\`x^2+y_1+z_12^34\`
Advanced Search
Article Contents
Article Contents
Early Access

Early Access articles are published articles within a journal that have not yet been assigned to a formal issue. This means they do not yet have a volume number, issue number, or page numbers assigned to them, however, they can still be found and cited using their DOI (Digital Object Identifier). Early Access publication benefits the research community by making new scientific discoveries known as quickly as possible.

Readers can access Early Access articles via the “Early Access” tab for the selected journal.

Regularity lost: The fundamental limitations and constraint qualifications in the problems of elastoplasticity

The author is supported by the Czech Science Foundation (GAČR) project GA24-10586S and the Czech Academy of Sciences (RVO: 67985840).

Abstract / Introduction Full Text(HTML) Figure(14) / Table(3) Related Papers Cited by
  • We investigate the existence and non-existence of a function-valued strain solution in various models of elastoplasticity from the perspective of the constraint-based "dual" formulations. We describe abstract frameworks for linear elasticity, elasticity-perfect plasticity, and elasticity-plasticity with hardening in terms of adjoint linear operators and convert them to equivalent formulations in terms of differential inclusions (the sweeping process in particular). Within such frameworks, we consider several manually solvable examples of discrete and continuous models. Despite their simplicity, the examples show how for discrete models with perfect plasticity it is possible to find the evolution of stress and strain (elongation), yet continuum models within the same framework may not possess a function-valued strain. Although some examples with such a phenomenon are already known, we demonstrate that it may appear due to displacement loading. The central idea of the paper is to explain the loss of strain regularity in the dual formulation by the lack of additivity of the normal cones to stress constraints and the failure of constraint qualifications for them.

    In contrast to perfect plasticity, models with hardening are known to be well-solvable for strains. We show that more advanced constraint qualifications can help to distinguish between those cases, and, in the case of hardening, ensure the additivity of the normal cones, which means the existence of a function-valued strain rate.

    Mathematics Subject Classification: Primary: 74C05, 49J40; Secondary: 47J22, 47B02, 47B93.

    Citation:

    \begin{equation} \\ \end{equation}
  • 加载中
  • Figure 1.  Examples of a sweeping process with moving sets $ {\mathcal{C}(t)\subset\mathbb{R}^2} $ having a) a smooth boundary b) a nonsmooth boundary

    Figure 2.  Typical finite-dimensional situations where a pair of sets $ \mathcal{C}_1, \mathcal{C}_2 $ satisfies (see a) or does not satisfy (see b, c) Slater's constraint qualification (9). For the sets that appear in the elastoplasticity model (5)–(8), the corresponding condition (7) will be examined in Sections 4–5

    Figure 3.  Examples of typical normal cones in a finite-dimensional setting. Here, we illustrate it with $ \mathcal{C} $ taken as a polygon in $ \mathcal{H} = \mathbb{R}^2 $. We depict the normal cones $ N_{\mathcal{C}}({\boldsymbol{x}}) $ as translated from $ 0 $ to $ {\boldsymbol{x}} $. Vectors $ {\boldsymbol{y}} $ are generic elements of $ N_{\mathcal{C}}({\boldsymbol{x}}) $, called supporting vectors to the set $ \mathcal{C} $ at $ {\boldsymbol{x}} $

    Figure 4.  Schematic representation of the problem of Definition 3.4 and Remark 3.5. The unknown variables are indicated by blue color. In the problem of Definition 3.4, we are only looking for the unknowns $ {\boldsymbol{\widetilde{\varepsilon}}} $ and $ {\boldsymbol{\widetilde{\sigma}}} $

    Figure 5.  Discrete models of Examples 1 (a) and 2 (b). Red arrows denote the external forces $ {\boldsymbol{F}} $ applied at the nodes

    Figure 6.  The fundamental spaces and the stress solution for elasticity in the discrete models of Example 1 (a) and Example 2 (b). The figure shows the situation with the stiffness parameters $ k_i $ equal to $ 1 $

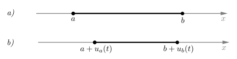
    Figure 7.  A continuum model of Example 3 in the relaxed reference configuration (a) and an arbitrary current configuration (b)

    Figure 8.  Schematic representation of the problem of Definition 4.1. The unknown variables are indicated by blue color. In the problem of Definition 4.1, we are only looking for the unknowns $ \varepsilon, \varepsilon_{\rm el}, \varepsilon_{\rm p} $, and $ \sigma $. Red rectangles indicate the constitutive relations

    Figure 9.  The construction of the moving set in the discrete models of Examples 1.1 (a) and 1.2 (b). The figure shows the situation with the stiffness parameters $ k_i $ equal to $ 1 $

