\`x^2+y_1+z_12^34\`
Advanced Search
Article Contents
Article Contents

Concurrent two-way coupling of global and local models across internal boundaries with non-matching discretizations

  • *Corresponding author: Arif Masud.

    *Corresponding author: Arif Masud.

Arif Masud is William J. and Elaine F. Hall Endowed Professor at the University of Illinois.

Abstract / Introduction Full Text(HTML) Figure(24) / Table(2) Related Papers Cited by
  • Coupling local and global models enables efficient simulation of multiscale systems, where global models capture large-scale behavior and local models, with enhanced physics, resolve finer details over a smaller region. This paper presents a mathematically consistent method for coupling physics-based models of varying fidelity across adjacent, non-overlapping subdomains, even when discretizations do not match at the immersed interdomain interfaces. Incompressible Navier-Stokes equations (NSE) constitute the global model while residual-based turbulence model serves as the local high-fidelity model. In addition, a scalar advection-diffusion equation that models the convection of an active scalar field is appended to the turbulence model in the local domain. This scalar field does not have its complement in the global model, giving rise to unequal number of equations at the immersed boundary between local and global models. Interdomain coupling terms are derived via the Variational Multiscale Discontinuous Galerkin (VMDG) method with new developments in scale representation and efficient fine-scale estimation. While transient laminar flows modeled with NSE in the global domain can be resolved with relatively coarse mesh, turbulent flow calculations in the local model require much finer spatial discretizations as well as smaller time-step for appropriately resolving the turbulent flow physics. The proposed framework also accommodates non-matching meshes at the immersed boundaries. Test problems in 2D and 3D numerically showcase the concurrent two-way coupling of unknown fields across the immersed boundaries. The 3D test presents a case with an unequal number of equations, where the scalar field represents the convection of contaminant concentration. This provides more detailed physics in the local region and highlights its application in climate modeling and atmospheric sciences.

    Mathematics Subject Classification: Primary: 76Dxxm, 76Fxx, 35Gxx; Secondary: 65Mxx.

    Citation:

    \begin{equation} \\ \end{equation}
  • 加载中
  • Figure 1.  Schematic of multi-PDE subdomains

    Figure 2.  Abstract representation of global and local models

    Figure 3.  Edge bubble function defined in the reference domain

    Figure 4.  Schematic diagram of global and local models with different fidelity physics and non-matching interfacial meshes

    Figure 5.  Unequal degrees of freedom between the global and local models across $ \Gamma_I $. (In the 3D case, there are 4 and 5 DOFs in the global and local meshes, respectively.)

    Figure 6.  Quadrature points for the surface integral along the interface $ \Gamma_I $

    Figure 7.  Geometry and boundary conditions for flow around a 2D square

    Figure 8.  Non-matching mesh for flow around a 2D square

    Figure 9.  Velocity and pressure fields computed on the non-matching mesh. (Green box indicates the interface.)

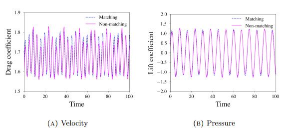
    Figure 10.  Comparison of time-varying drag and lift coefficients for flow around a 2D square at $ Re = 250 $

    Figure 11.  Velocities and pressure along the horizontal centerline. (The dotted vertical lines indicate the position of the interface.)

    Figure 12.  Configuration and dimensions of the computational domain for flow over a 3D block. (The blue inner box indicates the local domain.)

    Figure 13.  Matching and non-matching meshes for flow over a 3D block

    Figure 14.  Vortices around a block in the fine-grid block

    Figure 15.  Mean velocity magnitude computed on matching and non-matching meshes for flow over the 3D block. (The velocity magnitude is normalized by the free-stream velocity $ U_{\infty} $.)

    Figure 16.  Mean pressure coefficient computed on the matching and non-matching meshes for flow over a block

    Figure 17.  Mean pressure coefficient on the surface of the 3D block at $ z/d = 3 $. (The coordinate $ \xi $ represents the distance along the perimeter of the 3D block, as illstrated in the figure.)

