\`x^2+y_1+z_12^34\`
Advanced Search
Article Contents
Article Contents

A lattice Boltzmann study of the thermodynamics of an interaction between two cavitation bubbles

  • *Corresponding author: Haonan Peng and Hao Yuan

    *Corresponding author: Haonan Peng and Hao Yuan 
Abstract / Introduction Full Text(HTML) Figure(17) / Table(3) Related Papers Cited by
  • A two-dimensional double-distribution-function thermal pseudo-potential lattice Boltzmann model is applied to study the inception and evolution processes of cavitation bubbles. The inception process is realized by a high-temperature spot, while the growth and collapse processes are realized through the variation of the boundary pressure. Interactions between two equal-sized bubbles and two unequal-sized bubbles are systematically investigated. A modified Rayleigh–Plesset equation for the two cavitation bubbles that includes a weak interaction and thermal effects is proposed. For the weak interaction mode, the highest collapse temperature is lower than the initial input temperature due to energy dissipation. However, for the strong interaction mode, the maximum temperature is ultimately higher than the initial input temperature due to the superposition of an exothermic process. For the weak interaction mode between two unequal-sized bubbles, when the distance between the two bubbles is small, the re-entrant jets and pressure wave generated by the small bubble cause the inner wall of the large bubble to flatten. For the strong interaction film-thinning mode, the microjets and high pressure generated by the small bubble change the collapse direction of the large bubble.

    Mathematics Subject Classification: Primary: 35Q20; Secondary: 76B10.

    Citation:

    \begin{equation} \\ \end{equation}
  • 加载中
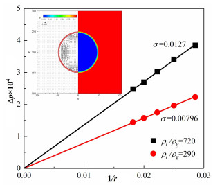
  • Figure 1.  The relationship between the pressure difference $ \Delta p $ and the bubble radius with $ \rho_l/\rho_g = 720 $ and $ 290 $. The inner figure represents the density and velocity distribution after the bubble reaches the equilibrium state

    Figure 2.  A comparison of the thermodynamic curves obtained with the present model and the theoretical solution

    Figure 3.  The relationship between the square of the dimensionless diameter $ (D(t)/D_0)^2 $ and time $ t $

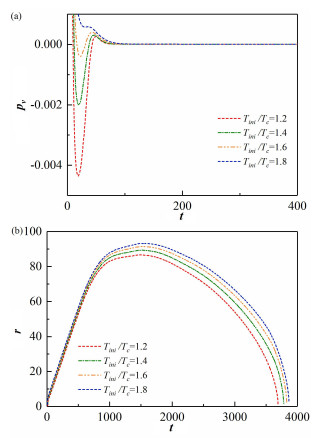
    Figure 4.  The variation of the pressure on the boundary $ p_{\infty} $ versus time $ t $

    Figure 5.  A qualitative comparison between the simulation results and the experimental results for the single cavitation bubble evolution process in an infinite quiescent liquid. (a) Temperature field (right) obtained using the present method, with contour line $ \rho = 0.23 $. (b) The experimental results obtained by Zhang et al. [55]

    Figure 6.  A comparison between the radius obtained using the present model and the R–P prediction

    Figure 7.  The evolution processes of (a) the pressure inside the bubble during the initial growth stage, and (b) the bubble radius with different $ T_{ini} $

    Figure 8.  A comparison of the (a) experimental results reported by Bremond et al. [7] and (b) the SCMP pseudopotential LBM simulation proposed by Peng et al. [39], (c) the macroscopic numerical simulation obtained using the PhantomCloud model [8], (d) the macroscopic numerical simulation obtained using the 3DYNAFS-BEM model [8], and (e) the results obtained with the present LB model

    Figure 9.  A schematic diagram of the two-bubble interaction

    Figure 10.  Snapshots of the bubble morphology and the temperature distribution and comparisons with the experimental results provided by Bremond et al. [6] for (a) the W mode, (b) the SF mode, (c) the SCC mode, and (d) the SGC mode of two equal-sized bubbles interacting with $ T_{ini} = 1.2T_c $. Both the white line and the black line are density contours with $ \rho = 0.25 $. The arrows in parts (c) and (d) represent the collapse direction in the final collapse stage, and the number in the upper right corner of each subfigure represents the dimensionless time

    Figure 11.  The maximum dimensionless temperature evolution processes of different interaction modes with $ T_{ini} = 1.2T_c $