    Figure 10.  With the particular data of Section 5.2, the moving set $ \mathcal{C}(t) \subset L^2_{{\bf C}^{-1}}(\Omega) $ consists of all functions constant a.e. on $ {\Omega = (-1, 1)} $ that fit in the gray area. a) illustrates the instant $ t = 1 $, after which the body force load and the shape of $ \mathcal{C}(t) $ will remain constant, and the evolution will be driven by the change of the displacement boundary condition. b) illustrates the instant $ t = t^* $ of the beginning of the plastic deformation. c) illustrates the instant $ t = 3 $ during the plastic deformation

    Figure 11.  a) An illustration of the argument for Observation 1. b) An illustration of the argument for Observation 3

    Figure 12.  a) As long as the blue rectangle is nondegenerate, we have that (154) and (153) are true, because any function $ {\boldsymbol{v}}\in L^\infty(\Omega) $ can be rescaled and translated to fit in the blue rectangle, cf (155). b) An explicit example showing that $ L^\infty(\Omega) $ is not closed in the $ L^2 $-norm. Take $ {\boldsymbol{y^*}}\in L^2(\Omega) $ as $ y^*(x) = (-x+1)^{-\frac{1}{4}} $, and approximate it by $ y_i(x) = \min(y^*(x), i), \, i \in \mathbb{N} $. We have $ {\|{\boldsymbol{y}^{*}}-{\boldsymbol{y}}_i\|_{L^2}(\Omega)\to 0} $, $ {{\boldsymbol{y_i}}\in L^\infty(\Omega)} $, yet $ {\boldsymbol{y^*}}\notin L^\infty(\Omega) $

    Figure 13.  Schematic representation of the problem of Definition 6.7. The unknown variables are indicated by a blue color. In the problem of Definition 6.7, we are only looking for the unknowns $ \varepsilon, \varepsilon_{\rm el}, \varepsilon_{\rm p}, \sigma $, and $ \xi $. Red rectangles indicate the constitutive relations

    Figure 14.  Elastic range (red interval), depending on the internal variable $ \xi $ for a particular $ x\in \Omega $. a) Elastic range expands nonlinearly in the plastic regime (isotropic hardening in particular). b) Linear growth condition (HA5a). c) Elastic range translates linearly, which is called linear kinematic hardening

