\`x^2+y_1+z_12^34\`
Advanced Search
Article Contents
Article Contents

Phase response to arbitrary perturbations: Geometric insights and resetting surfaces

  • *Corresponding author: Bernd Krauskopf

    *Corresponding author: Bernd Krauskopf 
Abstract / Introduction Full Text(HTML) Figure(22) Related Papers Cited by
  • Phase resetting is an experimental tool, originally from neuroscience, for the study of oscillatory systems. Phase resets measure the phase shifts that occur as points return to an underlying stable periodic orbit $ \Gamma $ after a specific perturbation of amplitude $ A $ in a particular direction $ \boldsymbol{d} $. The classical Phase Transition curve (PTC) is the graph of the circle map from the old phase $ \vartheta_{{\rm{o}}} $ on $ \Gamma $ to the new phase $ \vartheta_{{\rm{n}}} $, where $ \boldsymbol{d} $ and $ A $ are fixed.

    We take a global, geometric point of view and consider the map to the new phase $ \vartheta_{{\rm{n}}} $ in dependence not only on $ \vartheta_{{\rm{o}}} $, but also on $ \boldsymbol{d} $ and $ A $. Its graph is a reset hypersurface that encodes all phase information for any possible perturbation. We study phase resets of a planar system in this way, where the direction $ \boldsymbol{d} $ is given by an angle $ \varphi_{{\rm{d}}} $. As illustrative examples we consider a constructed planar vector field with rotational symmetry due to Winfree, for which the phase response can be computed analytically, as well as the planar Van der Pol oscillator, which does not have this special property. Any slice through the reset hypersurface for fixed $ A $ is a reset surface in a three-torus that relates $ \vartheta_{{\rm{o}}} $, $ \varphi_{{\rm{d}}} $ and $ \vartheta_{{\rm{n}}} $. This surface provides an atlas of all phase resets. We show what it looks like and how it changes topologically at isolated points of $ A $ due to interactions with a phaseless point that forms the basin boundary of $ \Gamma $.

    Mathematics Subject Classification: 37C10, 37C27, 37D10; Secondary: 65L10, 92B25.

    Citation:

    \begin{equation} \\ \end{equation}
  • 加载中
  • Figure 1.  Phase resets with $ \boldsymbol{d} = [1, 0] $ for $ A = 0.5 $, $ A = 1 $, and $ A = 1.5 $ in Winfree's model (7) with $ \varepsilon = 0 $. Panel (a) shows $ \Gamma $ (black) and the three perturbation sets $ \Gamma_{0.5} $ (orange), $ \Gamma_{1} $ (red), and $ \Gamma_{1.5} $ (purple) together with 20 isochrons uniformly distributed in phase, which are coloured in increasingly darker shades from 0 (cyan) to 1 (dark blue). The resulting PRCs and PTCs are shown in matching colours in panels (b) and (c), respectively; the vertical line (grey) at $ \vartheta_{{\rm{o}}} = 0.5 $ represents the discontinuity for $ A = 1 $, and the shaded unit square (green) in panel (c) represents $ \mathbb{S}^1 \times \mathbb{S}^1 $

    Figure 2.  Directional resets of system (7) with $ \varepsilon = 0 $ at $ \gamma_{0.125} $ for $ A = 0.5 $, $ A = 1 $, and $ A = 1.5 $ with $ \boldsymbol{d} = [\cos{(2 \pi\, \varphi_{{\rm{d}}})}, \, \sin{(2 \pi\, \varphi_{{\rm{d}}})}] $ and $ \varphi_{{\rm{d}}} \in \mathbb{S}^1 $. Panel (a) shows $ \Gamma $ (black) and the three perturbation sets $ C_{0.5} $ (orange), $ C_{1} $ (red), and $ C_{1.5} $ (purple) centred at $ C_0 = \gamma_{0.125} $ (black dot) together with 20 isochrons uniformly distributed in phase, coloured from 0 (cyan) to 1 (dark blue). The resulting DTCs in matching colours are shown in the $ ( \varphi_{{\rm{d}}}, \vartheta_{{\rm{n}}}) $-plane in panel (b) and on the torus in panel (c); the discontinuity for $ A = 1 $ occurs at $ \varphi_{{\rm{d}}} = 0.625 $ (grey line). Compare with Fig. 1

