\`x^2+y_1+z_12^34\`
Advanced Search
Article Contents
Article Contents

Quantitative convergence guarantees for the mean-field dispersion process

  • *Corresponding author: Jincheng Yang

    *Corresponding author: Jincheng Yang
Abstract / Introduction Full Text(HTML) Figure(7) Related Papers Cited by
  • We study the discrete Fokker–Planck equation associated with the mean-field dynamics of a particle system called the dispersion process. For different regimes of the average number of particles per site (denoted by $ \mu > 0 $), we establish various quantitative long-time convergence guarantees toward the global equilibrium (depending on the sign of $ \mu - 1 $), which is also confirmed by numerical simulations. The main novelty/contribution of this manuscript lies in the careful and tricky analysis of a nonlinear Volterra-type integral equation satisfied by a key auxiliary function.

    Mathematics Subject Classification: Primary: 82C22, 82C31; Secondary: 35Q91, 91B80.

    Citation:

    \begin{equation} \\ \end{equation}
  • 加载中
  • Figure 1.  Illustration of the dispersion dynamics on a complete graph with $ N = 5 $ nodes/sites and $ M = 9 $ particles. Particles which share a common site will be "active" and move across sites

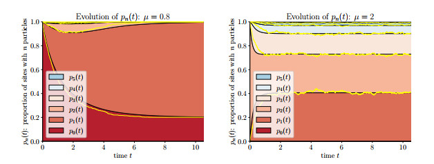
    Figure 2.  Stackplots of the agent-based simulation with $ \mu = 0.8 $ and $ \mu = 2 $ during the first $ 10 $ units of time. At a given time $ t $, the width of $ n $-th layer represents the number of sites hosting $ n $ particles, making a total of $ N = 1000 $ sites. For $ \mu = 0.8 $, we initially put all particles at one single site; the distribution of particles converges to a Bernoulli distribution and no site hosts two or more particles (left). For $ \mu = 2 $, we put two particles in each site initially; each site hosts at least one particle and the distribution of particles stabilizes around a zero-truncated Poisson distribution after a few units of time (right)

    Figure 3.  Distribution of particles for the dispersion model with $ N = 1000 $ agents after $ 2000 $ units of time, using two different values of $ \mu $. For $ \mu = 0.8 $, the final distribution coincides exactly with the Bernoulli distribution with mean $ 0.8 $, where we put all the particles into a single site initially. For $ \mu = 2 $, the terminal distribution is well-approximated by a zero-truncated Poisson distribution (4), where we put $ X_i(0) = \mu $ for all $ 1\le i\le N $ initially

    Figure 4.  Stackplot of the numerical solution to the truncated ODE system $ \{p _n (t)\} _{n = 0} ^{100} $ with $ \mu = 0.8 $ and $ \mu = 2 $ during the first 10 units of time. At a given time $ t $, the width of $ n $-th layer represents $ p _n (t) $ which sum up to $ 1 $. For $ \mu = 0.8 $ the distibution of particles converges to a Bernoulli distribution with mean $ \mu $ (left). For $ \mu = 2 $, the distribution converges to the zero-truncated Poisson distribution with mean $ \mu $ (right). The overlayed yellow lines represent the corresponding agent-based simulation results

    Figure 5.  Schematic illustration of the Fokker–Planck type system of nonlinear ODEs (10) as a jump process with loss and gain

    Figure 6.  Evolution of the energy $ \mathcal E [ {\bf p} (t)] $ over $ 0\le t \le 3 $ with $ \mu = 0.8 $ and $ \mu = 1 $. It can be seen from the picture that the energy decays exponentially for $ \mu = 0.8 $ with rate $ C{\text{e}} ^{-0.4 t} $. For $ \mu = 1 $, the decay is slower

    Figure 7.  Evolution of the $ \ell ^1 $ error $ \left\lVert {\bf p} (t) - \mkern 1.5mu\overline{\mkern-1.5mu {\bf p} \mkern-1.5mu}\mkern 1.5mu \right\rVert _{\ell ^1} $ over time for different values of $ \nu $. It can be seen that larger values of $ \nu $ (or $ \mu $) leads to faster convergence, although such improvement in terms of the convergence rate saturates when $ \nu $ becomes large enough