    Table 1.  The quantities in the examples of linear elasticity of this paper

    Quantity Example 1 (Fig. 5 a) Example 2 (Figure 5 b) Example 3 (Figure 7)
    $ \mathcal{X} $ $ \mathbb{R}^3 $ $ \mathbb{R}^4 $ $ L^2(\Omega), \, \Omega=(a, b) $
    $ \mathcal{H} $ $ \mathbb{R}^2 $ $ \mathbb{R}^3 $ $ L^2(\Omega) $
    $ \mathcal{W} $ $ \mathbb{R}^3 $ $ \mathbb{R}^4 $ $ W^{1, 2}(\Omega) $
    $ {\rm E}:\mathcal{W}\to \mathcal{H} $ $ \begin{pmatrix} -1 & 1 & 0 \\ 0 & -1 & 1 \end{pmatrix} $ $ \begin{pmatrix} -1 & 1 & 0 & 0 \\ 0 & -1 & 1 & 0 \\ 0 & 0 & -1 & 1 \end{pmatrix} $ $ {\boldsymbol{u}}\mapsto \frac{d}{d x}{\boldsymbol{u}} $
    $ \mathcal{W}_0 $ $ \begin{array}{c} {\rm Ker}\, R, \\R={\begin{pmatrix} 1 & 0 & 0\\0 & 0 & 1 \end{pmatrix}} \end{array} $ $ \begin{array}{c} {\rm Ker}\, ({R} {\rm E}), \\{R} ={ \begin{pmatrix} 1 & 1 & 0\\0 & 1 & 1 \end{pmatrix}} \end{array} $ $ W_0^{1, 2}(\Omega) $
    $ \mathcal{X}_0 =\overline{\mathcal{W}_0} $ $ {\rm Ker}\, R $ $ {\rm Ker}\, ({R} {\rm E}) $ $ L^2(\Omega) $
    "Reactions space" $ \mathcal{X}_0^\perp $ $ {\rm Im}\, R^\top $ $ {\rm Im}\, (R{\rm E})^\top $ $ \{0\} $
    $ {\bf E}: \mathcal{W}_0 \subset \mathcal{X} \to \mathcal{H} $ $ {\rm E} \text{ restricted to } \mathcal{W}_0 $ $ {\rm E} \text{ restricted to } \mathcal{W}_0 $ $ {\rm E} \text{ restricted to } \mathcal{W}_0 $
    $ {\bf D}: D({\bf D})\subset \mathcal{H}\to \mathcal{X}_0^* $ $ \begin{array}{c} {\boldsymbol{\sigma}} \mapsto \text{the functional} \\ \left({\boldsymbol{u}}\in \mathcal{X}_0\mapsto \left({\rm E}^\top {\boldsymbol{\sigma}}\right)\cdot {\boldsymbol{u}}\right)\end{array} $ $ \begin{array}{c} {\boldsymbol{\sigma}} \mapsto \text{the functional} \\ \left({\boldsymbol{u}}\in \mathcal{X}_0\mapsto \left({\rm E}^\top {\boldsymbol{\sigma}}\right)\cdot {\boldsymbol{u}}\right)\end{array} $ $ {\boldsymbol{u}}\mapsto -\frac{d}{d x}{\boldsymbol{u}} $
    $ D({\bf D}) $ $ \mathbb{R}^2 $ $ \mathbb{R}^3 $ $ W^{1, 2}(\Omega) $
    $ {\bf C}:\mathcal{H}\to \mathcal{H} $ $ \begin{pmatrix} k_1 & 0\\ 0 & k_2 \end{pmatrix} $ $ \begin{pmatrix} k_1 & 0 & 0 \\ 0 & k_2 & 0 \\ 0 & 0 & k_2 \end{pmatrix} $ $ {\boldsymbol{C}}\in L^\infty(\Omega) $
    $ \begin{array}{c}\mathcal{U}={\rm Im}\, {\bf E_C} \\ ={\rm Im}\, {\bf C E}\subset \mathcal{H}_{\bf C^{-1}}\end{array} $ $ {\rm Im}\, \begin{pmatrix} k_1\\-k_2 \end{pmatrix} $ $ {\rm Im}\, \begin{pmatrix} -k_1\\k_2\\-k_3 \end{pmatrix} $ $ \begin{array}{c}\left\{{\boldsymbol{\sigma}}\in L^2_{{\bf C}^{-1}}(\Omega):\vphantom{{\int\limits_\Omega}}\right.\\\left. {\int\limits_\Omega} \frac{1}{{\boldsymbol{C}}(x)}\, \sigma(x)\, dx=0\right\}\end{array} $
    $ \begin{array}{c}\mathcal{V}={\rm Ker}\, {\bf D_C}\\={\rm Ker}\, {\bf D}\subset \mathcal{H}_{\bf C^{-1}}\end{array} $ $ {\rm Im}\, \begin{pmatrix} 1\\1\end{pmatrix} $ $ {\rm Im}\, \begin{pmatrix} 1 & 0\\1 & 1\\0 & 1\end{pmatrix} $ $ \begin{array}{c}\left\{{\boldsymbol{\sigma}} \in L^2_{{\bf C}^{-1}}(\Omega): \exists c\in \mathbb{R}\right. \\ \left. \text{for a.a. }x\in \Omega \quad \sigma(x)\equiv c \right\}\end{array} $
    $ {\boldsymbol{g}}(t) $ $ \begin{pmatrix} 0 & l(t)\end{pmatrix} $ $ \frac{1}{2}\begin{pmatrix}1 & -1\\1 & 1\\-1 & 1\end{pmatrix} \begin{pmatrix} l_1(t)\\l_2(t)\end{pmatrix} $ $ \frac{\partial}{\partial x}{u_ {\rm D}}(t, x) $
    $ \begin{array}{c}\text{Stress solution }\\{\boldsymbol{\widetilde{\sigma}}}(t)= G\, {{\boldsymbol{g}}}(t) + Q\, {{\boldsymbol{f}}}(t) \end{array} $ formula (54) formula (71) formula (90).
     | Show Table
    DownLoad: CSV

    Table 2.  The quantities in the examples of elasticity-perfect plasticity, in addition to Table 1

    Quantity Example 1 (Fig. 5 a) Example 2 (Fig. 5 b) Example 3 (Fig. 7)
    $ \Sigma\subset \mathcal{H} $ $ [\sigma^-_1, \sigma^+_1]\times[\sigma^-_2, \sigma^+_2] $ $ [\sigma^-_1, \sigma^+_1]\times[\sigma^-_2, \sigma^+_2]\times[\sigma^-_3, \sigma^+_3] $ $ \begin{array}{c}\left\{{\boldsymbol{\sigma}}\in L^2(\Omega): \text{ for a.a. }x\in \Omega \right. \\ \left.\sigma^-(x)\leqslant\sigma(x)\leqslant\sigma^+(x) \right\}\end{array} $
    $ \begin{array}{c} \text{Moving set} \\ \mathcal{C}(t) \end{array} $ formula (128) formula (132) formula (136)
     | Show Table
    DownLoad: CSV