    Figure 3.  Resetting surface $ \mathrm{graph}{( \mathcal{P}_A)} $ of system (7) with $ \varepsilon = 0 $ for $ A = 0.5 $ in panel (a), $ A = 1 $ in panel (b), and $ A = 1.5 $ in panel (c), shown in $ ( \vartheta_{{\rm{o}}}, \varphi_{{\rm{d}}}, \vartheta_{{\rm{n}}}) $-space for $ \vartheta_{{\rm{n}}} \in [-1.5, 1.5] $ with the corresponding DTCs for $ \vartheta_{{\rm{o}}} = 0.125 $, labelled $ C_{0.5} $ (orange), $ C_{1} $ (red), and $ C_{1.5} $ (purple), respectively

    Figure 4.  Resetting surface of system (7) with $ \varepsilon = 0 $ for fixed $ \vartheta_{{\rm{o}}} = 0.125 $. Shown in panel (a) are two copies of the surface in $ ( \varphi_{{\rm{d}}}, A, \vartheta_{{\rm{n}}}) $-space over the range $ \vartheta_{{\rm{n}}} \in [-0.5, 1.5] $, as well as the corresponding three DTCs for $ A = 0.5 $, $ A = 1 $ and $ A = 1.5 $. The surface is discontinuous at the vertical line $ \{ \varphi_{{\rm{d}}} = 0.625, \, A = 1 \} $ (grey); compare with Fig. 2(b). Panel (b) shows the associated isochron surface in $ (x, y, \vartheta) $-space near $ \boldsymbol{0} $ over the range $ \vartheta \in [-0.5, 1.5] $, with the 20 straight isochrons from Fig. 2(a)

    Figure 5.  Phase resets with $ \boldsymbol{d} = [1, 0] $ for $ A = 0.5 $, $ A = 1 $, and $ A = 1.5 $ in Winfree's model (7) with $ \varepsilon = -1 $. Panel (a) shows $ \Gamma $ (black), 20 isochrons uniformly distributed in phase, coloured from 0 (cyan) to 1 (dark blue), and $ \Gamma_{0.5} $ (orange), $ \Gamma_{1} $ (red), and $ \Gamma_{1.5} $ (purple). The resulting PRCs and PTCs are shown in matching colours in panels (b) and (c), respectively; the discontinuity for $ A = 1 $ occurs at $ \vartheta_{{\rm{o}}} = 0.5 $, and the shaded unit square (green) in panel (c) represents $ \mathbb{S}^1 \times \mathbb{S}^1 $. Compare with Fig. 1

    Figure 6.  Directional resets of system (7) with $ \varepsilon = -1 $ at $ \gamma_{0.125} $ for $ A = 0.5 $, $ A = 1 $, and $ A = 1.5 $. Panel (a) shows $ \Gamma $ (black) with 20 isochrons uniformly distributed in phase, coloured from 0 (cyan) to 1 (dark blue), and $ C_0 = \gamma_{0.125} $ (black dot), $ C_{0.5} $ (orange), $ C_{1} $ (red), and $ C_{1.5} $ (purple). The resulting DTCs in matching colours are shown in the $ ( \varphi_{{\rm{d}}}, \vartheta_{{\rm{n}}}) $-plane in panel (b) and on the torus in panel (c); the discontinuity for $ A = 1 $ occurs at $ \varphi_{{\rm{d}}} = 0.625 $. Compare with Figs. 2 and 5

    Figure 7.  Resetting surface $ \mathrm{graph}{( \mathcal{P}_A)} $ of system (7) with $ \varepsilon = -1 $ for $ A = 0.5 $ in panel (a), $ A = 1 $ in panel (b), and $ A = 1.5 $ in panel (c), shown in $ ( \vartheta_{{\rm{o}}}, \varphi_{{\rm{d}}}, \vartheta_{{\rm{n}}}) $-space for $ \vartheta_{{\rm{n}}} \in [-1.5, 1.5] $ with the corresponding DTCs for $ \vartheta_{{\rm{o}}} = 0.125 $; compare with Fig. 3

    Figure 8.  Resetting surface of system (7) with $ \varepsilon = -1 $ for fixed $ \vartheta_{{\rm{o}}} = 0.125 $, shown in panel (a) in $ ( \varphi_{{\rm{d}}}, A, \vartheta_{{\rm{n}}}) $-space with the three DTCs for $ A = 0.5 $, $ A = 1 $ and $ A = 1.5 $ from Fig. 6. Panel (b) shows the associated isochron surface in $ (x, y, \vartheta) $-space near $ \boldsymbol{0} $, with the 20 spiralling isochrons from Fig. 6(a). Compare with Fig. 4

