\`x^2+y_1+z_12^34\`
Advanced Search
Article Contents
Article Contents

Spatial segregation of multiple species: A singular limit approach

  • *Corresponding author: Chang-Hong Wu

    *Corresponding author: Chang-Hong Wu

In memory of Professor Masayasu Mimura

H. Izuhara was partially supported by JSPS KAKENHI Grant Number 21K03353. H. Monobe was partially supported by JSPS KAKENHI Grant Number 18K13458. C.-H. Wu was partially supported by the National Science and Technology Council of Taiwan under grant MOST 109-2636-M-009-008 and MOST 111-2115-M-A49-003-MY3.

Abstract / Introduction Full Text(HTML) Figure(13) / Table(2) Related Papers Cited by
  • The spatial segregation of the populations occurs commonly in ecology. One typical way to understand this phenomenon is to consider strong competition in some species. In this paper, we shall consider multiple-species competition-diffusion models. Under the condition that some interspecies competition rates are large, we show that the segregation phenomenon occurs. Furthermore, we derive some two-phase Stefan-like problems appearing as the singular limit, which may provide some modeling interpretation for free boundary problems studied in the literature.

    Mathematics Subject Classification: Primary: 35K57, 35K45; Secondary: 92D25.

    Citation:

    \begin{equation} \\ \end{equation}
  • 加载中
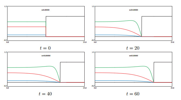
  • Figure 1.  Snapshots of a solution behavior when $ d_w = 0 $, $ \varepsilon = 0.00001 $ and $ L = 25 $. The blue, green, red and black curves respectively mean $ u_1 $, $ u_2 $, $ u_3 $ and $ w $, respectively

    Figure 2.  Snapshots of a solution behavior when $ d_w = 0.1 $, $ \varepsilon = 0.00001 $ and $ L = 25 $. The colors of curves indicate the same as the ones in Figure 1

    Figure 3.  Snapshots of a solution behavior when $ d_w = 0.7 $, $ \varepsilon = 0.00001 $ and $ L = 25 $. The colors of curves indicate the same as the ones in Figure 1

    Figure 4.  Relations between the diffusivity $ d_w $ and the traveling wave velocity $ c $ for each $ \varepsilon $ value are shown. The horizontal axis is $ d_w $ and the vertical one is $ c $

    Figure 5.  Profiles and velocities of traveling wave solutions with $ d_w = 0.0 $ when $ \varepsilon $ varies. The colors of curves indicate the same as the ones in Figure 1

    Figure 6.  Profiles and velocities of traveling wave solutions with $ d_w = 0.8 $ when $ \varepsilon $ varies. The colors of curves indicate the same as the ones in Figure 1

    Figure 7.  Relations between the diffusivity $ d_w $ and the traveling wave velocity $ c $ for each $ \varepsilon $ value are shown. The horizontal axis is $ d_w $ and the vertical one is $ c $ when $ K_1 $ varies. The parameter values except for $ K_1 $ are the same as the ones in Figure 4. (a) $ K_1 = 0.5 $ (b) $ K_1 = 2.0 $

    Figure 8.  (a) Relations between the carrying capacity $ K_1 $ and the traveling wave velocity $ c $ for each $ \varepsilon $ value when $ d_w = 0.4 $. (b) Relations between the diffusivity $ d_2 $ and the traveling wave velocity $ c $ for each $ \varepsilon $ value when $ d_w = 0.4 $. In both cases, the other parameter values are the same as the ones in Figure 4

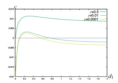
    Figure 9.  Relations between the diffusivity $ d_1 $ and the traveling wave velocity $ c $ for each $ \varepsilon $ value when $ d_w = 0.3 $. The other parameter values are the same as the ones in Figure 4

    Figure 10.  The profiles of traveling wave solutions in Figure 9. The value of $ d_1 $ is indicated below each figure. The upper two traveling waves move to the left, and the lower one moves to the right. The colors of curves indicate the same as the ones in Figure 1

    Figure 11.  Relations in (40) between the diffusivity $ d_w $ and the traveling wave velocity $ c $ for each $ \varepsilon $ value are shown. The horizontal axis is $ d_w $ and the vertical one is $ c $