    Table 3.  Constraint qualifications for different types of elastoplastic models

    $ \textbf{Constraint qualification} $ $ \textbf{Discrete models} $ Continuous models in $ L^2(\Omega) $
    $ \textbf{perfect plasticity} $ hardening
    nonuniform or sublinear growth of the elastic range, i.e. (HA5a) / (HA5b) fails uniform linear growth of the elastic range i.e. (HA5a) / (HA5b) holds
    Slater Ⅰ, Prop. 6.5 i)x YES NO NO NO
    Slater Ⅱ, Prop. 6.5 ii) YES NO NO YES
    Rockafellar, Prop. 6.5 iii) YES NO NO YES
    Attouch–Brezis, Prop. iv) YES NO NO YES
     | Show Table
    DownLoad: CSV
  • [1] N. C. Admal and E. B. Tadmor, The non-uniqueness of the atomistic stress tensor and its relationship to the generalized beltrami representation, J. Mech. Phys. Solids, 93 (2016), 72-92, Special Issue in honor of M. Ortiz. doi: 10.1016/j.jmps.2016.03.016.
    [2] A. Alfakih, Euclidean Distance Matrices and Their Applications in Rigidity Theory, Springer International Publishing, 2018. doi: 10.1007/978-3-319-97846-8.
    [3] H. Altenbach, J. Altenbach and W. Kissing, Mechanics of Composite Structural Elements, Springer Nature Singapore, 2018. doi: 10.1007/978-981-10-8935-0.
    [4] L. AmbrosioN. Fusco and  D. PallaraFunctions of bounded variation and free discontinuity problems, Oxford Mathematical Monographs, The Clarendon Press, Oxford University Press, New York, 2000.  doi: 10.1093/oso/9780198502456.001.0001.
    [5] S. Amstutz and N. van Goethem, Existence and asymptotic results for an intrinsic model of small-strain incompatible elasticity, Discrete Continuous Dyn. Syst. Ser. B, 25 (2020), 3769-3805.  doi: 10.3934/dcdsb.2020240.
    [6] A. Anandarajah, Computational Methods in Elasticity and Plasticity: Solids and Porous Media, Springer New York, 2011. doi: 10.1007/978-1-4419-6379-6.
    [7] D. Arnold and R. Falk R.S. and Winther, Defferential complexes and stability of finite element methods Ⅱ: The elasticity complex, in Compatible Spatial Discretizations (eds. D. Arnold, P. Bochev, R. Lehoucq, R. Nicolaides and M. Shashkov), IMA Vol. Math. Appl., 142, Springer New York, 2006, 47-67. doi: 10.1007/0-387-38034-5_3.
    [8] H. Attouch and H. Brezis, Duality for the sum of convex functions in general Banach spaces, in Aspects of Mathematics and Its Applications, North-Holland Math. Library, 34, North-Holland, Amsterdam, 1986,125-133. doi: 10.1016/S0924-6509(09)70252-1.
    [9] J. Aubin, Applied Functional Analysis, Pure and Applied Mathematics: A Wiley Series of Texts, Monographs and Tracts, Wiley, 2000. doi: 10.1002/9781118032725.
    [10] J. Aubin and H. Frankowska, Set-Valued Analysis, Mod. Birkhäuser Class., Birkhäuser Boston, 2009. doi: 10.1007/978-0-8176-4848-0.
    [11] R. Bapat, Graphs and Matrices, Universitext, Springer London; Hindustan Book Agency, New Delhi, 2010. doi: 10.1007/978-1-84882-981-7.
    [12] V. Barbu and T. Precupanu, Convexity and Optimization in Banach Spaces, 4th edition, Springer Monogr. Math., Springer, Dordrecht, 2012. doi: 10.1007/978-94-007-2247-7.
    [13] H. Bauschke and P. Combettes, Convex Analysis and Monotone Operator Theory in Hilbert Spaces, 2nd edition, CMS Books in Mathematics, Springer International Publishing, 2017. doi: 10.1007/978-3-319-48311-5.
    [14] A. Bensoussan and J. Frehse, Asymptotic behaviour of Norton-Hoff's law in plasticity theory and $H^1$ regularity, in Boundary Value Problems for Partial Differential Equations and Applications, RMA Res. Notes Appl. Math., 29, Masson, Paris, 1993, 3-25.
    [15] A. Bensoussan and J. Frehse, Asymptotic behaviour of the time dependent Norton-Hoff law in plasticity theory and $H^1$ regularity, Comment. Math. Univ. Carolin., 37 (1996), 285-304. 