    Figure 9.  First twin tangency for $ 0 < A < 1 $ of the DTC with $ \vartheta_{{\rm{o}}} = 0.125 $ of system (7) with $ \varepsilon = -1 $. Panel (a) shows $ \Gamma $ (black) with $ C_0 = \gamma_{0.125} $ (black dot) and the perturbation sets $ C_A $ for $ A = 0.7908 $ (orange), $ A = 0.8408 $ (magenta), and $ A = 0.8908 $ (purple), which have tangencies, respectively, with the isochrons $ I_{0.2658} $ (navy) and $ I_{0.5101} $ (brown), with $ I_{0.2738} $ (olive) twice, and with $ I_{0.2818} $ (dark green) and $ I_{0.8184} $ (light green); the tangency points are marked. Panel (b1) shows the corresponding DTCs for $ \vartheta_{{\rm{n}}} \in \mathbb{R} $, and the highlighted rectangle is enlarged in panel (b2); here the unit square (green shading) represents $ \mathbb{S}^1 \times \mathbb{S}^1 $, and the $ \vartheta_{{\rm{n}}} $-values of the extrema of the DTCs as indicated by horizontal lines (black)

    Figure 10.  The second and third twin tangencies for $ 0 < A < 1 $ of the DTC with $ \vartheta_{{\rm{o}}} = 0.125 $ of system (7) with $ \varepsilon = -1 $. Panels (a) and (c) show $ C_A $ (magenta) and the twin tangency isochron (olive) with $ k = 2 $ at $ A = 0.9201 $, and with $ k = 3 $ at $ A = 0.9468 $, respectively; panels (b1) and (d1) and the enlargements in panels (b2) and (d2) show the corresponding DTCs on the unit square representing $ \mathbb{S}^1 \times \mathbb{S}^1 $

    Figure 11.  Twin tangencies for $ A > 1 $ of the DTC with $ \vartheta_{{\rm{o}}} = 0.125 $ of system (7) with $ \varepsilon = -1 $, shown in the style of Fig. 10 for $ \ell = 3 $ at $ A = 1.0458 $ in panels (a) and (b), and for $ \ell = 2 $ at $ A = 1.0645 $ in panels (c) and (d)

    Figure 12.  Last twin tangency for $ A > 1 $ of the DTC with $ \vartheta_{{\rm{o}}} = 0.125 $ of system (7) with $ \varepsilon = -1 $, where $ C_A = {1.1092} $ is tangent twice to $ I_{0.3175} $ (olive), which is shown with $ C_A $ for $ A = 1.1092 \pm 0.03 $ in the style of Fig. 9

    Figure 13.  Transition through a cubic tangency at $ A = 1.1092 $ of the DTC with $ \vartheta_{{\rm{o}}} = 0.125 $ of system (7) with $ \varepsilon = -1 $. Shown in panel (a1) and the enlargement panel (a2) are $ \Gamma $ (black), 20 isochrons uniformly distributed in phase, $ C_0 = \gamma_{0.125} $, the perturbations sets $ C_A $ for $ A = 1.3 $ (orange), $ A = 1.4931 $ (magenta), and $ A = 1.7 $ (purple), and additional isochrons that have tangencies with them. Panel (b) shows the corresponding DTCs in matching colours for $ \vartheta_{{\rm{n}}} \in \mathbb{R} $, where the unit square (shaded green) represents $ \mathbb{S}^1 \times \mathbb{S}^1 $ and the horizontal lines (black) indicate extrema

    Figure 14.  Periodic orbit $ \Gamma $ and isochron geometry of the Van der Pol system (14) with $ \mu = 1 $. Panel (a) shows $ \Gamma $ (black) with 12 isochrons evenly distributed in phase. Panel (b) shows the critical transition amplitude $ A_{{\rm{c}}} $ as a function of $ \vartheta_{{\rm{o}}} $, and panel (c) shows it as a function of the angle $ \varphi_{{\rm{d}}} $ of the associated direction $ \boldsymbol{d}( \varphi_{{\rm{d}}}) $

