\`x^2+y_1+z_12^34\`
Advanced Search
Article Contents
Article Contents

On a delayed invasive species model with harvesting

  • *Corresponding author: Sándor Kovács

    *Corresponding author: Sándor Kovács 
Abstract / Introduction Full Text(HTML) Figure(2) Related Papers Cited by
  • In this paper a mathematical model will be studied that describes the connections between three species: people, trees and rats. This model, which is based on a three-dimensional system of ordinary differential equations, has been motivated by attempts to explain the ecological disaster of Easter Island. The system has four equilibria from which three ones are on the boundary of the positive octant of the phase space and – under appropriate conditions – there is a unique interior equilibrium. We incorporate discrete delay into the system in order to have a more realistic model. This delay takes into account that time is needed for the seeds to become a full-grown tree. The stability of the equilibria with delay and the possibility of an oscillatory behaviour are examined.

    Mathematics Subject Classification: Primary: 92B05, 93D05; Secondary: 34C23, 34D20, 37N25.

    Citation:

    \begin{equation} \\ \end{equation}
  • 加载中
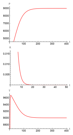
  • Figure 1.  Time evolution of system (1) before Hopf bifurcation

    Figure 2.  Time evolution of system (2) after Hopf bifurcation

  • [1] W. BasenerB. BrooksM. Radin and T. Wiandte, Rat instigated human population collapse on Easter Island, Nonlinear Dynamics, Psychology, and Life Sciences, 12 (2008), 227-240. 
    [2] M. Bodnar, The nonnegativity of solutions of delay differential equations,, Appl. Math. Lett., 13 (2000), 91-95.  doi: 10.1016/S0893-9659(00)00061-6.
    [3] F. G. Boese, Stability with Respect to the Delay: On a Paper of K. L. Cooke and P. van den Driessche, J. Math. Anal. Appl., 228 (1998), 293-321.  doi: 10.1006/jmaa.1998.6109.
    [4] K. L. Cooke and P. van den Driessche, On zeroes of some transcendental equations, Funkcialaj Ekvacioj, 29 (1986), 77-90. 
    [5] O. Diekmann, S. A. van Gils, S. M. Verduyn Lunel and H. O. Walther, Delay equations: Functional, complex, and nonlinear analysis, Appl. Math. Sci., 110, Springer-Verlag, New York, 1995. doi: 10.1007/978-1-4612-4206-2.
    [6] M. Farkas, Periodic Motions, Appl. Math. Sci., 104, Springer-Verlag, New York, 1994. doi: 10.1007/978-1-4757-4211-4.
    [7] U. Foryś, Biological delay systems and the mikhailov criterion of stability, Journal of Biological Systems, 5 (1992), 33-74. 
    [8] A. HalanayDifferential Equations: Stability, Oscillations, Time Lags, Academic Press, New York-London, 1966. 
    [9] J. K. Hale, V. Lunel and M. Sjoerd, Introduction to functional-differential equations, , Appl. Math. Sci., 99, Springer-Verlag, New York, 1993. doi: 10.1007/978-1-4612-4342-7.
    [10] T. Kalmár-NagyG. Stépán and F. C. Moon, Subcritical Hopf bifurcation in the delay equation model for machine tool vibrations, Nonlinear Dynam., 26 (2001), 121-142.  doi: 10.1023/A:1012990608060.
    [11] N. N. Kolmanovskii and V. R. Nosov, Stability of Functional Differential Equations, Math. Sci. Engrg., 180, Academic Press, Inc, London, 1986.
    [12] S. Kovács, S. György and N. Gyúró, On an invasive species model with harvesting, in Trends in Biomathematics: Modeling Cells, Flows, Epidemics, and the Environment (ed. R. Mondaini), Springer International Publishing, (2020), 299-334. doi: 10.1007/978-3-030-46306-9_19.
    [13] Y. Kuang, Delay Differential Equations: With Applications in Population Dynamics, Math. Sci. Engrg., 191, Academic Press, Inc., Boston, MA, 1993.
    [14] G. Orosz and G. Stépán, Hopf bifurcation calculations in delayed systems with translational symmetry, J. Nonlin. Sci., 14 (2004), 505-528.  doi: 10.1007/s00332-004-0625-4.
    [15] G. S. Sebestyén, Modelling the ecosystem of the Easter island with delay differential equations, Ann. Univ. Sci. Budapest. Sect. Comput., 45 (2016), 169-181. 
    [16] G. Stépán, Great delay in a predator-prey model, Nonlinear Anal., 10 (1986), 913-929.  doi: 10.1016/0362-546X(86)90078-7.
    [17] G. S. Sebestyén and I. Faragó, Invasive Species Model with Linear Rat Harvesting on Easter Island, Journal of Applied & Computational Mathematics, 4 (2015), 1-6. 
    [18] E. B. Vinberg, A Course in Algebra, Grad. Stud. Math., 56, American Mathematical Society, Providence, RI, 2003. doi: 10.1090/gsm/056.
  • 加载中

Figures(2)

SHARE

Article Metrics

HTML views(2354) PDF downloads(592) Cited by(0)

Access History

Other Articles By Authors

Catalog

    /

    DownLoad:  Full-Size Img  PowerPoint
    Return
    Return