\`x^2+y_1+z_12^34\`
Advanced Search
Article Contents
Article Contents

Travelling corners for spatially discrete reaction-diffusion systems

  • * Corresponding author

    * Corresponding author
Abstract / Introduction Full Text(HTML) Figure(4) / Table(1) Related Papers Cited by
  • We consider reaction-diffusion equations on the planar square lattice that admit spectrally stable planar travelling wave solutions. We show that these solutions can be continued into a branch of travelling corners. As an example, we consider the monochromatic and bichromatic Nagumo lattice differential equation and show that both systems exhibit interior and exterior corners.

    Our result is valid in the setting where the group velocity is zero. In this case, the equations for the corner can be written as a difference equation posed on an appropriate Hilbert space. Using a non-standard global center manifold reduction, we recover a two-component difference equation that describes the behaviour of solutions that bifurcate off the planar travelling wave. The main technical complication is the lack of regularity caused by the spatial discreteness, which prevents the symmetry group from being factored out in a standard fashion.

    Mathematics Subject Classification: 34A33, 35B36.

    Citation:

    \begin{equation} \\ \end{equation}
  • 加载中
  • Figure 1.  The blue curves in the left and right panels depict the interface of an interior respectively exterior corner. Both corners travel at the speed $ d_{\varphi_-} = d_{\varphi_+} $ and share the coordinate system $ (n,l) $ depicted in the center. Angles are positive when oriented counter-clockwise and negative otherwise. All speeds are positive

    Figure 2.  Both panels contain polar plots of the $ \zeta \mapsto c_{\rho,\zeta} $ relation, for various values of $ \rho > 0 $. Since $ c \le 0 $ in this setting, we have actually plotted the points $ -c_{\rho,\zeta}(\cos\zeta,\sin\zeta) $ for $ 0 \le \zeta \le \frac{\pi}{2} $. Notice the extra minima that start to form in the directions $ \tan \zeta = 1 $ and subsequently $ \tan \zeta = \frac{2}{3} $ as $ \rho $ is decreased

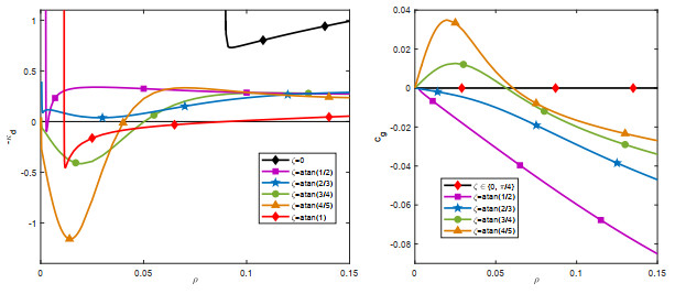
    Figure 3.  The left panel contains numerically computed values for $ -\kappa_d(\rho) $. The sharp spikes occur at the critical value $ \rho_*(\zeta) $ where pinning sets in. We note that sign changes appear for $ \zeta = \frac{\pi}{2} $ but not for $ \zeta = 0 $. In particular, the identity $ c_g \equiv 0 $ for these directions implies that interior and exterior corners can both occur for $ \zeta = \frac{\pi}{2} $, while the horizontal direction $ \zeta = 0 $ features interior corners only. The right panel contains numerically computed values for $ c_g(\rho) $. Notice the zero-crossings for $ \tan \zeta = \frac{3}{4} $ and $ \tan \zeta = \frac{4}{5} $, which indicates the presence of interior corners at these two critical values for $ \rho $

    Figure 4.  The left panel contains polar plots of the $ \zeta \mapsto c_{\rho, \alpha,\zeta} $ relation, with fixed $ \rho = 0 $. In particular, the curves consist of the points $ c_{\rho,\alpha,\zeta}(\cos\zeta,\sin\zeta) $. The right panel depicts the directional dispersion $ d(\zeta) = \frac{c_{\rho,\alpha, \zeta}}{\cos (\zeta - \zeta_*) } $, with $ \zeta_* = 0 $ for the left column and $ \zeta_* = \frac{\pi}{4} $ for the right column, again with $ \rho = 0 $. These results strongly suggest that $ [\partial_{\zeta}^2 d(\zeta) ]_{\zeta = \zeta_*} $ can take both signs as the diffusion coefficient $ \alpha $ is varied. In particular, both the horizontal and diagonal directions can have interior and exterior corners