  • [1] T. Arbogast and J. L. Bona, Functional Analysis for the Applied Mathematician, 1st edition, Chapman and Hall/CRC, New York, 2025.
    [2] J. M. BallJ. Carr and O. Penrose, The Becker-Döring cluster equations: Basic properties and asymptotic behaviour of solutions, Communications in Mathematical Physics, 104 (1986), 657-692.  doi: 10.1007/BF01211070.
    [3] J. M. Ball and J. Carr, The discrete coagulation-fragmentation equations: Existence, uniqueness, and density conservation, Journal of Statistical Physics, 61 (1990), 203-234.  doi: 10.1007/BF01013961.
    [4] J. M. Ball and J. Carr, Asymptotic behaviour of solutions to the Becker-Döring equations for arbitrary initial data, Proceedings of the Royal Society of Edinburgh Section A: Mathematics, 108 (1988), 109-116.  doi: 10.1017/S0308210500026561.
    [5] B. M. BoghosianM. Johnson and J. A. Marcq, An $H$ theorem for Boltzmann's equation for the Yard-Sale model of asset exchange: The Gini coefficient as an $H$ functional, Journal of Statistical Physics, 161 (2015), 1339-1350.  doi: 10.1007/s10955-015-1316-8.
    [6] F. Cao and S. Reed, A biased dollar exchange model involving bank and debt with discontinuous equilibrium, Mathematical Modelling of Natural Phenomena, 20 (2025), 5.  doi: 10.1051/mmnp/2025007.
    [7] F. Cao and N. F. Marshall, From the binomial reshuffling model to Poisson distribution of money, Networks and Heterogeneous Media, 19 (2024), 24-43.  doi: 10.3934/nhm.2024002.
    [8] F. Cao and S. Motsch, Derivation of wealth distributions from biased exchange of money, Kinetic & Related Models, 16 (2023), 764-794.  doi: 10.3934/krm.2023007.
    [9] F. CaoP.-E. Jabin and S. Motsch, Entropy dissipation and propagation of chaos for the uniform reshuffling model, Mathematical Models and Methods in Applied Sciences, 33 (2023), 829-875.  doi: 10.1142/S0218202523500185.
    [10] F. Cao, Explicit decay rate for the Gini index in the repeated averaging model, Mathematical Methods in the Applied Sciences, 46 (2023), 3583-3596.  doi: 10.1002/mma.8711.
    [11] F. Cao and R. Cortez, Fractal opinions among interacting agents, SIAM Journal on Applied Dynamical Systems, 24 (2025), 1529-1552.  doi: 10.1137/24M1682269.
    [12] F. Cao, From Gini index as a Lyapunov functional to convergence in Wasserstein distance, preprint, (2024), arXiv: 2409.15225.
    [13] F. Cao and P.-E. Jabin, From interacting agents to Boltzmann-Gibbs distribution of money, Nonlinearity, 37 (2024), 125020.  doi: 10.1088/1361-6544/ad8c8c.
    [14] F Cao and S. Reed, The iterative persuasion-polarization opinion dynamics and its mean-field analysis, SIAM Journal on Applied Mathematics, 85 (2025), 1596-1620.  doi: 10.1137/24M1700661.
    [15] F. Cao and S. Motsch, Sticky dispersion on the complete graph: A kinetic approach, SIAM Journal on Mathematical Analysis, 57 (2025), 3953-3980.  doi: 10.1137/24M1654622.
    [16] F. Cao and S. Motsch, Uncovering a two-phase dynamics from a dollar exchange model with bank and debt, SIAM Journal on Applied Mathematics, 83 (2023), 1872-1891.  doi: 10.1137/22M1518621.
    [17] F. Cao and R. Cortez, Uniform propagation of chaos for a dollar exchange econophysics model, European Journal of Applied Mathematics, 36 (2025), 27-39.  doi: 10.1017/S0956792524000184.
    [18] A. Chakraborti and B. K. Chakrabarti, Statistical mechanics of money: How saving propensity affects its distribution, The European Physical Journal B-Condensed Matter and Complex Systems, 17 (2000), 167-170.  doi: 10.1007/s100510070173.
    [19] A. ChakrabortiI. M. TokeM. Patriarca and F. Abergel, Econophysics review: Ⅰ. Empirical facts, Quantitative Finance, 11 (2011), 991-1012.  doi: 10.1080/14697688.2010.539248.
    [20] A. ChatterjeeB. K. Chakrabarti and S. S. Manna, Pareto law in a kinetic model of market with random saving propensity, Physica A: Statistical Mechanics and its Applications, 335 (2004), 155-163.  doi: 10.1016/j.physa.2003.11.014.
    [21] C. CooperA. McDowellT. RadzikN. Rivera and T. Shiraga, Dispersion processes, Random Structures & Algorithms, 53 (2018), 561-585.  doi: 10.1002/rsa.20822.
    [22] R. Cortez and J. Fontbona, Quantitative propagation of chaos for generalized Kac particle systems, The Annals of Applied Probability, 26 (2016), 892-916.  doi: 10.1214/15-AAP1107.