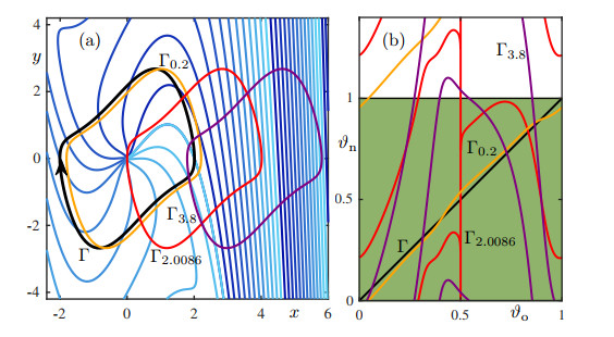
    Figure 15.  Phase resets with $ \boldsymbol{d} = [1, 0] $ for $ A = 0.2 $, $ A = A_{{\rm{c}}} \approx 2.0086 $, and $ A = 3.8 $ in the Van der Pol system (14) with $ \mu = 1 $. Panel (a) shows $ \Gamma $ (black), 12 isochrons uniformly distributed in phase, coloured from 0 (cyan) to 1 (dark blue), and $ \Gamma_{0.2} $ (orange), $ \Gamma_{2.0086} $ (red), and $ \Gamma_{3.8} $ (purple). The resulting PTCs are shown in matching colours in panel (b); the discontinuity for $ A = A_{{\rm{c}}} $ is at $ \vartheta_{{\rm{o}}} = 0.5 $, and the shaded unit square (green) represents $ \mathbb{S}^1 \times \mathbb{S}^1 $

    Figure 16.  Directional resets of system (14) with $ \mu = 1 $ at $ \gamma_{0} $ for $ A = 0.5 $, $ A = A_{{\rm{c}}} \approx 2.0086 $, and $ A = 3.5 $. Panel (a) shows $ \Gamma $ (black), 12 isochrons uniformly distributed in phase, coloured from 0 (cyan) to 1 (dark blue), and $ C_0 = \gamma_{0} $ (black dot) $ C_{0.5} $ (orange), $ C_{2.0086} $ (red), and $ C_{3.5} $ (purple). The resulting DTCs in matching colours are shown in the $ ( \varphi_{{\rm{d}}}, \vartheta_{{\rm{n}}}) $-plane in panel (b); the discontinuity for $ A = A_{{\rm{c}}} $ is at $ \varphi_{{\rm{d}}} = 0.625 $. Compare with Fig. 15

    Figure 17.  Resetting surface $ \mathrm{graph}{( \mathcal{P}_A)} $ of system (14) with $ \mu = 1 $, shown in $ ( \vartheta_{{\rm{o}}}, \varphi_{{\rm{d}}}, \vartheta_{{\rm{n}}}) $-space for $ \vartheta_{{\rm{n}}} \in [-2, 1.5] $. Panel (a) is for $ A = 1.3 $, (b) for $ A = 1.5317 $, (c) for $ A = 2 $, (d) for $ A = 2.3 $, (e) for $ A = 2.8299 $, and (f) for $ A = 3 $. Vertical lines (grey) represent the singularities $ f_1 $ and $ f_1^* $ in (b), $ s_1 $, $ s_2 $, $ s_1^* $, $ s_2^* $ in (c) and (d), and $ f_2 $ and $ f_2^* $ in (e); see Fig. 14(b) and (c), and compare with Fig. 7

    Figure 18.  Enlargement of $ {\rm{graph}}( \mathcal{P}_A) $ for $ A = 2 $ from Fig. 17(c) near the singularities $ s_1 $ and $ s_2 $ (grey vertical lines), shown for $ \vartheta_{{\rm{o}}} \in [-0.12, 0.48] $, $ \varphi_{{\rm{d}}} \in [0.05, 0.65] $ and $ \vartheta_{{\rm{n}}} \in [-1.9, 0.7] $. Anticlockwise loops around either $ s_1 $ or $ s_2 $ in the $ ( \vartheta_{{\rm{o}}}, \varphi_{{\rm{d}}}) $-plane lift, respectively, to downward and upward helices on $ {\rm{graph}}( \mathcal{P}_A) $ (red curves), while loops around both $ s_1 $ and $ s_2 $ lift to closed loops on $ {\rm{graph}}( \mathcal{P}_A) $ (blue curves)

    Figure 19.  Resetting surface of system (14) with $ \mu = 1 $ for fixed $ \vartheta_{{\rm{o}}} = 0 $, shown in panel (a) in $ ( \varphi_{{\rm{d}}}, A, \vartheta_{{\rm{n}}}) $-space with the DTCs for $ A = 0.5 $, $ A = 2.0086 $ and $ A = 3.5 $ from Fig. 16. Panel (b) shows the associated isochron surface in $ (x, y, \vartheta) $-space near $ \boldsymbol{0} $, with the 12 spiralling isochrons from Fig. 14(a). Compare with Fig. 8