    Table 1.  Summary of the fashion in which the various assumptions in Theorem 2.3 were verified for the examples in §2.1-2.2, together with the encountered corner types

    Monochromatic - §2.1 Bichromatic - §2.2
    $ \zeta \in \mathbb{Z} \frac{\pi}{2} $ $ \zeta \in \frac{\pi}{4} + \mathbb{Z} \frac{\pi}{2} $ $ \tan \zeta \in \{ \frac{3}{4}, \frac{4}{5} \} $ $ \zeta \in \mathbb{Z} \frac{\pi}{2} $ $ \zeta \in \frac{\pi}{4} + \mathbb{Z} \frac{\pi}{2} $
    $ c \neq 0 $ in $ \mathrm{(H}\Phi\mathrm{)} $ analytic for $ \rho_*(\zeta)< \left\vert{\rho}\right\vert < 1 $ numeric analytic for open set $ (\rho, \alpha) $}
    (HS1)-(HS3) analytic analytic
    $ c_g = 0 $ analytic numeric analytic
    $ [\partial^2_z \lambda_z]_{z =0 } \neq 0 $ analytic numeric analytic
    $ [\partial^2_\varphi d_\varphi]_{\varphi = 0 } \neq 0 $ numeric visual
    Corner types interior both interior both
     | Show Table
    DownLoad: CSV
  • [1] D. G. Aronson and H. F. Weinberger, Multidimensional nonlinear diffusion arising in population genetics, Adv. in Math., 30 (1978), 33-76.  doi: 10.1016/0001-8708(78)90130-5.
    [2] P. W. BatesX. Chen and A. Chmaj, Traveling waves of bistable dynamics on a lattice, SIAM J. Math. Anal., 35 (2003), 520-546.  doi: 10.1137/S0036141000374002.
    [3] P. W. Bates and A. Chmaj, A discrete convolution model for phase transitions, Arch. Rational Mech. Anal., 150 (1999), 281-305.  doi: 10.1007/s002050050189.
    [4] P. W. Bates and F. Chen, Spectral analysis and multidimensional stability of traveling waves for nonlocal Allen-Cahn equation, J. Math. Anal. Appl., 273 (2002), 45-57.  doi: 10.1016/S0022-247X(02)00205-6.
    [5] M. BeckH. J. HupkesB. Sandstede and K. Zumbrun, Nonlinear stability of semidiscrete shocks for two-sided schemes, SIAM J. Math. Anal., 42 (2010), 857-903.  doi: 10.1137/090775634.
    [6] J. Bell and C. Cosner, Threshold behavior and propagation for nonlinear differential-difference systems motivated by modeling myelinated axons, Quart. Appl. Math., 42 (1984), 1-14.  doi: 10.1090/qam/736501.
    [7] S. Benzoni-GavageP. Huot and F. Rousset, Nonlinear stability of semidiscrete shock waves, SIAM J. Math. Anal., 35 (2003), 639-707.  doi: 10.1137/S0036141002418054.
    [8] H. BerestyckiF. Hamel and H. Matano, Bistable traveling waves around an obstacle, Comm. Pure Appl. Math., 62 (2009), 729-788.  doi: 10.1002/cpa.20275.
    [9] A. Bonnet and F. Hamel, Existence of nonplanar solutions of a simple model of premixed bunsen flames, SIAM J. Math. Anal., 31 (1999), 80-118.  doi: 10.1137/S0036141097316391.
    [10] P. C. Bressloff, Spatiotemporal dynamics of continuum neural fields, Journal of Physics A: Mathematical and Theoretical, 45.3. doi: 10.1088/1751-8113/45/3/033001.
    [11] P. C. Bressloff, Waves in Neural Media: From single Neurons to Neural Fields, Lecture notes on mathematical modeling in the life sciences., Springer, 2014. doi: 10.1007/978-1-4614-8866-8.
    [12] J. W. CahnJ. Mallet-Paret and E. S. Van Vleck, Traveling wave solutions for systems of ODE's on a two-dimensional spatial lattice, SIAM J. Appl. Math., 59 (1999), 455-493.  doi: 10.1137/S0036139996312703.