    [23] U. De AmbroggioT. Makai and K. Panagiotou, Dispersion on the complete graph, Random Structures & Algorithms, 66 (2025), e21266.  doi: 10.1002/rsa.21266.
    [24] A. Dragulescu and V. M. Yakovenko, Statistical mechanics of money, The European Physical Journal B-Condensed Matter and Complex Systems, 17 (2000), 723-729.  doi: 10.1007/s100510070114.
    [25] B. DüringD. Matthes and G. Toscani, Kinetic equations modelling wealth redistribution: A comparison of approaches, Physical Review E, 78 (2008), 056103.  doi: 10.1103/PhysRevE.78.056103.
    [26] M. L. Esquivel, Probability generating functions for discrete real-valued random variables, Theory of Probability & Its Applications, 52 (2008), 40-57.  doi: 10.1137/S0040585X97982852.
    [27] L. C. Evans, Partial Differential Equations, raduate Studies in Mathematics, Vol. 19. American Mathematical Society, Providence, 2022.
    [28] A. Frieze and W. Pegden, A note on dispersing particles on a line, Random Structures & Algorithms, 53 (2018), 586-591.  doi: 10.1002/rsa.20821.
    [29] G. GripenbergS.-O. Londén and  O. StaffansVolterra Integral and Functional Equations, 1st edition, Cambridge University Press, Cambridge, 1990. 
    [30] E. Heinsalu and P. Marco, Kinetic models of immediate exchange, The European Physical Journal B, 87 (2014), 1-10.  doi: 10.1140/epjb/e2014-50270-6.
    [31] P.-E. Jabin and B. Niethammer, On the rate of convergence to equilibrium in the Becker–Döring equations, Journal of Differential Equations, 191 (2003), 518-543.  doi: 10.1016/S0022-0396(03)00021-4.
    [32] P.-E. Jabin, A review of the mean field limits for Vlasov equations, Kinetic & Related Models, 7 (2014), 661-711.  doi: 10.3934/krm.2014.7.661.
    [33] A. Jüngel, Entropy Methods for Diffusive Partial Differential Equations, 1st edition, Springer, Vol. 804, Cham, 2016.
    [34] R. KutnerM. AusloosD. GrechT. Di MatteoC. Schinckus and H. E. Stanley, Econophysics and sociophysics: Their milestones & challenges, Physica A: Statistical Mechanics and its Applications, 516 (2019), 240-253.  doi: 10.1016/j.physa.2018.10.019.
    [35] J.-H. Lambert, Observationes variae in mathesin puram, Acta Helvetica, 3 (1758), 128-168. 
    [36] N. Lanchier, Rigorous proof of the Boltzmann–Gibbs distribution of money on connected graphs, Journal of Statistical Physics, 167 (2017), 160-172.  doi: 10.1007/s10955-017-1744-8.
    [37] N. Lanchier and S. Reed, Rigorous results for the distribution of money on connected graphs (models with debts), Journal of Statistical Physics, 176 (2019), 1115-1137.  doi: 10.1007/s10955-019-02334-z.
    [38] D. Matthes and G. Toscani, On steady distributions of kinetic models of conservative economies., Journal of Statistical Physics, 130 (2008), 1087-1117.  doi: 10.1007/s10955-007-9462-2.
    [39] B. Niethammer, On the evolution of large clusters in the Becker-Döring model, Journal of Nonlinear Science, 13 (2003), 115-122.  doi: 10.1007/s00332-002-0535-8.
    [40] B. Niethammer, A scaling limit of the Becker-Döring equations in the regime of small excess density, Journal of Nonlinear Science, 14 (2004), 453-468.  doi: 10.1007/s00332-004-0638-5.
    [41] L. Pareschi and  G. ToscaniInteracting Multiagent Systems: Kinetic Equations and Monte Carlo Methods, 1st edition, Oxford University Press, Oxford, 2014. 
    [42] E. J. de A. L. PereiraM. F. da Silva and H. de B. Pereira, Econophysics: Past and present, Physica A: Statistical Mechanics and its Applications, 473 (2017), 251-261.  doi: 10.1016/j.physa.2017.01.007.
    [43] G. SavoiuEconophysics: Background and Applications in Economics, Finance, and Sociophysics, 1st edition, Academic Press, Oxford, 2013. 
    [44] Y. Shang, Longest distance of a non-uniform dispersion process on the infinite line, Information Processing Letters, 164 (2020), 106008.  doi: 10.1016/j.ipl.2020.106008.
    [45] A.-S. Sznitman, Topics in propagation of chaos, Ecole d'été de Probabilités de Saint-Flour XIX—1989, (1991), 165-251. doi: 10.1007/BFb0085169.
    [46] C. Villani, Topics in Optimal Transportation, Graduate Studies in Mathematics, Vol. 58. American Mathematical Society, Providence, 2003.
  • 加载中

Figures(7)

SHARE

Article Metrics

HTML views(1386) PDF downloads(131) Cited by(0)

Access History

Other Articles By Authors

Catalog

    /

    DownLoad:  Full-Size Img  PowerPoint
    Return
    Return