    Figure 12.  The profiles of traveling wave solutions in Figure 11. The blue, green and black curves respectively indicate $ u_1 $, $ u_2 $ and $ w $ in (40)

    Figure 13.  The change of the wave velocity $ c $ according to the diffusion coefficient $ d_1 $ and $ d_2 $. The parameter value is $ d_w = 0.3 $ and the others are the same as the ones in Figure 11

    Table 1.  The wave velocities $ c $ when $ d_w = 0.0 $

    $ K_1=0.5 $ $ K_1=1.1 $ $ K_1=2.0 $
    $ \varepsilon=0.5 $ $ 0.05530 $ $ 0.05874 $ $ 0.06953 $
    $ \varepsilon=0.01 $ $ 0.08562 $ $ 0.09010 $ $ 0.10300 $
    $ \varepsilon=0.0001 $ $ 0.09160 $ $ 0.09779 $ $ 0.10928 $
     | Show Table
    DownLoad: CSV

    Table 2.  The wave velocities $ c $ when $ d_w = 1.0 $

    $ K_1=0.5 $ $ K_1=1.1 $ $ K_1=2.0 $
    $ \varepsilon=0.5 $ $ -0.04895 $ $ -0.04339 $ $ -0.02647 $
    $ \varepsilon=0.01 $ $ -0.10099 $ $ -0.09296 $ $ -0.06883 $
    $ \varepsilon=0.0001 $ $ -0.10873 $ $ -0.10026 $ $ -0.07482 $
     | Show Table
    DownLoad: CSV
  • [1] D. G. Aronson and H. F. Weinberger, Nonlinear diffusion in population genetics, combustion, and nerve pulse propagation, in Partial Differential Equations and Related Topics, Lecture Notes in Math, Vol. 446, Springer, Berlin, 1975, 5–49.
    [2] H. Brezis, Functional Analysis, Sobolev Spaces and Partial Differential Equations, New York: Springer, Universitext, 2011.
    [3] G. BuntingY. Du and K. Krakowski, Spreading speed revisited: Analysis of a free boundary model, Netw. Heterog. Media., 7 (2012), 583-603.  doi: 10.3934/nhm.2012.7.583.
    [4] C. Carrere, Spreading speeds for a two-species competition-diffusion system, J. Diff. Eqns., 264 (2018), 2133-2156.  doi: 10.1016/j.jde.2017.10.017.
    [5] X. F. Chen and A. Friedman, Free boundary problem arising in a model of wound healing, SIAM J. Math. Anal., 32 (2000), 778-800.  doi: 10.1137/S0036141099351693.
    [6] C. Conley and R. Gardner, An application of the generalized Morse index to traveling wave solutions of a competitive reaction diffusion model, Indiana Univ. math. J., 33 (1984), 319-343.  doi: 10.1512/iumj.1984.33.33018.
    [7] E. C. M. CrooksE. N. DancerD. HilhorstM. Mimura and H. Ninomiya, Spatial segregation limit of a competition-diffusion system with Dirichlet boundary conditions, Nonlinear Analysis: Real World Applications, 5 (2004), 645-665.  doi: 10.1016/j.nonrwa.2004.01.004.
    [8] E. N. DancerD. HilhorstM. Mimura and L. A. Peletier, Spatial segregation limit of a competition-diffusion system, European J. Appl. Math., 10 (1999), 97-115.  doi: 10.1017/S0956792598003660.
    [9] J. DockeryV. HutsonK. Mischaikow and M. Pernarowski, The evolution of slow dispersal rates: A reaction-diffusion model, J. Math. Biol., 37 (1998), 61-83.  doi: 10.1007/s002850050120.
    [10] Y. Du and Z. G. Lin, Spreading-vanishing dichotomy in the diffusive logistic model with a free boundary, SIAM J. Math. Anal., 42 (2010), 377-405.  doi: 10.1137/090771089.
    [11] Y. Du and B. Lou, Spreading and vanishing in nonlinear diffusion problems with free boundaries, J. Eur. Math. Soc., 17 (2015), 2673-2724.  doi: 10.4171/JEMS/568.
    [12] Y. Du and C.-H. Wu, Spreading with two speeds and mass segregation in a diffusive competition system with free boundaries, Cal. Var. PDE, 57 (2018), Paper No. 52, 36 pp. doi: 10.1007/s00526-018-1339-5.