    [16] F. J. Beutler and W. L. Root, The operator pseudoinverse in control and systems identification, in Generalized Inverses and Applications (ed. M. Zuhair Nashed), Academic Press, 1976,397-494. doi: 10.1016/B978-0-12-514250-2.50014-7.
    [17] J. Borwein and R. Goebel, Notions of relative interior in Banach spaces, J. Math. Sci. (N.Y.), 115 (2003), 2542-2553.  doi: 10.1023/A:1022988116044.
    [18] J. Borwein and A. Lewis, Partially finite convex programming. Ⅰ. Quasi relative interiors and duality theory, Math. Programming, 57 (1992), 15-48.  doi: 10.1007/BF01581072.
    [19] F. Boyer and P. Fabrie, Mathematical Tools for the Study of the Incompressible Navier-Stokes Equations and Related Models, Applied Mathematical Sciences, Springer New York, 2013. doi: 10.1007/978-1-4614-5975-0.
    [20] S. Bracke, Reliability Engineering: Data Analytics, Modeling, Risk Prediction, Springer Berlin Heidelberg, 2024. doi: 10.1007/978-3-662-67446-8.
    [21] H. Brezis, Functional Analysis, Sobolev Spaces and Partial Differential Equations, Universitext, Springer New York, 2011. doi: 10.1007/978-0-387-70914-7.
    [22] S. Campbell and C. Meyer, Generalized Inverses of Linear Transformations, Classics Appl. Math., 56, Society for Industrial and Applied Mathematics, 2009. doi: 10.1137/1.9780898719048.
    [23] C. Castaing and M. Valadier, Convex Analysis and Measurable Multifunctions, Lecture Notes in Math., Vol. 580, Springer-Verlag, Berlin-New York, 1977. doi: 10.1007/BFb0087685.
    [24] P. G. Ciarlet and P. Ciarlet Jr., Another approach to linearized elasticity and a new proof of Korn's inequality, Math. Models Methods Appl. Sci., 15 (2005), 259-271.  doi: 10.1142/S0218202505000352.
    [25] G. Dal MasoA. DeSimone and M. G. Mora, Quasistatic evolution problems for linearly elastic-perfectly plastic materials, Arch. Ration. Mech. Anal., 180 (2006), 237-291.  doi: 10.1007/s00205-005-0407-0.
    [26] P. DanieleS. GiuffrèA. Maugeri and F. Raciti, Duality theory and applications to unilateral problems, J. Optim. Theory Appl., 162 (2014), 718-734.  doi: 10.1007/s10957-013-0512-4.
    [27] A. Demyanov, Regularity of stresses in Prandtl-Reuss perfect plasticity, Calc. Var. Partial Differential Equations, 34 (2009), 23-72.  doi: 10.1007/s00526-008-0174-5.
    [28] G. Duvaut and J. Lions, Inequalities in Mechanics and Physics, A Series of Comprehensive Studies in Mathematics, Springer-Verlag, 1976. doi: 10.1007/978-3-642-66165-5.
    [29] F. Ebobisse and B. D. Reddy, Some mathematical problems in perfect plasticity, Comput. Methods Appl. Mech. Engrg., 193 (2004), 5071-5094.  doi: 10.1016/j.cma.2004.07.002.
    [30] I. Ekeland and R. Temam, Convex Analysis and Variational Problems, Classics Appl. Math., 28, Society for Industrial and Applied Mathematics, 1999. doi: 10.1137/1.9781611971088.
    [31] A. Ern and J. Guermond, Theory and Practice of Finite Elements, Appl. Math. Sci., 159, Springer New York, 2004. doi: 10.1007/978-1-4757-4355-5.
    [32] I. Fonseca and G. Leoni, Modern Methods in the Calculus of Variations: $L^p$ Spaces, Springer Monographs in Mathematics, Springer New York, 2007. doi: 10.1007/978-0-387-69006-3.
    [33] G. FrancfortA. Giacomini and J.-J. Marigo, The elasto-plastic exquisite corpse: A Suquet legacy, J. Mech. Phys. Solids, 97 (2016), 125-139.  doi: 10.1016/j.jmps.2016.02.002.
    [34] L. Gasinski and N. Papageorgiou, Nonlinear Analysis, Ser. Math. Anal. Appl., 9, Chapman & Hall/CRC, Boca Raton, FL, 2006.
    [35] G. Gatica, A Simple Introduction to the Mixed Finite Element Method: Theory and Applications, SpringerBriefs in Mathematics, Springer International Publishing, 2014. doi: 10.1007/978-3-319-03695-3.
    [36] G. Geymonat and F. Krasucki, Some remarks on the compatibility conditions in elasticity, Rend. Accad. Naz. Sci. XL Mem. Mat. Appl. (5), 29 (2005), 175-181.
