Mathematical Investigation, PhD thesis, University of Minnesota, 2004.
    [42] M. Hillairet, Lack of collision between solid bodies in a 2d incompressible viscous flow, Commun. Part. Diff. Eq., 32 (2007), 1345-1371.  doi: 10.1080/03605300601088740.
    [43] M. Hillairet and T. Takahashi, Collisions in three-dimensional fluid structure interaction problems, SIAM Journal on Mathematical Analysis, 40 (2009), 2451-2477.  doi: 10.1137/080716074.
    [44] T. J. R. HughesW. K. Liu and T. K. Zimmermann, Lagrangian-Eulerian finite element formulation for incompressible viscous flows, Comp. Methods Appl. Mech. Eng., 29 (1981), 329-349.  doi: 10.1016/0045-7825(81)90049-9.
    [45] A. LaadhariR. Ruiz-Baier and A. Quarteroni, Fully Eulerian finite element approximation of a fluid-structure interaction problem in cardiac cells, Int. J. Numer. Methods Eng., 96 (2013), 712-738.  doi: 10.1002/nme.4582.
    [46] C. Lehrenfeld and M. Olshanskii, An Eulerian finite element method for PDEs in time-dependent domains, ESAIM. Math. Model. Numer. Anal., 53 (2019), 585-614.  doi: 10.1051/m2an/2018068.
    [47] J. Nitsche, Über ein Variationsprinzip zur Lösung von Dirichlet-Problemen bei Verwendung von Teilräumen, die keinen Randbedingungen unterworfen sind, Abh. Math. Semin. Univ. Hamburg, 36 (1971), 9-15.  doi: 10.1007/BF02995904.
    [48] C. Peskin, The immersed boundary method, Acta Numer., 11 (2002), 479–517. doi: 10.1017/S0962492902000077.
    [49] B. Rath, X. Mao and R. K. Jaiman, An interface preserving and residual-based adaptivity for phase-field modeling of fully Eulerian fluid-structure interaction, J. Comput. Phys., 488 (2023), 112188, 30 pp. doi: 10.1016/j.jcp.2023.112188.
    [50] T. Richter, Fluid-Structure Interactions: Models, Analysis and Finite Elements, Lecture Notes in Computational Science and Engineering, volume 118, chapter 6., Springer, Cham, 2017, 79-115. doi: 10.1007/978-3-319-63970-3_3.
    [51] T. Richter, A fully Eulerian formulation for fluid–structure-interaction problems, J. Comput. Phys., 233 (2013), 227–240. doi: 10.1016/j.jcp.2012.08.047.
    [52] T. Richter and T. Wick, Finite elements for fluid–structure interaction in ALE and fully Eulerian coordinates, Comput. Methods Appl. Mech. Engrg., 199 (2010), 2633-2642.  doi: 10.1016/j.cma.2010.04.016.
    [53] K. SugiyamaS. IiS. TakeuchiS. Takagi and Y. Matsumoto, A full Eulerian finite difference approach for solving fluid-structure coupling problems, J. Comput. Phys., 3 (2011), 596-627.  doi: 10.1016/j.jcp.2010.09.032.
    [54] P. SunJ. Xu and L. Zhang, Full Eulerian finite element method of a phase field model for fluid-structure interaction problem, Comput. Fluids, 90 (2014), 1-8.  doi: 10.1016/j.compfluid.2013.11.010.
    [55] T. E. Tezduyar and S. Sathe, Modeling of fluid-structure interactions with the space-time finite elements: Solution techniques, International Journal for Numerical Methods in Fluids, 54 (2007), 855-900.  doi: 10.1002/fld.1430.
    [56] H. von Wahl, T. Richter, S. Frei and T. Hagemeier, Falling balls in a viscous fluid with contact: Comparing numerical simulations with experimental data, Phys. Fluids, 33 (2021), 033304, Editor's pick. doi: 10.1063/5.0037971.
    [57] H. von Wahl, T. Richter and C. Lehrenfeld, An unfitted finite element method for the time-dependent Stokes problem on moving domains, IMA J. Numer. Anal., 42 (2022), 2505–2544. doi: 10.1093/imanum/drab044.
    [58] T. Wick, Fully Eulerian fluid-structure interaction for time-dependent problems, Comp. Methods Appl. Mech. Eng., 255 (2013), 14-26.  doi: 10.1016/j.cma.2012.11.009.
    [59] T. Wick, Solving monolithic fluid-structure interaction problems in arbitrary Lagrangian Eulerian coordinates with the deal.II library, Arch. Num. Soft., 1 (2013), 1-19. 
    [60] P. Wriggers, Computational Contact Mechanics, Springer, Berlin Heidelberg, 2006. doi: 10.1007/978-3-540-32609-0.
  • 加载中

Figures(8)

Tables(3)

SHARE

Article Metrics

HTML views(2086) PDF downloads(140) Cited by(0)

Access History

Catalog

    /

    DownLoad:  Full-Size Img  PowerPoint
    Return
    Return