    Figure 12.  Snapshots of the bubble morphology and the temperature distribution for (a) the W mode, (b) the SF mode, (c) the SCC mode, and (d) the SGC mode of interaction between two unequal-sized bubbles. Both the white line and the black line are density contours with $ \rho = 0.25 $. The arrows in the subfigures represent the collapse direction in the final collapse stage, and the number in the upper right corner of each subfigure represents the dimensionless time

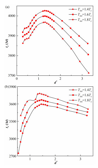
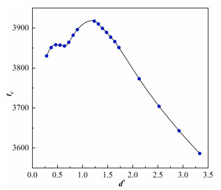
    Figure 13.  The relationship between the lifetime and different dimensionless interval distances $ d^* $ with $ T_{ini} = 1.2T_c $

    Figure 14.  The lifetime of (a) the larger bubble, and (b) the smaller bubble with different initial distances between the two bubbles

    Figure 15.  The range of $ d^* $ and the corresponding interaction modes for two unequal-sized bubbles with different $ T_{ini} $

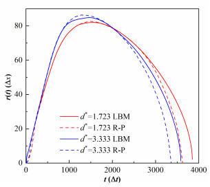
    Figure 16.  A quantitative comparison of the bubble radius evolution processes in the LBM simulation and the R–P prediction with $ d^* = 1.723 $ and $ d^* = 3.333 $

    Figure 17.  A quantitative comparison of the bubble radius evolution processes from the LBM simulation and the R–P prediction for an interaction between two unequal-sized bubbles with $ d^* = 3.301 $. $ r_s $ denotes the radius of the small bubble and $ r_l $ denotes the radius of the large bubble

    Table 1.  The comparison of the dimensionless bubble radius from LBM simulation and experimental study [55]

    $ R/R_{max} $
    LBM $ 400 \Delta t $ $ 1200 \Delta t $ $ 2000 \Delta t $ $ 2530 \Delta t $ $ 2800 \Delta t $
    LBM 0.65 1.00 0.88 0.56 0.14
    Exp $ 25 \mu s $ $ 75 \mu s $ $ 125 \mu s $ $ 158.33 \mu s $ $ 175 \mu s $
    Exp 0.73 1.00 0.96 0.62 0.17
     | Show Table
    DownLoad: CSV

    Table 2.  A comparison between the different cavitation models

    Model type Present Peng et al. [39] 3DY [8] PhC [8]
    Shield effect
    Wall effect ×
    Toroidal shape × ×
    Smooth interface ×
     | Show Table
    DownLoad: CSV

    Table 3.  The range of $ d^* $ and the corresponding interaction modes for two equal-sized bubbles with $ T_{ini} = 1.2T_c $