    Figure 18.  Mean streamwise velocity and velocity fluctuation along the centerline at $ z/d = $1, 3 in the wake

    Figure 19.  Mean streamwise and spanwise velocities along the transverse axis at $ x/d = $2 and $ z/d = 3 $ in the wake

    Figure 20.  Mean streamwise and spanwise velocity fluctuations along the transverse axis at $ x/d = $2 and $ z/d = 3 $ in the wake

    Figure 21.  Energy spectrum of the streamwise velocity fluctuations along the centerline at $ z/d = $1 and $ z/d = $3 in the wake

    Figure 22.  Energy spectrum of the streamwise velocity fluctuations along the transverse line at $ x/d = $2, 3.5, and $ z/d = 3 $ in the wake region

    Figure 23.  Mass concentration around the 3D block in the fine-grid block over $ \Omega_L $

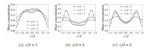
    Figure 24.  Time-averaged mass concentration along the transverse axis at various positions, $ x/d = $1, 2, 3 in the wake region

    Table 1.  Mean drag coefficient, root-mean-square (RMS) lift coefficient, and Strouhal number for flow around a 2D square at $ Re = 250 $

    $ C_D $ $ C_{L, \text{rms}} $ $ St $
    Main and Scovazzi [29] 1.66 0.66 0.145
    Dalton and Zheng [9] 1.8 0.36 0.16
    Franke et al. [14] 1.67 0.81 0.141
    Saha et al. [42] 1.72 0.193 0.154
    Present (Matching) 1.681 0.845 0.141
    Present (Non-matching) 1.674 0.834 0.139
     | Show Table
    DownLoad: CSV