    Figure 20.  Twin tangency at which the DTC for $ \vartheta_{{\rm{o}}} = 0 $ of system (14) with $ \mu = 1 $ becomes surjective, and nearby cubic tangency. Panel (a) shows in the $ (x, y) $-plane that $ C_{1.8444} $ (magenta) has two tangencies with $ I_{0.3021} $ (olive), and $ C_{1.623} $ (orange) has a cubic tangency with $ I_{0.9731} $ (brown). The corresponding DTCs are shown in the $ ( \varphi_{{\rm{d}}}, \vartheta_{{\rm{n}}}) $-plane in panel (b)

    Figure 21.  DTCs for $ \vartheta_{{\rm{o}}} = 0 $ of system (14) with $ \mu = 1 $ extremely close to and on either side of the critical transition value $ A_{{\rm{c}}} $. Panel (a) shows the DTC in the $ ( \varphi_{{\rm{d}}} , \vartheta_{{\rm{n}}}) $-plane for $ A = 2.00861986 $ just before the first twin tangency with $ k = 1 $, and panel (b) shows it for $ A = 2.00861987 $ at the last twin tangency with $ \ell = 1 $. Compare with Fig. 9(b1) and Fig. 12(b1), respectively

    Figure 22.  Schematic of the BVP setup with the periodic orbit $ \Gamma $ (black) of the Van der Pol system (14) with $ \mu = 1 $, showing the orbit segment $ \boldsymbol{u} $ (magenta) with begin point $ \boldsymbol{u}(0) = \gamma_{ \vartheta_{{\rm{o}}}} + A \, \boldsymbol{d}( \varphi_{{\rm{d}}}) $ (here for $ \vartheta_{{\rm{o}}} = 0.5 $, $ \varphi_{{\rm{d}}} = 0 $ and $ A \approx 1.8871 $) and end point $ \boldsymbol{u}(1) $ on the stable vector $ \mathbf{v}_{ \vartheta_{{\rm{n}}}} $ (blue) at $ \gamma_{ \vartheta_{{\rm{n}}}} $ (here for $ \vartheta_{{\rm{n}}} = 0.15 $), and the orbit segment $ \boldsymbol{w} $ (grey) with $ \boldsymbol{w}(0) = \gamma_{0} $ and $ \boldsymbol{w}(1) = \gamma_{ \vartheta_{{\rm{n}}}} $