    $ d^* $ $ 0.28 \leq {d^*} \leq 0.38 $ $ 0.47 \leq {d^*} \leq 0.64 $ $ 0.73 \leq {d^*} \leq 1.23 $ $ 1.31 \leq {d^*} \leq 3.33 $
    Mode SGC SCC SF W
     | Show Table
    DownLoad: CSV
  • [1] M. Abdel-MaksoudD. Hänel and U. Lantermann, Modeling and computation of cavitation in vortical flow, Int. J. Multiphas. Flow, 31 (2010), 1065-1074.  doi: 10.1016/j.ijheatfluidflow.2010.05.010.
    [2] J. BibetteF. Calderon and P. Poulin, Emulsions: Basic principles, Rep. Prog. Phys., 62 (1999), 969-1033.  doi: 10.1088/0034-4885/62/6/203.
    [3] J. Blake and D. Gibson, Cavitation bubbles near boundaries, Annu. Rev. Fluid. Mech., 19 (1987), 99-123.  doi: 10.1146/annurev.fl.19.010187.000531.
    [4] J. BlakeB. Taib and G. Doherty, Transient cavities near boundaries. Part 1. Rigid boundary, J. Fluid. Mech., 170 (1986), 479-497.  doi: 10.1017/S0022112086000988.
    [5] C. Brennen, Cavitation in medicine, Interface Focus, 5 (2015), 20150022.  doi: 10.1098/rsfs.2015.0022.
    [6] N. BremondM. AroraS. Dammer and D. Lohse, Interaction of cavitation bubbles on a wall, Phys. Fluids, 18 (2006), 121505.  doi: 10.1063/1.2396922.
    [7] N. BremondM. AroraC.-D. Ohl and D. Lohse, Controlled multibubble surface cavitation, Phys. Rev. Lett., 96 (2006), 224501.  doi: 10.1103/PhysRevLett.96.224501.
    [8] G. Chahine, C. Hsiao and R. Raju, Scaling of cavitation bubble cloud dynamics on propellers, in Fluid Mechanics and its Applications, Springer, 106 (2014), 345-372. doi: 10.1007/978-94-017-8539-6_15.
    [9] G. ChahineA. KapahiJ.-K. Choi and C.-T. Hsiao, Modeling of surface cleaning by cavitation bubble dynamics and collapse, Ultrason. Sonochem., 29 (2016), 528-549.  doi: 10.1016/j.ultsonch.2015.04.026.
    [10] L. ChenQ. KangY. MuY.-L. He and W.-Q. Tao, A critical review of the pseudopotential multiphase lattice Boltzmann model: Methods and applications, Int. J. Heat Mass Tran., 76 (2014), 210-236.  doi: 10.1016/j.ijheatmasstransfer.2014.04.032.
    [11] Q.-D. Chen and L. Wang, Luminescence from transient cavitation bubbles in water, Phys. Lett. A, 339 (2005), 110-117.  doi: 10.1016/j.physleta.2005.03.029.
    [12] X.-P. ChenC.-W. Zhong and X.-L. Yuan, Lattice Boltzmann simulation of cavitating bubble growth with large density ratio, Comput. Math. Appl., 61 (2011), 3577-3584.  doi: 10.1016/j.camwa.2010.07.018.
    [13] L. W. ChewE. KlaseboerS. -Wan Ohl and B. C. Khoo, Interaction of two oscillating bubbles near a rigid boundary, Exp. Therm. Fluid Sci., 44 (2013), 108-113.  doi: 10.1016/j.expthermflusci.2012.06.003.
    [14] M. DeshpandeJ. Feng and C. L. Merkle, Numerical modeling of the thermodynamic effects of cavitation, J. Fluid. Eng., 119 (1997), 420-427.  doi: 10.1115/1.2819150.
    [15] M. Dular and M. Petkovšek, Cavitation erosion in liquid nitrogen, Wear, 400-401 (2018), 111-118.  doi: 10.1016/j.wear.2018.01.003.
    [16] L. FeiJ. YangY. ChenH. Mo and K.H. Luo, Mesoscopic simulation of three-dimensional pool boiling based on a phase-change cascaded lattice Boltzmann method, Phys. Fluids, 32 (2020), 103312. 
    [17] E. GhahramaniM. Arabnejad and R. Bensow, A comparative study between numerical methods in simulation of cavitating bubbles, Int. J. Multiphas. Flow, 111 (2019), 339-359.  doi: 10.1016/j.ijmultiphaseflow.2018.10.010.
    [18] E. GoncalvesM. Champagnac and R. Patella, Comparison of numerical solvers for cavitating flows, Int. J. Comput. Fluid D., 24 (2010), 201-216.  doi: 10.1080/10618562.2010.521131.
    [19] X. HeH. PengJ. Zhang and Y. Liu, Wall wettability effects on the collapse of the attached vapor cavitation bubble with a thermal lattice Boltzmann method, Int. Commun. Heat Mass, 140 (2023), 106529.  doi: 10.1016/j.icheatmasstransfer.2022.106529.
    [20] X. HeH. PengJ. Zhang and H. Yuan, Multiple vapor cavitation bubble interactions with a thermal lattice Boltzmann method, Ocean Eng., 266 (2022), 113058.  doi: 10.1016/j.oceaneng.2022.113058.