    Table 2.  Description of the global and local models

    Global model Local model
    Equations NSE NSE+Turbulence
    Dispersion
    Degrees of freedom per node 4 $ ({\mathit{\boldsymbol{u}}}, p) $ 5 $ ({\mathit{\boldsymbol{u}}}, p, c) $
     | Show Table
    DownLoad: CSV
  • [1] A. S. AlmgrenJ. B. BellP. ColellaL. H. Howell and M. L. Welcome, A conservative adaptive projection method for the variable density incompressible Navier–Stokes equations, Journal of Computational Physics, 142 (1998), 1-46. 
    [2] S. Balay, S. Abhyankar, M. F. Adams, S. Benson, J. Brown, P. Brune, K. Buschelman, E. M. Constantinescu, L. Dalcin, A. Dener, V. Eijkhout, J. Faibussowitsch, W. D. Gropp, V. Hapla, T. Isaac, P. Jolivet, D. Karpeev, D. Kaushik, M. G. Knepley, F. Kong, S. Kruger, D. A. May, L. C. McInnes, R. T. Mills, L. Mitchell, T. Munson, J. E. Roman, K. Rupp, P. Sanan, J. Sarich, B. F. Smith, S. Zampini, H. Zhang, H. Zhang and J. Zhang, PETSc Web page, 2025, https://petsc.org/.
    [3] M. J. Berger and J. Oliger, Adaptive mesh refinement for hyperbolic partial differential equations, Journal of Computational Physics, 53 (1984), 484-512.  doi: 10.1016/0021-9991(84)90073-1.
    [4] J. A. BourgeoisP. Sattari and R. J. Martinuzzi, Alternating half-loop shedding in the turbulent wake of a finite surface-mounted square cylinder with a thin boundary layer, Physics of Fluids, 23 (2011).  doi: 10.1063/1.3623463.
    [5] G. H. Bryan and J. M. Fritsch, A benchmark simulation for moist nonhydrostatic numerical models, Monthly Weather Review, 130 (2002), 2917-2928. 
    [6] R. Calderer and A. Masud, Residual-based variational multiscale turbulence models for unstructured tetrahedral meshes, Computer Methods in Applied Mechanics and Engineering, 254 (2013), 238-253.  doi: 10.1016/j.cma.2012.09.015.
    [7] D. Caya and R. Laprise, A semi-implicit semi-lagrangian regional climate model: The canadian rcm, Monthly Weather Review, 127 (1999), 341-362. 
    [8] P. ChenT. J. Truster and A. Masud, Interfacial stabilization at finite strains for weak and strong discontinuities in multi-constituent materials, Computer Methods in Applied Mechanics and Engineering, 328 (2018), 717-751. 
    [9] C. Dalton and W. Zheng, Numerical solutions of a viscous uniform approach flow past square and diamond cylinders, Journal of Fluids and Structures, 18 (2003), 455-465. 
    [10] H. C. Davies, A lateral boundary formulation for multi-level prediction models, Quarterly Journal of the Royal Meteorological Society, 102 (1976), 405-418. 
    [11] S. Di SabatinoR. BuccolieriB. Pulvirenti and R. Britter, Simulations of pollutant dispersion within idealised urban-type geometries with CFD and integral models, Atmospheric Environment, 41 (2007), 8316-8329. 
    [12] D. R. DurranM.-J. YangD. N. Slinn and R. G. Brown, Toward more accurate wave-permeable boundary conditions, Monthly Weather Review, 121 (1993), 604-620. 
    [13] B. Engquist and A. Majda, Radiation boundary conditions for acoustic and elastic wave calculations, Communications on Pure and Applied Mathematics, 32 (1979), 314-358.  doi: 10.1002/cpa.3160320303.
    [14] R. FrankeW. Rodi and B. Schönung, Numerical calculation of laminar vortex-shedding flow past cylinders, Journal of Wind Engineering and Industrial Aerodynamics, 35 (1990), 237-257.  doi: 10.1016/0167-6105(90)90199-M.
    [15] S. GaberšekF. X. Giraldo and J. D. Doyle, Dry and moist idealized experiments with a two-dimensional spectral element model, Monthly Weather Review, 140 (2012), 3163-3182.  doi: 10.1175/MWR-D-11-00144.1.
    [16] D. Givoli, Non-reflecting boundary conditions, Journal of Computational Physics, 94 (1991), 1-29.  doi: 10.1016/0021-9991(91)90135-8.
    [17] T. Hagstrom, Radiation boundary conditions for the numerical simulation of waves, Acta Numerica, 8 (1999), 47-106. 
    [18] T. HagstromA. Mar-Or and D. Givoli, High-order local absorbing conditions for the wave equation: Extensions and improvements, Journal of Computational Physics, 227 (2008), 3322-3357. 
    [19] S. R. HannaS. TehranianB. CarissimoR. W. Macdonald and R. Lohner, Comparisons of model simulations with observations of mean flow and turbulence within simple obstacle arrays, Atmospheric Environment, 36 (2002), 5067-5079. 
    [20] L. M. Harris and S.-J. Lin, Global-to-regional nested grid climate simulations in the gfdl high resolution atmospheric model, Journal of Climate, 27 (2014), 4890-4910.  doi: 10.1175/JCLI-D-13-00596.1.
    [21] G. HlepasT. J. Truster and A. Masud, A heterogeneous modeling method for porous media flows, International Journal for Numerical Methods in Fluids, 75 (2014), 487-518. 
    [22] R. M. Hodur, The naval research laboratory's coupled ocean/atmosphere mesoscale prediction system (COAMPS), Monthly Weather Review, 125 (1997), 1414-1430. 
    [23] T. J. R. Hughes, Multiscale phenomena: Green's functions, the dirichlet-to-neumann formulation, subgrid scale models, bubbles and the origins of stabilized methods, Computer Methods in Applied Mechanics and Engineering, 127 (1995), 387-401. 
