\`x^2+y_1+z_12^34\`
Advanced Search
Article Contents
Article Contents

Distribution of SS and AS and their bifurcations in aggregations of tuna around two FOBs

  • *Corresponding author: Weinian Zhang

    *Corresponding author: Weinian Zhang

Supported by NSFC grants #11771307, #11726623 and #11521061 and PCSIRT IRT-15R53.

Abstract / Introduction Full Text(HTML) Figure(15) / Table(3) Related Papers Cited by
  • A number of empirical and theoretical studies shows that the exploitation of fish sources has benefitted a lot from artificial floating objects (abbr. FOBs) on the surface of ocean. In this paper we investigate the dynamical distribution in aggregations of tuna around two FOBs. We abandon the effort of precise computation for steady states and eigenvalues but utilize the monotonic intervals to determine the location of zeros and signs of eigenvalues qualitatively and use the symmetry of AS steady states to simplify the system. Our method enables us to find two more steady states than known results and complete the analysis of all steady states effectively. Furthermore, we display all bifurcations at steady states, including six bifurcations of co-dimension 1 and two bifurcations of co-dimension 2. One of bifurcations is a degenerate pitchfork bifurcation of co-dimension 4 but only a part of co-dimension 2 can be unfolded within the system. We construct sectorial regions to prove the nonexistence of closed orbits. Those results provide long-time prediction of steady numbers of tuna around the two FOBs and critical conditions for transitions of cases.

    Mathematics Subject Classification: Primary: 34C23; Secondary: 34C05, 37G10, 92B05.

    Citation:

    \begin{equation} \\ \end{equation}
  • 加载中
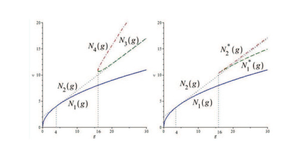
  • Figure 1.  Parameter regions for qualitative properties. The left comes from [12] and the right from Table 2

    Figure 2.  Graph of $P_3$ with $g = 20$ and $\nu = 15$

    Figure 3.  Cusp bifurcation at the SS: $ (\sqrt3, \sqrt3) $

    Figure 4.  Degenerate pitchfork bifurcation at the SS: $ (1, 1) $

    Figure 5.  Bifurcation diagriam of system (67)

    Figure 6.  Phase plane of system (7) in (C3)

    Figure 7.  Phase plane of system (7) in (C4)

    Figure 8.  Phase plane of system (7) in (C5).

    Figure 9.  Parameter plane of system (7)

    Figure 10.  Phase diagrams of system (7)

    Figure 11.  Phase diagrams of system (7)

    Figure 12.  Phase diagrams of system (7)

    Figure 13.  Phase portraits of system (7)

    Figure 14.  Phase portraits of system (7)

    Figure 15.  Phase portraits of system (7)

    Table 1.  Number and stability of steady states found in [12]

    $ g $ $ \nu $ number and stability
    $ g<4 $ $ \nu<N_2(g) $ 1 stable SS
    $ \nu>N_2(g) $ 1 unstable SS, 2 stable ASs
    $ 4<g<16 $ $ \nu<N_1(g) $ 1 stable SS
    $ N_1(g)<\nu<N_2(g) $ 1 stable SS, 2 stable ASs and 2 unstable ASs
    $ \nu>N_2(g) $ 1 unstable SS, 2 stable ASs
    $ g>16 $ $ \nu<N_1(g) $ 1 stable SS
    $ N_1(g)<\nu<N_2(g) $ 1 stable SS, 2 stable ASs, 2 unstable ASs
    $ N_2(g)<\nu<N_{3}(g) $ 1 unstable SS and 2 stable ASs
    $ N_3(g)<\nu<N_{4}(g) $ 3 unstable SSs and 2 stable ASs
    $ \nu>N_{4}(g) $ 1 unstable SS and 2 stable ASs
     | Show Table
    DownLoad: CSV