    [13] M. El-Hachem, S. W. McCue, W. Jin, Y. Du and M. J. Simpson, Revisiting the Fisher–Kolmogorov–Petrovsky–Piskunov equation to interpret the spreading-extinction dichotomy, Proc. Royal Soc. A, 475 (2019), 20190378, 19 pp. doi: 10.1098/rspa.2019.0378.
    [14] R. A. Fisher, The wave of advance of advantageous gene, Ann. Eugenics, 7 (1937), 335-369.  doi: 10.1111/j.1469-1809.1937.tb02153.x.
    [15] L. Girardin and K.-Y. Lam, Invasion of open space by two competitors: Spreading properties of monostable two-species competition-diffusion systems, Proc. Lond. Math. Soc., 119 (2019), 1279-1335.  doi: 10.1112/plms.12270.
    [16] J.-S. Guo and C.-H. Wu, On a free boundary problem for a two-species weak competition system, J. Dyn. Differ. Equ., 24 (2012), 873-895.  doi: 10.1007/s10884-012-9267-0.
    [17] X. He and W.-M. Ni, Global dynamics of the Lotka-Volterra competition-diffusion system: diffusion and spatial heterogeneity Ⅰ, Commun. Pure Appl. Math., 69 (2016), 981-1014.  doi: 10.1002/cpa.21596.
    [18] D. HilhorstM. IidaM. Mimura and H. Ninomiya, A competition-diffusion system approximation to the classical two-phase Stefan problem, Jpn. J. Ind. Appl. Math., 18 (2001), 161-180.  doi: 10.1007/BF03168569.
    [19] D. HilhorstS. Martin and M. Mimura, Singular limit of a competition-diffusion system with large interspecific interaction, J. Math. Anal. Appl., 390 (2012), 488-513.  doi: 10.1016/j.jmaa.2012.02.001.
    [20] D. Hilhorst, M. Mimura and H. Ninomiya, Fast reaction limit of competition-diffusion systems, Handbook of Differential Equations: Evolutionary Equations, North-Holland, Hungary, 5 (2009), 105–168. doi: 10.1016/S1874-5717(08)00209-0.
    [21] D. HilhorstR. van der Hout and L. A. Peletier, The fast reaction limit for a reaction-diffusion system, J. Math. Anal. Appl., 199 (1996), 349-373.  doi: 10.1006/jmaa.1996.0146.
    [22] M. W. Hirsch, Differential equations and convergence almost everywhere of strongly monotone semiflows, PAM Technical Report, University of California, Berkeley, 1982.
    [23] V. HutsonY. Lou and K. Mischaikow, Convergence in competition models with small diffusion coeffcients, J. Diff. Eqns., 211 (2005), 135-161.  doi: 10.1016/j.jde.2004.06.003.
    [24] H. Izuhara, H. Monobe and C.-H. Wu, The formation of spreading front: The singular limit of three-component reaction-diffusion models, J. Math. Biol., 82 (2021), Paper No. 38, 33 pp. doi: 10.1007/s00285-021-01591-5.
    [25] Y. Kaneko and H. Matsuzawa, Spreading and vanishing in a free boundary problem for nonlinear diffusion equations with a given forced moving boundary, J. Diff. Eqns., 265 (2018), 1000-1043.  doi: 10.1016/j.jde.2018.03.026.
    [26] Y. Kaneko and Y. Yamada, A free boundary problem for a reaction-diffusion equation appearing in ecology, Adv. Math. Sci. Appl., 21 (2011), 467-492. 
    [27] Y. Kan-On, Parameter dependence of propagation speed of travelling waves for competition-diffusion equations, SIAM J. Math. Anal., 26 (1995), 340-363.  doi: 10.1137/S0036141093244556.
    [28] Y. Kan-on, Fisher wave fronts for the Lotka-Volterra competition model with diffusion, Nonlinear Anal., 28 (1997), 145-164.  doi: 10.1016/0362-546X(95)00142-I.
    [29] K. Kishimoto and H. F. Weinberger, The spatial homogeneity of stable equilibria of some reaction-diffusion system on convex domains, J. Diff. Eqns., 58 (1985), 15-21.  doi: 10.1016/0022-0396(85)90020-8.