    [24] E. Kalnay, Atmospheric modeling, data assimilation and predictability, Cambridge University Press, 2003.
    [25] S. KangJ. Kwack and A. Masud, Variational coupling of non-matching discretizations across finitely deforming fluid-structure interfaces, International Journal for Numerical Methods in Fluids, 94 (2022), 678-718. 
    [26] S. Kang and A. Masud, A variational multiscale method with immersed boundary conditions for incompressible flows, Meccanica, 56 (2021), 1397-1422. 
    [27] S. Kang and A. Masud, Variational multiscale immersed boundary method for incompressible turbulent flows, Journal of Computational Physics, 469 (2022), 111523. 
    [28] R. A. Khurram and A. Masud, A multiscale/stabilized formulation of the incompressible navier-stokes equations for moving boundary flows and fluid-structure interaction, Computational Mechanics, 38 (2006), 403-416. 
    [29] A. Main and G. Scovazzi, The shifted boundary method for embedded domain computations. part ⅱ: Linear advection-diffusion and incompressible navier-stokes equations, Journal of Computational Physics, 372 (2018), 996-1026. 
    [30] A. Masud and R. Calderer, A variational multiscale method for incompressible turbulent flows: Bubble functions and fine scale fields, Computer Methods in Applied Mechanics and Engineering, 200 (2011), 2577-2593. 
    [31] A. Masud and L. P. Franca, A hierarchical multiscale framework for problems with multiscale source terms, Computer Methods in Applied Mechanics and Engineering, 197 (2008), 2692-2700. 
    [32] A. Masud and S. A. Goraya, Variational embedding of measured data in physics-constrained data-driven modeling, Journal of Applied Mechanics, 89 (2022), 111001.  doi: 10.1115/1.4055256.
    [33] A. Masud and S. A. Goraya, Data-driven variational method for discrepancy modeling: Dynamics with small-strain nonlinear elasticity and viscoelasticity, International Journal for Numerical Methods in Engineering, 125 (2024), e7509.  doi: 10.1002/nme.7509.
    [34] A. Masud and R. A. Khurram, A multiscale/stabilized finite element method for the advection-diffusion equation, Computer Methods in Applied Mechanics and Engineering, 193 (2004), 1997-2018.  doi: 10.1016/j.cma.2003.12.047.
    [35] A. MasudS. Nashar and S. A. Goraya, Physics-constrained data-driven variational method for discrepancy modeling, Computer Methods in Applied Mechanics and Engineering, 417 (2023), 116295.  doi: 10.1016/j.cma.2023.116295.
    [36] A. Masud and G. Scovazzi, A heterogeneous multiscale modeling framework for hierarchical systems of partial differential equations, International Journal for Numerical Methods in Fluids, 65 (2011), 28-42. 
    [37] A. Masud and L. Zhu, Variationally derived closure models for large eddy simulation of incompressible turbulent flows, International Journal for Numerical Methods in Fluids, 93 (2021), 2089-2120. 
    [38] S.-J. MeiZ. LuoF.-Y. Zhao and H.-Q. Wang, Street canyon ventilation and airborne pollutant dispersion: 2-D versus 3-D CFD simulations, Sustainable Cities and Society, 50 (2019), 101700. 
    [39] B. E. MerrillY. T. PeetP. F. Fischer and J. W. Lottes, A spectrally accurate method for overlapping grid solution of incompressible navier-stokes equations, Journal of Computational Physics, 307 (2016), 60-93. 
    [40] M. J. Miller and A. J. Thorpe, Radiation conditions for the lateral boundaries of limited-area numerical models, Quarterly Journal of the Royal Meteorological Society, 107 (1981), 615-628.  doi: 10.1256/smsqj.45309.
    [41] M. SaeediP. P. LePoudre and B.-C. Wang, Direct numerical simulation of turbulent wake behind a surface-mounted square cylinder, Journal of Fluids and Structures, 51 (2014), 20-39.  doi: 10.1016/j.jfluidstructs.2014.06.021.
    [42] A. K. SahaG. Biswas and K. Muralidhar, Three-dimensional study of flow past a square cylinder at low reynolds numbers, International Journal of Heat and Fluid Flow, 24 (2003), 54-66. 
    [43] P. SattariJ. A. Bourgeois and R. J. Martinuzzi, On the vortex dynamics in the wake of a finite surface-mounted square cylinder, Experiments in Fluids, 52 (2012), 1149-1167.  doi: 10.1007/s00348-011-1244-6.
    [44] R. F. ShiG. X. CuiZ. S. WangC. X. Xu and Z. S. Zhang, Large eddy simulation of wind field and plume dispersion in building array, Atmospheric Environment, 42 (2008), 1083-1097. 
    [45] T. J. Truster and A. Masud, Primal interface formulation for coupling multiple pdes: A consistent derivation via the variational multiscale method, Computer Methods in Applied Mechanics and Engineering, 268 (2014), 194-224. 
    [46] L. Zhu and A. Masud, Residual-based closure model for density-stratified incompressible turbulent flows, Computer Methods in Applied Mechanics and Engineering, 386 (2021), 113931. 
    [47] J. ZouW. W. Hsieh and I. M. Navon, Sequential open-boundary control by data assimilation in a limited-area model, Monthly Weather Review, 123 (1995), 2899-2909. 
  • 加载中

Figures(24)

Tables(2)

SHARE

Article Metrics

HTML views(1330) PDF downloads(256) Cited by(0)

Access History

Other Articles By Authors

Catalog

    /

    DownLoad:  Full-Size Img  PowerPoint
    Return
    Return