    Table 2.  Number of steady states of system (7) and their types

    $g$$\nu$number and type$~$total$~\, $
    $0<g\leq 4$$0<\nu\leq{g}/{2}+2$1 SS (stable node)1
    $\nu>{g}/{2}+2$1 SS (saddle)3
    2 ASs (stable nodes)
    $4<g<16$$0<\nu<2\sqrt g$1 SS (stable node)1
    $\nu=2\sqrt g$1 SS (stable node)3
    2 ASs(saddle-nodes)
    $2\sqrt g<\nu<{g}/{2}+2$1 SS (stable node)5
    2 ASs (stable nodes)
    2 ASs (saddle)
    $\nu\geq{g}/{2}+2$1 SS (saddle)3
    2 ASs (stable nodes)
    $g=16$$0<\nu<8$1 SS (stable node)1
    $\nu=8$1 SS (stable node)3
    2 ASs (saddle-nodes)
    $8<\nu<10$1 SS (stable node)5
    2 ASs (stable nodes)
    2 ASs (saddle)
    $\nu\geq 10$1 SS (saddle)3
    2 ASs (stable nodes)
    $16<g\leq 8+8\sqrt2$$0<\nu<2\sqrt g$1 SS (stable node)1
    $\nu=2\sqrt g$1 SS (stable node)3
    2 ASs (saddle-nodes)
    $2\sqrt g<\nu<{g}/{2}+2$1 SS (stable node)5
    2 ASs (stable nodes)
    2 ASs (saddle)
    ${g}/{2}+2\leq \nu<N_1^*(g)$1 SS (saddle)3
    2 ASs (stable nodes)
    $\nu=N^*_1(g)$1 SS (saddle)4
    1 SS (saddle-node)
    2 ASs (stable nodes)
    $N^*_1(g)<\nu<N^*_2(g)$1 SS (unstable node)5
    2 SSs (saddle)
    2 ASs (stable nodes)
    $\nu=N^*_2(g)$1 SS (saddle-node)4
    1 SS (saddle)
    2 ASs (stable nodes)
    $\nu>N^*_2(g)$1 SS (saddle)3
    2 ASs (stable nodes)
    $ g>8+8\sqrt2 $ $ 0<\nu<2\sqrt g $ 1 SS (stable node) 1
    $ \nu=2\sqrt g $ 1 SS (stable node) 3
    2 ASs (saddle-nodes)
    $ 2\sqrt g<\nu<N^*_1(g) $ 1 SS (stable node) 5
    2 ASs (stable nodes)
    2 ASs (saddle)
    $ \nu=N^*_1(g) $ 1 SS (stable node) 6
    1 SS (saddle-node)
    2 ASs (stable nodes)
    2 ASs (saddle)
    $ N^*_1(g)<\nu<{g}/{2}+2 $ 1 SS (unstable node) 7
    1 SS (saddle)
    1 SS (stable node)
    2 ASs (stable node)
    2 ASs (saddle)
    $ {g}/{2}+2\leq \nu<N^*_2(g) $ 1 SS (unstable node) 5
    2 SSs (saddle)
    2 ASs (stable nodes)
    $ \nu=N^*_2(g) $ 1 SS (saddle-node) 4
    1 SS (saddle)
    2 ASs (stable nodes)
    $ \nu>N^*_2(g) $ 1 SS (saddle) 3
    2 ASs (stable nodes)
     | Show Table
    DownLoad: CSV

    Table 3.  Nonhyperbolic cases, where $ s_\pm $ and $ x_*^\pm $ are defined in (13) and (35)