  • [1] V. I. ArnoldSingularity Theory, Cambridge University Press, 2013. 
    [2] J. Bélair, Periodic pulsatile stimulation of a nonlinear oscillator, J. Math. Biology, 24 (1986), 217-232.  doi: 10.1007/BF00276000.
    [3] E. BrownJ. Moehlis and P. Holmes, On the phase reduction and response dynamics of neural oscillator populations, Neural Comput., 16 (2004), 673-715.  doi: 10.1162/089976604322860668.
    [4] O. Castejón and A. Guillamon, Phase-amplitude dynamics in terms of extended response functions: Invariant curves and Arnold tongues, Commun. Nonlinear Sci. Numer. Simul., 81 (2020), 105008.  doi: 10.1016/j.cnsns.2019.105008.
    [5] O. Castejón, A. Guillamon and G. Huguet, Phase-amplitude response functions for transient-state stimuli, J. Math. Neurosci., 3 (2013), Art. 13, 26 pp. doi: 10.1186/2190-8567-3-13.
    [6] R. CestnikE. T. K. Mau and M. Rosenblum, Inferring oscillator's phase and amplitude response from a scalar signal exploiting test stimulation, New J. Phys., 24 (2022), 123012.  doi: 10.1088/1367-2630/aca70a.
    [7] H. Dankowicz and F. Schilder, Recipes for Continuation, SIAM, Philadelphia PA, 2013. doi: 10.1137/1.9781611972573.
    [8] M. Demazure, Bifurcations and Catastrophes: Geometry of Solutions to Nonlinear Problems, Springer-Verlag, 2000. doi: 10.1007/978-3-642-57134-3.
    [9] E. J. Doedel, AUTO, a program for the automatic bifurcation analysis of autonomous systems, Congr. Numer., 30 (1981), 265-284. 
    [10] E. J. Doedel, AUTO-07P: Continuation and Bifurcation Software for Ordinary differential equations, with major contributions from A. R. Champneys, T. F. Fairgrieve, Yu. A. Kuznetsov, B. E. Oldeman, R. C. Paffenroth, B. Sandstede, X. J. Wang and C. Zhang, Concordia University, 2007; available at http://cmvl.cs.concordia.ca/auto/.
    [11] E. J. DoedelB. W. KooiG. A. K. van Voorn and Yu. A. Kuznetsov, Continuation of connecting orbits in 3D-ODEs (I): Point-to-cycle connections, Int. J. Bifurcat. Chaos, 18 (2008), 1889-1903.  doi: 10.1142/S0218127408021439.
    [12] J. L. A. Dubbeldam and B. Krauskopf, Self-pulsations of lasers with saturable absorber: Dynamics and bifurcations, Opt. Commun., 159 (1999), 325-338.  doi: 10.1016/S0030-4018(98)00568-9.
    [13] G. B. Ermentrout, Type I membranes, phase resetting curves, and synchrony, Neural Comput., 8 (1996), 979-1001.  doi: 10.1162/neco.1996.8.5.979.
    [14] G. B. ErmentroutL. Glass and B. E. Oldeman, The shape of phase-resetting curves in oscillators with a saddle node on an invariant circle bifurcation, Neural Comput., 24 (2012), 3111-3125.  doi: 10.1162/NECO_a_00370.
    [15] G. B. Ermentrout and D. H. Terman, Mathematical Foundations of Neuroscience, Interdisciplinary Applied Mathematics 35, Springer-Verlag, 2010. doi: 10.1007/978-0-387-87708-2.
    [16] P. A. Fletcher, F. Clément, A. Vidal, J. Tabak and R. Bertram, Interpreting frequency responses to dose-conserved pulsatile input signals in simple cell signaling motifs, PLoS ONE, 9 (2014), e95613. doi: 10.1371/journal.pone.0095613.
    [17] R. F. GalánG. B. Ermentrout and N. N. Urban, Efficient estimation of phase-resetting curves in real neurons and its significance for neural-network modeling, Phys. Rev. Lett., 94 (2005), 158101.  doi: 10.1103/PhysRevLett.94.158101.
    [18] L. Glass and A. T. Winfree, Discontinuities in phase-resetting experiments, Am. J. Physiol. Regul. Integr. Comp. Physiol., 246 (1984), R251-R258. doi: 10.1152/ajpregu.1984.246.2.R251.
    [19] H. GonzálezH. Arce and M. R. Guevara, Phase resetting, phase locking, and bistability in the periodically driven saline oscillator: Experiment and model, Physical Review E, 78 (2008), 036217.  doi: 10.1103/PhysRevE.78.036217.
    [20] J. Guckenheimer, Isochrons and phaseless sets, J. Math. Biol., 1 (1975), 259-273.  doi: 10.1007/BF01273747.
    [21] M. R. GuevaraL. Glass and A. Shrier, Phase locking, period-doubling bifurcations, and irregular dynamics in periodically stimulated cardiac cells, Science, 214 (1981), 1350-1353.  doi: 10.1126/science.7313693.