    [37] H. Goldstein, C. Poole and J. Safko, Classical Mechanics, 3rd edition, Addison Wesley, 2002.
    [38] M. Gowda and M. Teboulle, A comparison of constraint qualifications in infinite-dimensional convex programming, SIAM J. Control Optim., 28 (1990), 925-935.  doi: 10.1137/0328051.
    [39] A. Grad, Quasi-relative interior-type constraint qualifications ensuring strong Lagrange duality for optimization problems with cone and affine constraints, J. Math. Anal. Appl., 361 (2010), 86-95.  doi: 10.1016/j.jmaa.2009.09.006.
    [40] I. Gudoshnikov, Elastoplasticity with softening as a state-dependent sweeping process: non-uniqueness of solutions and emergence of shear bands in lattices of springs, preprint, 2025, arXiv: 2508.16333. doi: 10.48550/arXiv.2508.16333.
    [41] I. GudoshnikovY. JiaoO. Makarenkov and D. Chen, Sweeping process approach to stress analysis in elastoplastic lattice spring models with applications to network materials, Phys. Rev. E, 112 (2025), 065501.  doi: 10.1103/2jdr-ck1m.
    [42] I. Gudoshnikov and M. Křížek, Stress solution of static linear elasticity with mixed boundary conditions via adjoint linear operators, J. Math. Anal. Appl., 543 (2025), Paper No. 128986, 38 pp. doi: 10.1016/j.jmaa.2024.128986.
    [43] I. Gudoshnikov and O. Makarenkov, Structurally stable families of periodic solutions in sweeping processes of networks of elastoplastic springs, Phys. D, 406 (2020), 132443, 6 pp. doi: 10.1016/j.physd.2020.132443.
    [44] I. Gudoshnikov and O. Makarenkov, Stabilization of the response of cyclically loaded lattice spring models with plasticity, ESAIM Control Optim. Calc. Var., 27 (2021), Paper No. S8, 43 pp. doi: 10.1051/cocv/2020043.
    [45] I. Gudoshnikov, O. Makarenkov and D. Rachinskii, Formation of a nontrivial finite-time stable attractor in a class of polyhedral sweeping processes with periodic input, ESAIM Control Optim. Calc. Var., 29 (2023), Paper No. 84, 42 pp. doi: 10.1051/cocv/2023074.
    [46] J. Guzmán and P. Potu, A framework for analysis of DEC approximations to Hodge-Laplacian problems using generalized Whitney forms, preprint, 2025, arXiv: 2505.08934. doi: 10.48550/arXiv.2505.08934.
    [47] W. Han and B. Reddy, Plasticity: Mathematical Theory and Numerical Analysis, 2nd edition, Interdiscip. Appl. Math., 9, Springer New York, 2013. doi: 10.1007/978-1-4614-5940-8.
    [48] M. Hieber, Analysis of viscous fluid flows: An approach by evolution equations, Mathematical Analysis of the Navier-Stokes Equations, Lecture Notes in Math., Fond. CIME/CIME Found. Subser., 2254, Springer, Cham, 2020, 1-146. doi: 10.1007/978-3-030-36226-3_1.
    [49] J. Hiriart-Urruty and C. Lemaréchal, Fundamentals of Convex Analysis, Grundlehren Text Editions, Springer Berlin Heidelberg, 2001. doi: 10.1007/978-3-642-56468-0.
    [50] V. Ivancevic and  T. IvancevicApplied Differential Geometry: A Modern Introduction, World Scientific Publishing Company, 2007.  doi: 10.1142/6420.
    [51] G. Jensen, E. Musso and L. Nicolodi, Surfaces in Classical Geometries: A Treatment by Moving Frames, Universitext, Springer International Publishing, 2016. doi: 10.1007/978-3-319-27076-0.
    [52] V. Jeyakumar, Infinite-dimensional convex programming with applications to constrained approximation, J. Optim. Theory Appl., 75 (1992), 569-586.  doi: 10.1007/BF00940493.
    [53] V. Jeyakumar and H. Wolkowicz, Generalizations of Slater's constraint qualification for infinite convex programs, Math. Programming, 57 (1992), 85-101.  doi: 10.1007/BF01581074.
    [54] P. Krejčí, Hysteresis, Convexity and Dissipation in Hyperbolic Equations, GAKUTO Internat. Ser. Math. Sci. Appl., 8, Gakkōtosho Co., Ltd., Tokyo, 1996.
    [55] R. Kress, Linear Integral Equations, Appl. Math. Sci., 82, Springer New York, 2014. doi: 10.1007/978-1-4614-9593-2.