    Label $ g $, $ \nu $ degenerate steady-states and coordinates
    NH1 $ g>16 $, $ \nu=N_1^*(g) $ 1 SS(saddle-node) $ (s_+, s_+) $
    NH2 $ g>16 $, $ \nu=N_2^*(g) $ 1 SS(saddle-node) $ (s_-, s_-) $
    NH3 $ g=16 $, $ \nu=6\sqrt3 $ 1 SS(saddle) $ (\sqrt3, \sqrt3) $
    NH4 $ g>4 $, $ \nu=N_1(g) $ 2 ASs(saddle-nodes) $ (x_*^+, x_*^-) $ and $ (x_*^-, x_*^+) $
    NH5 $ g>4 $, $ \nu=N_2(g) $ 1 SS(saddle) $ (1, 1) $
    $ 0<g<4 $, $ \nu=N_2(g) $ 1 SS(stable node) $ (1, 1) $
    NH6 $ g=4 $, $ \nu=4 $ 1 SS(stable node) $ (1, 1) $
     | Show Table
    DownLoad: CSV
  • [1] J. M. AméJ. HalloyC. RivaultC. Detrain and J. L. Deneubourg, Collegial decision making based on social amplification leads to optimal group formation, Proceedings of the National Academy of Sciences of the United States of America, 103 (2006), 5835-5840. 
    [2] J. Carr, Applications of Center Manifold Theory, Springer-Verlag, New York-Berlin, 1981.
    [3] S. N. Chow and J. K. Hale, Methods of Bifurcation Theory, Springer-Verlag, New York, 1982.
    [4] F. Dumortier, J. Llibre and J. C. Artés, Qualitative Theory of Planar Differential Systems, Springer-Verlag, Berlin, 2006.
    [5] B. Gao and W. Zhang, Equilibria and their bifurcations in a recurrent neural network involving iterates of a transcendental function, IEEE Transactions on Neural Networks, 19 (2008), 782-794.  doi: 10.1109/TNN.2007.912321.
    [6] J. Guckenheimer and P. Holmes, Nonlinear Oscillations, Dynamical Systems and Bifurcations of Vector Fields, Springer-Verlag, New York, 1983. doi: 10.1007/978-1-4612-1140-2.
    [7] J. HalloyG. SempoG. CaprariC. RivaultM. AsadpourF. TâcheI. SaïdV. DurierS. CanongeJ. M. AméC. DetrainN. CorrellA. MartinoliF. MondadaR. Siegwart and J. L. Deneubourg, Social integration of robots into groups of cockroaches to control self-organized choices, Science, 318 (2007), 1155-1158.  doi: 10.1126/science.1144259.
    [8] X. HouR. Yan and W. Zhang, Bifurcations of a polynomial differential system of degree $n$ in biochemical reactions, Computers and Mathematics with Applications, 43 (2002), 1407-1423.  doi: 10.1016/S0898-1221(02)00108-6.
    [9] D. HuangY. GongY. Tang and W. Zhang, Degenerate equilibria at infinity in the generalized brusselator, Mathematical and Computer Modelling, 42 (2005), 167-179.  doi: 10.1016/j.mcm.2004.02.041.
    [10] Y. A. Kuznetsov, Elements of Applied Bifurcation Theory, 2$^{nd}$ edition, Springer-Verlag, New York, 1998.
    [11] L. Perko, Differential Equations and Dynamical Systems, Springer-Verlag, New York, 1991. doi: 10.1007/978-1-4684-0392-3.
    [12] M. RobertL. Dagorn and J. L. Deneubourg, The aggregation of tuna around floating objects: What could be the underlying social mechanisms?, Journal of Theoretical Biology, 359 (2014), 161-170.  doi: 10.1016/j.jtbi.2014.06.010.
    [13] D. J. T. Sumpter and S. C. Pratt, Quorum responses and consensus decision making, Philosophical Transaction of the Royal Society B: Biological Sciences, 364 (2009), 743-753.  doi: 10.1098/rstb.2008.0204.
    [14] Y. Tang and W. Zhang, Generalized normal sectors and orbits in exceptional directions, Nonlinearity, 17 (2004), 1407-1426.  doi: 10.1088/0951-7715/17/4/015.
    [15] Z. Zhang, T. Ding, W. Huang and Z. Dong, Qualitative Theory of Differential Equations, Translations of Mathematical Monographs, volume 101, American Mathematical Society, Providence, 1992.
  • 加载中

Figures(15)

Tables(3)

SHARE

Article Metrics

HTML views(3437) PDF downloads(201) Cited by(0)

Access History

Other Articles By Authors

Catalog

    /

    DownLoad:  Full-Size Img  PowerPoint
    Return
    Return