    [22] M. R. Guevara, A. Shrier and L. Glass, Phase resetting of spontaneously beating embryonic ventricular heart cell aggregates, Am. J. Physiol. Heart and Circulatory Physiol., 251 (1986), H1298-H1305. doi: 10.1152/ajpheart.1986.251.6.H1298.
    [23] A. Guillamon and G. Huguet, A computational and geometric approach to phase resetting curves and surfaces, SIAM J. Appl. Dyn. Syst., 8 (2009), 1005-1042.  doi: 10.1137/080737666.
    [24] J. HannamB. Krauskopf and H. M. Osinga, Global isochrons of a planar system near a phaseless set with saddle equilibria, The European Physical Journal–Special Topics, 225 (2016), 2645-2654.  doi: 10.1140/epjst/e2016-60072-4.
    [25] J. Hannam, B. Krauskopf and H. M. Osinga, Isochron foliations and global bifurcations: A case study, Trans. Math. Appl., 6 (2022), tnac002. doi: 10.1093/imatrm/tnac002.
    [26] J. Hannam, B. Krauskopf and H. M. Osinga, Global manifolds of saddle periodic orbits parametrised by isochrons, in S. Olaru, S. Elaydi, J. Cushing and R. Lozi (Eds.), Difference Equations, Discrete Dynamical Systems and Applications, Springer-Verlag, 2024,143-174. doi: 10.1007/978-3-031-51049-6_8.
    [27] D. HanselG. Mato and C. Meunier, Synchrony in excitatory neural networks, Neural Comput., 7 (1995), 307-337.  doi: 10.1162/neco.1995.7.2.307.
    [28] A. L. Hodgkin, The local electric changes associated with repetitive action in a non-modulated axon, J. Physiol., 107 (1948), 165-181.  doi: 10.1113/jphysiol.1948.sp004260.
    [29] G. Huguet and R. de la Llave, Computation of limit cycles and their isochrons: Fast algorithms and their convergence, SIAM J. Appl. Dyn. Syst., 12 (2013), 1763-1802.  doi: 10.1137/120901210.
    [30] M. Kawato and R. Suzuki, Biological oscillators can be stopped–Topological study of a phase response curve, Biol. Cybern., 30 (1978), 241-248.  doi: 10.1007/BF00361045.
    [31] S. B. S. KhalsaM. E. JewettC. Cajochen and C. A. Czeisler, A phase response curve to single bright light pulses in human subjects, J. Physiol., 549 (2003), 945-952.  doi: 10.1113/jphysiol.2003.040477.
    [32] B. Krauskopf and H. M. Osinga, Computing invariant manifolds via the continuation of orbit segments, Numerical Continuation Methods for Dynamical Systems (eds. B. Krauskopf, H. M. Osinga and J. Galán-Vioque), Springer-Verlag, 2007,117-154. doi: 10.1007/978-1-4020-6356-5_4.
    [33] T. Krogh-MadsenL. GlassE. J. Doedel and M. R. Guevara, Apparent discontinuities in the phase-resetting response of cardiac pacemakers, J. Theor. Biol., 230 (2004), 499-519.  doi: 10.1016/j.jtbi.2004.03.027.
    [34] P. LangfieldB. Krauskopf and H. M. Osinga, Solving Winfree's puzzle: The isochrons in the FitzHugh–Nagumo model, Chaos, 24 (2014), 013131.  doi: 10.1063/1.4867877.
    [35] P. LangfieldB. Krauskopf and H. M. Osinga, Forward-time and backward-time isochrons and their interactions, SIAM J. Appl. Dyn. Syst., 14 (2015), 1418-1453.  doi: 10.1137/15M1010191.
    [36] P. Langfield, B. Krauskopf and H. M. Osinga, A continuation approach to computing phase resetting curves, Advances in Dynamics, Optimization and Computation (eds. O. Junge, O. Schütze, G. Froyland S. Ober-Blöbaum and K. Padberg-Gehle), Springer-Verlag, 2020, 3-30.
    [37] B. MongaD. WilsonT. Matchen and J. Moehlis, Phase reduction and phase-based optimal control for biological systems: A tutorial, Biol. Cybern., 113 (2019), 11-46.  doi: 10.1007/s00422-018-0780-z.
    [38] H. Nakao, Phase reduction approach to synchronisation of nonlinear oscillators, Contemp. Phys., 57 (2016), 188-214.  doi: 10.1080/00107514.2015.1094987.
    [39] A. N. NicholsonM. B. SpencerP. A. PascoeB. M. StoneT. Roehrs and T. Roth, Sleep after transmeridian flights, Lancet, 328 (1986), 1205-1208.  doi: 10.1016/S0140-6736(86)92207-5.
    [40] H. M. Osinga and J. Moehlis, Continuation-based computation of global isochrons, SIAM J. Appl. Dyn. Syst., 9 (2010), 1201-1228.  doi: 10.1137/090777244.
    [41] K. OtaM. Nomura and T. Aoyagi, Weighted spike-triggered average of a fluctuating stimulus yielding the phase response curve, Phys. Rev. Lett., 103 (2009), 024101.  doi: 10.1103/PhysRevLett.103.024101.