    [21] X. He, H. Peng, J. Zhang and H. Yuan, Thermodynamics of the inception and interactions of multiple laser-produced cavitation bubbles using the lattice Boltzmann method, Comput. Fluids, 252 (2023), Paper No. 105771, 21 pp. doi: 10.1016/j.compfluid.2022.105771.
    [22] X. HeX. SongH. PengW. Huang and J. Zhang, Heat flux characteristics during growth and collapse of wall-attached cavitation bubbles with different wall wettability: A lattice Boltzmann study, Ocean Eng., 276 (2023), 114261.  doi: 10.1016/j.oceaneng.2023.114261.
    [23] X. HeX. SongJ. ZhangH. Peng and S. Zhou, Deciphering surface tension effects of double cavitation bubbles interaction: A lattice Boltzmann study, Int. J. Therm. Sci., 189 (2023), 108266.  doi: 10.1016/j.ijthermalsci.2023.108266.
    [24] X. He, Q. Yang, H. Peng and J. Zhang, Non-condensable gas bubble dissolution with a modified tunable surface tension multicomponent lattice Boltzmann model, Comput. Fluids, 233 (2022), Paper No. 105252, 14 pp. doi: 10.1016/j.compfluid.2021.105252.
    [25] X. HeJ. Zhang and W. Xu, Study of cavitation bubble collapse near a rigid boundary with a multi-relaxation-time pseudo-potential lattice Boltzmann method, AIP Adv., 10 (2020), 035315.  doi: 10.1063/1.5142243.
    [26] X. HeJ. ZhangQ. YangH. Peng and W. Xu, Dissolution process of a single bubble under pressure with a large-density-ratio multicomponent multiphase lattice Boltzmann model, Phys. Rev. E, 102 (2020), 063306.  doi: 10.1103/PhysRevE.102.063306.
    [27] C.-T. HsiaoJ. Ma and G. Chahine, Multiscale tow-phase flow modeling of sheet and cloud cavitation, Int. J. Multiphas. Flow, 90 (2017), 102-117.  doi: 10.1016/j.ijmultiphaseflow.2016.12.007.
    [28] H. Huang, M. Sukop and X.-Y. Lu, Multiphase Lattice Boltzmann Methods: Theory and Application, 1st edition, John Wiley & Sons, Oxford, 2015. doi: 10.1002/9781118971451.
    [29] Z. IzadifarP. Babyn and D. Chapman, Ultrasound cavitation/microbubble detection and medical applications, J. Med. Biol. Eng., 39 (2019), 259-276.  doi: 10.1007/s40846-018-0391-0.
    [30] E. LauerX. HuS. Hickel and N. Adams, Numerical modelling and investigation of symmetric and asymmetric cavitation bubble dynamics, Comput. Fluids, 69 (2012), 1-19.  doi: 10.1016/j.compfluid.2012.07.020.
    [31] W. Lauterborn and H. Bolle, Experimental investigations of cavitation-bubble collapse in the neighbourhood of a solid boundary, J. Fluid. Mech., 72 (1975), 391-399.  doi: 10.1017/S0022112075003448.
    [32] Q. LiK. LuoQ. KangY. HeQ. Chen and Q. Liu, Lattice Boltzmann methods for multiphase flow and phase-change heat transfer, Progress in Energy and Combustion Science, 52 (2016), 62-105.  doi: 10.1016/j.pecs.2015.10.001.
    [33] Q. LiK. Luo and X. Li, Lattice Boltzmann modeling of multiphase flows at large density ratio with an improved pseudopotential model, Phys. Rev. E, 87 (2013), 053301.  doi: 10.1103/PhysRevE.87.053301.
    [34] Q. Li, P. Zhou and H. Yan, Improved thermal lattice Boltzmann model for simulation of liquid-vapor phase change, Phys. Rev. E, 96 (2017), 063303, 12 pp. doi: 10.1103/physreve.96.063303.
    [35] J. Luo and Z. Niu, Jet and shock wave from collapse of two cavitation bubbles, Sci. Rep., 9 (2019), 1352.  doi: 10.1038/s41598-018-37868-x.
    [36] X. LuoB. Ji and Y. Tsujimoto, A review of cavitation in hydraulic machinery, J. Hydrodyn., 28 (2016), 335-358.  doi: 10.1016/S1001-6058(16)60638-8.
    [37] C. PengS. TianG. Li and M. Sukop, Simulation of laser-produced single cavitation bubbles with hybrid thermal Lattice Boltzmann method, Int. J. Heat Mass Tran., 149 (2020), 119163.  doi: 10.1016/j.ijheatmasstransfer.2019.119136.
    [38] C. Peng, S. Tian, G. Li and M. Sukop, Single-component multiphase lattice Boltzmann simulation of free bubble and crevice heterogeneous cavitation nucleation, Phys. Rev. E, 98 (2018), 023305, 11 pp. doi: 10.1103/physreve.98.023305.
    [39] C. PengS. TianG. Li and M. Sukop, Simulation of multiple cavitation bubbles interaction with single-component multiphase Lattice Boltzmann method, Int. J. Heat Mass Tran., 137 (2019), 301-317.  doi: 10.1016/j.ijheatmasstransfer.2019.03.096.
