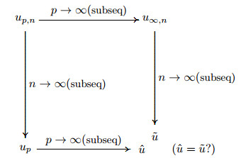
We study two obstacle problems involving the p-Laplace operator in domains with n-th pre-fractal and fractal boundary. We perform asymptotic analysis for $p \to \infty $ and $n \to \infty $ .
| Citation: |
| [1] |
G. Aronsson, M. G. Crandall and P. Juutinen, A tour of the theory of absolutely minimizing functions, Bull. Amer. Math. Soc. (N.S.), 41 (2004), 439-505.
doi: 10.1090/S0273-0979-04-01035-3.
|
| [2] |
J. W. Barrett and W. B Liu, Finite element approximation of the p-Laplacian, Math. Comp., 61 (1993), 523-537.
doi: 10.2307/2153239.
|
| [3] |
T. Bhattacharya, E. DiBenedetto and J. Manfredi, Limits as $p \to + \infty $ of ${\Delta _p}{u_p} = f$ and related extremal problems, Some Topics in Nonlinear PDEs (Turin, 1989), Rend. Sem. Mat. Univ. Politec. Torino 1989, Special Issue, 15-68 (1991).
|
| [4] |
F. Camilli, R. Capitanelli and M. A. Vivaldi, Absolutely minimizing Lipschitz extensions and infinity harmonic functions on the Sierpinski gasket, Nonlinear Anal., 163 (2017), 71-85.
doi: 10.1016/j.na.2017.07.005.
|
| [5] |
R. Capitanelli, Asymptotics for mixed Dirichlet-Robin problems in irregular domains, J. Math. Anal. Appl., 362 (2010), 450-459.
doi: 10.1016/j.jmaa.2009.09.042.
|
| [6] |
R. Capitanelli and M. A. Vivaldi, Dynamical Quasi-Filling Fractal Layers, SIAM J. Math. Anal., 48 (2016), 3931-3961.
doi: 10.1137/15M1043893.
|
| [7] |
R. Capitanelli and M. A. Vivaldi, FEM for quasilinear obstacle problems in bad domains, ESAIM Math. Model. Numer. Anal., 51 (2017), 2465-2485.
doi: 10.1051/m2an/2017033.
|
| [8] |
J. I. Diaz, Nonlinear Partial Differential Equations and Free Boundaries, Vol. Ⅰ. Elliptic equations. Research Notes in Mathematics. 106. Pitman, Boston, MA, 1985.
|
| [9] |
L. C. Evans and W. Gangbo, Differential equations methods for the Monge-Kantorovich mass transfer problem, Mem. Amer. Math. Soc., 137 (1999), ⅷ+66 pp.
doi: 10.1090/memo/0653.
|
| [10] |
D. S. Grebenkov, M. Filoche and B. Sapoval, Mathematical basis for a general theory of Laplacian transport towards irregular interfaces, Phys. Rev. E, 73 (2006), 021103, 9pp.
doi: 10.1103/PhysRevE.73.021103.
|
| [11] |
J. E. Hutchinson, Fractals and selfsimilarity, Indiana Univ. Math. J, 30 (1981), 713-747.
doi: 10.1512/iumj.1981.30.30055.
|
| [12] |
R. Jensen, Uniqueness of Lipschitz extensions: Minimizing the sup norm of the gradient, Arch. Rational Mech. Anal., 123 (1993), 51-74.
doi: 10.1007/BF00386368.
|
| [13] |
J. M. Mazón, J. D. Rossi and J. Toledo, Mass transport problems for the Euclidean distance obtained as limits of p-Laplacian type problems with obstacles, Journal of Differential Equations, 256 (2014), 3208-3244.
doi: 10.1016/j.jde.2014.01.039.
|
| [14] |
E. J. McShane, Extension of range of functions, Bull. Amer. Math. Soc., 40 (1934), 837-842.
doi: 10.1090/S0002-9904-1934-05978-0.
|
| [15] |
U. Mosco, Convergence of convex sets and solutions of variational inequalities, Adv. Math., 3 (1969), 510-585.
doi: 10.1016/0001-8708(69)90009-7.
|
| [16] |
U. Mosco and M. A. Vivaldi, Layered fractal fibers and potentials, J. Math. Pures Appl. (9), 103 (2015), 1198-1227.
doi: 10.1016/j.matpur.2014.10.010.
|
| [17] |
Y. Peres, O. Schramm, S. Sheffield and D. B. Wilson, Tug-of-war and the infinity Laplacian, J. Amer. Math. Soc., 22 (2009), 167-210.
doi: 10.1090/S0894-0347-08-00606-1.
|
| [18] |
H. L. Royden, Real Analysis, Third edition. Macmillan Publishing Company, New York, 1988.
|
| [19] |
G. M. Troianiello, Elliptic Differential Equations and Obstacle Problems, Springer, 1987.
doi: 10.1007/978-1-4899-3614-1.
|
| [20] |
C. Villani, Optimal Transport. Old and New, Grundlehren der Mathematischen Wissenschaften [Fundamental Principles of Mathematical Sciences], 338. Springer-Verlag, Berlin, 2009.
doi: 10.1007/978-3-540-71050-9.
|