    [13] J. W. Cahn and A. Novick-Cohen, Evolution equations for phase separation and ordering in binary alloys, J. Stat. Phys., 76 (1994), 877-909. 
    [14] J. W. Cahn and E. S. Van Vleck, On the co-existence and stability of trijunctions and quadrijunctions in a simple model, Acta Materialia, 47 (1999), 4627-4639. 
    [15] H. ChiJ. Bell and B. Hassard, Numerical solution of a nonlinear advance-delay-differential equation from nerve conduction theory, J. Math. Bio., 24 (1986), 583-601.  doi: 10.1007/BF00275686.
    [16] O. Diekmann, S. A. van Gils, S. M. Verduyn-Lunel and H. O. Walther, Delay Equations, Springer-Verlag, New York, 1995. doi: 10.1007/978-1-4612-4206-2.
    [17] C. E. Elmer and E. S. Van Vleck, Spatially discrete fitzhugh-nagumo equations, SIAM J. Appl. Math., 65 (2005), 1153-1174.  doi: 10.1137/S003613990343687X.
    [18] P. C. Fife and J. B. McLeod, The approach of solutions of nonlinear diffusion equations to travelling front solutions, Arch. Ration. Mech. Anal., 65 (1977), 335-361.  doi: 10.1007/BF00250432.
    [19] P. Gray and S. K. Scott, Autocatalytic reactions in the isothermal, continuous stirred tank reactor: Isolas and other forms of multistability, Chemical Engineering Science, 38 (1983), 29-43. 
    [20] V. A. GrieneisenJ. XuA. F. M. MaréeP. Hogeweg and B. Scheres, Auxin transport is sufficient to generate a maximum and gradient guiding root growth, Nature, 449 (2007), 1008-1013. 
    [21] M. Haragus and A. Scheel, Almost planar waves in anisotropic media, Communications in Partial Differential Equations, 31 (2006), 791-815.  doi: 10.1080/03605300500361420.
    [22] M. Haragus and A. Scheel, Corner defects in almost planar interface propagation, in Annales de l'Institut Henri Poincare (C) Non Linear Analysis, vol. 23 doi: 10.1016/j.anihpc.2005.03.003.
    [23] A. Hoffman, H. J. Hupkes and E. S. Van Vleck, Entire solutions for bistable lattice differential equations with obstacles, Memoirs of the AMS, to appear. doi: 10.1090/memo/1188.
    [24] A. Hoffman, H. J. Hupkes and E. S. Van Vleck, Multi-dimensional stability of waves travelling through rectangular lattices in rational directions, Transactions of the AMS, to appear. doi: 10.1090/S0002-9947-2015-06392-2.
    [25] A. Hoffman and J. Mallet-Paret, Universality of crystallographic pinning, J. Dyn. Diff. Eq., 22 (2010), 79-119.  doi: 10.1007/s10884-010-9157-2.
    [26] H. J. Hupkes and B. Sandstede, Modulated wave trains for lattice differential systems, J. Dyn. Diff. Eq., 21 (2009), 417-485.  doi: 10.1007/s10884-009-9139-4.
    [27] H. J. Hupkes and E. S. Van Vleck, Negative diffusion and traveling waves in high dimensional lattice systems, SIAM J. Math. Anal., 45 (2013), 1068-1135.  doi: 10.1137/120880628.
    [28] H. J. Hupkes and S. M. Verduyn-Lunel, Center manifold theory for functional differential equations of mixed type, J. Dyn. Diff. Eq., 19 (2007), 497-560.  doi: 10.1007/s10884-006-9055-9.
    [29] H. J. Hupkes, L. Morelli and P. Stehlík, Bichromatic travelling waves for lattice nagumo equations, arXiv preprint arXiv: 1805.10977. doi: 10.1137/18M1189221.