    [56] M. Kunze and M. Monteiro Marques, An introduction to Moreau's sweeping process, in Impacts in Mechanical Systems (ed. B. Brogliato), Lecture Notes in Phys., 551, Springer Berlin Heidelberg, 2000, 1-60. doi: 10.1007/3-540-45501-9_1.
    [57] J. Lemaitre and  J. ChabocheMechanics of Solid Materials, Cambridge University Press, 1994. 
    [58] G. Leoni, A First Course in Sobolev Spaces, 2nd edition, Graduate Studies in Mathematics, 181, American Mathematical Society, 2017. doi: 10.1090/gsm/181.
    [59] T. C. Lubensky, C. L. Kane, X. Mao, A. Souslov and K. Sun, Phonons and elasticity in critically coordinated lattices, Reports on Progress in Physics, 78 (2015), Paper No. 073901. doi: 10.1088/0034-4885/78/7/073901.
    [60] S. Malhotra, Y. Jiao and O. Makarenkov, Optimization of a lattice spring model with elastoplastic conducting springs: A case study, Eng. Optim., 2025, 1-19. doi: 10.1080/0305215X.2025.2525138.
    [61] A. Mielke and T. Roubíček, Rate-Independent Systems, Applied Mathematical Sciences, 193, Springer New York, 2015. doi: 10.1007/978-1-4939-2706-7.
    [62] S. Migórski, A. Ochal and M. Sofonea, Nonlinear Inclusions and Hemivariational Inequalities: Models and Analysis of Contact Problems, Adv. Mech. Math., 26, Springer New York, 2013. doi: 10.1007/978-1-4614-4232-5.
    [63] M. G. Mora, Relaxation of the hencky model in perfect plasticity, J. Math. Pures Appl. (9) 106 (2016), 725-743. doi: 10.1016/j.matpur.2016.03.009.
    [64] B. Mordukhovich and N. Nam, Convex Analysis and Beyond, Volume I: Basic Theory, Springer Ser. Oper. Res. Financ. Eng., Springer International Publishing, 2022. doi: 10.1007/978-3-030-94785-9.
    [65] J.-J. Moreau, Intersection de deux convexes mobiles, Travaux du Séminaire d'Analyse Convexe, Vol. 3, Secrétariat des Mathématiques, Université des Sciences et Techniques du Languedoc, U.E.R. de Mathématiques, Montpellier, 1973, 26 pp.
    [66] J.-J. Moreau, Systèmes élastoplastiques de liberté finie, Travaux du Séminaire d'Analyse Convexe, Vol. 3, Secrétariat des Mathématiques, Université des Sciences et Techniques du Languedoc, U.E.R. de Mathématiques, Montpellier, 1973, 33 pp.
    [67] J.-J. Moreau, On Unilateral Constraints, Friction and Plasticity, in New Variational Techniques in Mathematical Physics. Lectures given at a Summer School of the Centro Internazionale Matematico Estivo (C.I.M.E.) held in Bressanone (Bolzano), Italy, June 17-26, 1973, Springer Berlin Heidelberg, 1974,171-322. doi: 10.1007/978-3-642-10960-7_7.
    [68] J.-J. Moreau, Intersection of moving convex sets in a normed space, Math. Scand., 36 (1975), 159-173.  doi: 10.7146/math.scand.a-11569.
    [69] J.-J. Moreau, Application of convex analysis to the treatment of elastoplastic systems, in Applications of Methods of Functional Analysis to Problems in Mechanics, Lecture Notes in Mathematics, 503, Springer Berlin Heidelberg, Berlin, Heidelberg, 1976, 56-89. doi: 10.1007/BFb0088746.
    [70] J.-J. Moreau, Evolution problem associated with a moving convex set in a Hilbert space, J. Differential Equations, 26 (1977), 347-374.  doi: 10.1016/0022-0396(77)90085-7.
    [71] J. Nečas and I. Hlaváček, Mathematical Theory of Elastic and Elasto-Plastic Bodies: An Introduction, Stud. Appl. Mech., 3, Elsevier Science, 1981.
    [72] P. Olver and C. Shakiban, Applied Linear Algebra, 2nd edition, Undergrad. Texts Math., Springer International Publishing, 2018. doi: 10.1007/978-3-319-91041-3.
    [73] D. Pauly, A global div-curl-lemma for mixed boundary conditions in weak Lipschitz domains and a corresponding generalized $\rm A_0^*$-$\rm A_1$-lemma in Hilbert spaces, Analysis (Berlin), 39 (2019), 33-58.  doi: 10.1515/anly-2018-0027.