    [30] A. N. KolmogorovI. G. Petrovsky and N. S. Piskunov, Study of the diffusion equation with growth of the quantity of matter and its application to a biological problem, Bull. Univ. Etat. Moscow Ser. Internat. Math. Mec. Sect. A, 1 (1937), 1-29. 
    [31] D. A. Ladyzenskaja, V. A. Solonnikov and N. N. Ural'ceva, Linear and Quasilinear Equations of Parabolic Type, American Mathematical Society., Providence, R.I. 1968.
    [32] M. A. LewisB. Li and H. F. Weinberger, Spreading speeds and the linear conjecture for two-species competition models, J. Math. Biol., 45 (2002), 219-233.  doi: 10.1007/s002850200144.
    [33] M. A. Lewis, S. V. Petrovskii and J. R. Potts, The Mathematics Behind Biological Invasions, Interdisciplinary Applied Mathematics, vol. 44, Springer, 2016. doi: 10.1007/978-3-319-32043-4.
    [34] Y. Lou, On the effects of migration and spatial heterogeneity on single and multiple species, J. Diff. Eqns., 223 (2006), 400-426.  doi: 10.1016/j.jde.2005.05.010.
    [35] A. Lunardi, Analytic Semigroups and Optimal Regularity in Parabolic Problems, Birkhauser, 1995.
    [36] H. Matano and M. Mimura, Pattern formation in competition-diffusion systems in nonconvex domains., Publ. RIMS, Kyoto Univ., 19 (1983), 1049-1079.  doi: 10.2977/prims/1195182020.
    [37] M. Mimura and K. Kawasaki, Spatial segregation in competitive interaction-diffusion equation, J. Math. Biol., 9 (1980), 49-64.  doi: 10.1007/BF00276035.
    [38] M. MimuraY. Yamada and S. Yotsutani, A free boundary problem in ecology, Japan J. Appl. Math., 2 (1985), 151-186.  doi: 10.1007/BF03167042.
    [39] H. Monobe and C.-H. Wu, On a free boundary problem for a reaction-diffusion-advection logistic model in heterogeneous environment, J. Diff. Eqns., 261 (2016), 6144-6177.  doi: 10.1016/j.jde.2016.08.033.
    [40] H. Murakawa and H. Ninomiya, Fast reaction limit of a three-component reaction-diffusion system, J. Math. Anal. Appl., 379 (2011), 150-170.  doi: 10.1016/j.jmaa.2010.12.040.
    [41] J. D. Murray, Mathematical Biology, Springer-Verlag, Berlin, 1993.
    [42] W.-M. Ni, The Mathematics of Diffusion, CBMS-NSF Regional Conf. Ser. in Appl. Math. 82, SIAM, Philadelphia, 2011. doi: 10.1137/1.9781611971972.
    [43] R. PengC.-H. Wu and M. Zhou, Sharp estimates for the spreading speeds of the Lotka-Volterra diffusion system with strong competition, Annales de l'Institut Henri Poincaré C, Analyse non linéaire, 38 (2021), 507-547.  doi: 10.1016/j.anihpc.2020.07.006.
    [44] L. I. Rubinstein, The Stefan Problem, American Mathematical Society, Providence, RI, 1971.
    [45] N. Shigesada and K. Kawasaki, Biological Invasions: Theory and Practice, Oxford Series in Ecology and Evolution, Oxford: Oxford UP, 1997.
    [46] N. ShigesadaK. Kawasaki and E. Teramoto, Spatial segregation of interacting species, J. Theoret. Biol., 79 (1979), 83-99.  doi: 10.1016/0022-5193(79)90258-3.
    [47] M. X. Wang, On some free boundary problems of the prey-predator model, J. Diff. Eqns., 256 (2014), 3365-3394.  doi: 10.1016/j.jde.2014.02.013.
  • 加载中

Figures(13)

Tables(2)

SHARE

Article Metrics

HTML views(4135) PDF downloads(334) Cited by(0)

Access History

Other Articles By Authors

Catalog

    /

    DownLoad:  Full-Size Img  PowerPoint
    Return
    Return