    [30] A. F. Huxley and R. Stampfli, Evidence for saltatory conduction in peripheral meylinated nerve fibres, J. Physiology, 108 (1949), 315-339. 
    [31] A. KaminagaV. K. Vanag and I. R. Epstein, A reaction–diffusion memory device, Angewandte Chemie International Edition, 45 (2006), 3087-3089. 
    [32] T. Kapitula, Multidimensional stability of planar travelling waves, Trans. Amer. Math. Soc., 349 (1997), 257-269.  doi: 10.1090/S0002-9947-97-01668-1.
    [33] J. P. Keener, Propagation and its failure in coupled systems of discrete excitable cells, SIAM J. Appl. Math., 47 (1987), 556-572.  doi: 10.1137/0147038.
    [34] R. S. Lillie, Factors Affecting transmission and recovery in the passive iron nerve model, J. of General Physiology, 7 (1925), 473-507. 
    [35] J. Mallet-Paret, The Fredholm alternative for functional differential equations of mixed type, J. Dyn. Diff. Eq., 11 (1999), 1-48.  doi: 10.1023/A:1021889401235.
    [36] J. Mallet-Paret, The global structure of traveling waves in spatially discrete dynamical systems, J. Dyn. Diff. Eq., 11 (1999), 49-128.  doi: 10.1023/A:1021841618074.
    [37] J. Mallet-Paret, Crystallographic pinning: direction dependent pinning in lattice differential equations, Preprint.
    [38] M. Or-Guil, M. Bode, C. P. Schenk and H. G. Purwins, Spot bifurcations in three-component reaction-diffusion systems: the onset of propagation, Physical Review E, 57 (1998), 6432.
    [39] D. J. Pinto and G. B. Ermentrout, Spatially structured activity in synaptically coupled neuronal networks: 1. traveling fronts and pulses, SIAM J. Appl. Math., 62 (2001). doi: 10.1137/S0036139900346453.
    [40] L. A. Ranvier, Lećons sur l'Histologie du Système Nerveux, par M. L. Ranvier, recueillies par M. Ed. Weber, F. Savy, Paris, 1878.
    [41] A. R. RoosenR. P. McCormack and W. C. Carter, Wulffman: A tool for the calculation and display of crystal shapes, Computational Materials Science, 11 (1998), 16-26. 
    [42] C. P. Schenk, M. Or-Guil, M. Bode and H. G. Purwins, Interacting pulses in three-component reaction-diffusion systems on two-dimensional domains, Physical Review Letters, 78 (1997), 3781. doi: 10.1103/PhysRevE.74.066201.
    [43] J. Sneyd, Tutorials in Mathematical Biosciences Ⅱ., vol. 187 of Lecture Notes in Mathematics, chapter Mathematical Modeling of Calcium Dynamics and Signal Transduction., New York: Springer, 2005. doi: 10.1007/b107088.
    [44] A. Vainchtein and E. S. Van Vleck, Nucleation and propagation of phase mixtures in a bistable chain, Phys. Rev. B, 79 (2009), 144123.
    [45] B. van Hal, Travelling Waves in Discrete Spatial Domains, Bachelor Thesis.
    [46] P. van Heijster and B. Sandstede, Bifurcations to travelling planar spots in a three-component FitzHugh–Nagumo system, Physica D, 275 (2014), 19-34.  doi: 10.1016/j.physd.2014.02.001.
  • 加载中

Figures(4)

Tables(1)

SHARE

Article Metrics

HTML views(3344) PDF downloads(221) Cited by(0)

Access History

Other Articles By Authors

Catalog

    /

    DownLoad:  Full-Size Img  PowerPoint
    Return
    Return