    [74] D. Pauly and M. Schomburg, Hilbert complexes with mixed boundary conditions—Part 2: Elasticity complex, Math. Methods Appl. Sci., 45 (2022), 8971-9005.  doi: 10.1002/mma.8242.
    [75] A. Peressini, Ordered Topological Vector Spaces, Harper's series in modern mathematics, Harper & Row, 1967.
    [76] R. Precup, Methods in Nonlinear Integral Equations, Springer Netherlands, 2002. doi: 10.1007/978-94-015-9986-3.
    [77] V. Pugachev and I. Sinitsyn, Lectures on Functional Analysis and Applications, World Scientific, 1999. doi: 10.1142/3987.
    [78] D. Rachinskii, On geometric conditions for reduction of the Moreau sweeping process to the Prandtl-Ishlinskii operator, Discrete Contin. Dyn. Syst. Ser. B, 23 (2018), 3361-3386.  doi: 10.3934/dcdsb.2018246.
    [79] R. T. RockafellarConvex Analysis, Princeton University Press, Princeton, NJ, 1970. 
    [80] R. T. Rockafellar, Conjugate Duality and Optimization, CBMS-NSF Regional Conference Series in Applied Mathematics, Society for Industrial and Applied Mathematics, 1974. doi: 10.1137/1.9781611970524.
    [81] B. Roth and W. Whiteley, Tensegrity frameworks, Trans. Amer. Math. Soc., 265 (1981), 419-446.  doi: 10.2307/1999743.
    [82] M. Slater, Lagrange multipliers revisited [reprint of Cowles Foundation Discussion Paper No. 80; reissue of Cowles Commission Discussion Paper: Mathematics 403, November 7, 1950], in Traces and Emergence of Nonlinear Programming, Birkhäuser/Springer Basel AG, Basel, 2014,293-306. doi: 10.1007/978-3-0348-0439-4_14.
    [83] G. Strang, H. Matthies and R. Temam, Mathematical and computational methods in plasticity, in Variational Methods in the Mechanics of Solids (ed. S. Nemat-Nasser), Pergamon, 1980, 20-28. doi: 10.1016/B978-0-08-024728-1.50008-2.
    [84] D. Sundararajan, Introductory Circuit Theory, Springer, 2020. doi: 10.1007/978-3-030-31985-4.
    [85] Supplemental Material 1, See at, https://data.aimsciences.org///aimsmath-upload/news/DCDS/202510177635891.mp4
    [86] Supplemental Material 2, See at, https://data.aimsciences.org///aimsmath-upload/news/DCDS/202510177720186.mp4.
    [87] Supplemental Material 3, See at, https://data.aimsciences.org///aimsmath-upload/news/DCDS/202510177532639.mp4.
    [88] P.-M. Suquet, Sur un nouveau cadre fonctionnel pour les équations de la plasticité, C. R. Acad. Sci. Paris Sér. A-B, 286 (1978), A1129-A1132. 
    [89] P.-M. Suquet, Existence and regularity of solutions for plasticity problems, in Variational Methods in the Mechanics of Solids (ed. S. Nemat-Nasser), Pergamon, 1980,304-309. doi: 10.1016/B978-0-08-024728-1.50053-7.
    [90] P.-M. Suquet, Sue les équations de la plasticité: Existence et régularité des solutions, J. Mécanique, 20 (1981), 3-39. 
    [91] P.-M. Suquet, Discontinuities and plasticity, in Nonsmooth Mechanics and Applications, CISM International Centre for Mechanical Sciences, 302, Springer Vienna, 1988,279-340. doi: 10.1007/978-3-7091-2624-0_5.
    [92] R. Temam, Mathematical Problems in Plasticity, Modern Applied Mathematics Series, Trans-Inter-Scientia, 1985.
    [93] R. Temam and G. Strang, Functions of bounded deformation, Arch. Rational Mech. Anal., 75 (1980/81), 7-21.  doi: 10.1007/BF00284617.
    [94] Z. Yosibash, Singularities in Elliptic Boundary Value Problems and Elasticity and Their Connection with Failure Initiation, Interdiscip. Appl. Math., 37, Springer, New York, 2012. doi: 10.1007/978-1-4614-1508-4.
    [95] C. Zalinescu, Convex Analysis in General Vector Spaces, World Scientific Publishing Company, 2002. doi: 10.1142/5021.
  • 加载中

Figures(14)

Tables(3)

SHARE

Article Metrics

HTML views(522) PDF downloads(46) Cited by(0)

Access History

Other Articles By Authors

Catalog

    /

    DownLoad:  Full-Size Img  PowerPoint
    Return
    Return