    [42] K. OtaT. OmoriS. WatanabeH. MiyakawaM. Okada and T. Aonishi, Measurement of infinitesimal phase response curves from noisy real neurons, Phys. Rev. E, 84 (2011), 041902.  doi: 10.1103/PhysRevE.84.041902.
    [43] R. G. PaccosiA. Figliola and J. Galán-Vioque, A bifurcation approach to the synchronization of coupled Van der Pol oscillators, SIAM J. Appl. Dyn. Syst., 13 (2014), 1152-1167.  doi: 10.1137/130926602.
    [44] J. Palis and W. de Melo, Geometric Theory of Dynamical Systems, Springer-Verlag, 1982. doi: 10.1007/978-1-4612-5703-5.
    [45] A. Pérez-CerveraT. M. Seara and G. Huguet, A geometric approach to phase response curves and its numerical computation through the parameterization method, J. Nonlinear Sci., 29 (2019), 2877-2910.  doi: 10.1007/s00332-019-09561-4.
    [46] B. Pietras and A. Daffertshofer, Network dynamics of coupled oscillators and phase reduction techniques, Phys. Rep., 819 (2019), 1-105.  doi: 10.1016/j.physrep.2019.06.001.
    [47] Z. PlainM. VoliotisC. A. McArdle and K. Tsaneva-Atanasova, Modelling KNDy neurons and gonadotropin-releasing hormone pulse generation, Current Opinion in Endocrine and Metabolic Research, 27 (2022), 100407.  doi: 10.1016/j.coemr.2022.100407.
    [48] T. Poston and I. Stewart, Catastrophe Theory and its Applications, Dover Publications, Mineola, NY, 1996.
    [49] J. Rankin, J. J. Walker, R. Windle, S. T. Lightman and J. R. Terry, Characterizing dynamic interactions between ultradian glucocorticoid rhythmicity and acute stress using the phase response curve, PLoS ONE, 7 (2012), e30978. doi: 10.1371/journal.pone.0030978.
    [50] N. W. Schultheiss, A. A. Prinz and R. J. Butera (Eds.), Phase Response Curves in Neuroscience: Theory, Experiment, and Analysis, (NEUROSCI, volume 6) Springer-Verlag, 2012. doi: 10.1007/978-1-4614-0739-3.
    [51] J. V. SternH. M. OsingaA. LeBeau and A. Sherman, Resetting behavior in a model of bursting in secretory pituitary cells: Distinguishing plateaus from pseudo-plateaus, Bull. Math. Biol., 70 (2008), 68-88.  doi: 10.1007/s11538-007-9241-x.
    [52] P. A. Tass, Phase Resetting in Medicine and Biology: Stochastic Modelling and Data Analysis, , Springer-Verlag, 1999. doi: 10.1007/978-3-540-38161-7.
    [53] T. Tateno and H. P. C. Robinson, Phase resetting curves and oscillatory stability in interneurons of rat somatosensory cortex, Biophys. J., 92 (2007), 683-695.  doi: 10.1529/biophysj.106.088021.
    [54] B. van der Pol, A theory of the amplitude of free and forced triode vibrations, Radio Rev., 1 (1920), 701-710. 
    [55] B. van der Pol, On relaxation oscillations, Lond. Edinb. Dublin Philos. Mag. J. Sci., 2 (1926), 978-992.  doi: 10.1080/14786442608564127.
    [56] B. van der Pol, The nonlinear theory of electric oscillations, Proc. Inst. Radio Eng., 22 (1934), 1051-1086.  doi: 10.1109/JRPROC.1934.226781.
    [57] J. WaterhouseT. ReillyG. Atkinson and B. Edwards, Jet lag: trends and coping strategies, Lancet, 369 (2007), 1117-1129.  doi: 10.1016/S0140-6736(07)60529-7.
    [58] K. C. A. WedgwoodK. K. LinR. Thul and S. Coombes, Phase-amplitude descriptions of neural oscillator models, J. Math. Neurosci., 3 (2013), 2.  doi: 10.1186/2190-8567-3-2.
    [59] A. T. Winfree, Time and timelessness in biological clocks, in J. Urquhart, F. E. Yates (eds), Temporal Aspects of Therapeutics, ALZA Conference Series, Springer-Verlag, 2 (1973), 35-49. doi: 10.1007/978-1-4684-2847-6_4.
    [60] A. T. Winfree, Patterns of phase compromise in biological cycles, J. Math. Biol., 1 (1974), 73-95.  doi: 10.1007/BF02339491.
    [61] A. T. Winfree, The Geometry of Biological Time, 2nd ed., Springer-Verlag, 2001. doi: 10.1007/978-1-4757-3484-3.
    [62] M. Yamada, A theoretical analysis of self-sustained pulsation phenomena in narrow stripe semiconductor lasers, IEEE J. Quantum Electron., 29 (1993), 1330-1336.  doi: 10.1109/3.236146.
  • 加载中

Figures(22)

SHARE

Article Metrics

HTML views(2260) PDF downloads(251) Cited by(0)

Access History

Catalog

    /

    DownLoad:  Full-Size Img  PowerPoint
    Return
    Return