    [40] H. PengX. HeJ. Zhang and Y. Wang, Cavitation bubble collapse between parallel rigid walls with the three-dimensional multi-relaxation time pseudopotential lattice Boltzmann method, AIP Adv., 10 (2020), 105104.  doi: 10.1063/5.0005048.
    [41] H. Peng, J. Zhang, X. He and Y. Wang, Thermal pseudo-potential lattice Boltzmann method for simulating cavitation bubbles collapse near a rigid boundary, Comput. Fluids, 217 (2021), 104817, 12 pp. doi: 10.1016/j.compfluid.2020.104817.
    [42] Y. PengX. HeH. PengY. Lin and J. Zhang, Mesoscopic modeling of vapor cavitation bubbles collapse and interaction in near-wall region with a pseudopotential lattice Boltzmann method, Phys. Fluids, 34 (2022), 092012.  doi: 10.1063/5.0099989.
    [43] A. Philipp and W. Lauterborn, Cavitation erosion by single laser-produced bubbles, J. Fluid. Mech., 361 (1998), 75-116.  doi: 10.1017/S0022112098008738.
    [44] F. Reuter and C. Ohl, Nonspherical collapse of single bubbles near boundaries and in confined spaces, in Cavitation and Bubble Dynamics, Academic Press, 1971, 33-75.
    [45] X. Shan, Pressure tensor calculation in a class of nonideal gas lattice Boltzmann models, Phys. Rev. E, 77 (2008), 066702.  doi: 10.1103/PhysRevE.77.066702.
    [46] X. Shan and H. Chen, Simulation of nonideal gases and liquid-gas phase transitions by the lattice Boltzmann equation, Phys. Rev. E, 49 (1994), 2941-2948.  doi: 10.1103/PhysRevE.49.2941.
    [47] X. Shan and H. Chen, Lattice Boltzmann model for simulating flows with multiple phases and components, Phys. Rev. E, 47 (1993), 1815-1819.  doi: 10.1103/PhysRevE.47.1815.
    [48] M. Sukop and D. Or, Lattice Boltzmann method for homogeneous and heterogeneous cavitation, Phys. Rev. E, 71 (2005), 046703.  doi: 10.1103/PhysRevE.71.046703.
    [49] Y. WangH. PengX. He and J. Zhang, Cavitation bubbles with a tunable-surface-tension thermal lattice Boltzmann model, Phys. Fluids, 34 (2022), 102008.  doi: 10.1063/5.0113500.
    [50] Q. YangX. HeH. Peng and J. Zhang, Wall wettability effect on process of collapse of single cavitation bubbles in near-wall region using pseudo-potential lattice Boltzmann method, Heliyon, 8 (2022), e12636.  doi: 10.1016/j.heliyon.2022.e12636.
    [51] Y. YangM. ShanX. KanY. Shangguan and Q. Han, Thermodynamic of collapsing cavitation bubble investigated by pseudopotential and thermal MRT-LBM, Ultrason. Sonochem., 62 (2020), 104873.  doi: 10.1016/j.ultsonch.2019.104873.
    [52] Y. YangM. ShanN. SuX. KanY. Shangguan and Q. Han, Role of wall temperature on cavitation bubble collapse near a wall investigated using thermal lattice Boltzmann method, Int. Commun. Heat Mass, 134 (2022), 105988.  doi: 10.1016/j.icheatmasstransfer.2022.105988.
    [53] Z. Yu and L.-S. Fan, Multirelaxation-time interaction-potential-based lattice Boltzmann model for two-phase flow, Phys. Rev. E, 82 (2010), 046708.  doi: 10.1103/PhysRevE.82.046708.
    [54] P. Yuan and L. Schaefer, Equations of state in a lattice Boltzmann model, Phys. Fluids, 18 (2006), 042101, 11 pp. doi: 10.1063/1.2187070.
    [55] Y. ZhangF. ChenY. ZhangY. Zhang and X. Du, Experimental investigations of interactions between a laser-induced cavitation bubble and a spherical particle, Exp. Therm. Fluid Sci., 98 (2018), 645-661.  doi: 10.1016/j.expthermflusci.2018.06.014.
    [56] Z. Zhang and H. Zhang, Surface tension effects on the behavior of a cavity growing, collapsing, and rebounding near a rigid wall, Phys. Rev. E, 70 (2004), 056310.  doi: 10.1103/PhysRevE.70.056310.
    [57] Z. Zhang and H. Zhang, Surface tension effects on the behavior of two cavities near a rigid wall, Phys. Rev. E, 71 (2005), 066302.  doi: 10.1103/PhysRevE.71.066302.
    [58] Q. Zou and X. He, On pressure and velocity boundary conditions for the lattice Boltzmann BGK model, Phys. Fluids, 9 (1997), 1591-1598.  doi: 10.1063/1.869307.
  • 加载中

Figures(17)

Tables(3)

SHARE

Article Metrics

HTML views(4196) PDF downloads(771) Cited by(0)

Access History

Other Articles By Authors

Catalog

    /

    DownLoad:  Full-Size Img  PowerPoint
    Return
    Return