\`x^2+y_1+z_12^34\`
Advanced Search
Article Contents
Article Contents

Key ingredients for wall-modeled LES with the Lattice Boltzmann method: Systematic comparison of collision schemes, SGS models, and wall functions on simulation accuracy and efficiency for turbulent channel flow

  • *Corresponding author: Gregorio Gerardo Spinelli

    *Corresponding author: Gregorio Gerardo Spinelli 
Abstract / Introduction Full Text(HTML) Figure(20) / Table(9) Related Papers Cited by
  • In this study, we consider different combinations of collision schemes, wall functions, and subgrid scale (SGS) models to simulate the bi-periodic turbulent channel flow at $ {\mathrm{Re}_\tau} = 1000 $. The study is carried out on a $ D3Q27 $ lattice stencil, where the considered collision schemes are the Multiple Relaxation Times (MRT), the Hybrid Recursive Regularized Bhatnagar-Gross-Krook (HRR), and the parameterized Cumulant scheme. The considered SGS models are the Smagorinsky, the Wall-Adapting Local Eddy-viscosity (WALE), and the Vreman model. The Cumulant scheme utilizes its intrinsic implicit SGS model. The turbulent velocity profile is modeled with the following wall functions: the Reichardt, the Musker, and a combination of the Werner and Wengle and the Schmitt (Power-law) function. To assure an impartial comparison, all these ingredients are implemented in the same infrastructure, the open-source software Musubi. The comparison of the considered wall functions shows that the Musker function offers a good compromise between accuracy and performance. When comparing the considered SGS models, although the WALE model delivers the most accurate results, the Vreman model offers the fastest computation. On average, the parallel performance improves by $ 10 \% $. Amongst the considered collision schemes, the Cumulant outperforms the competitors accuracy-wise. However, for the considered test case, the fastest collision scheme is the MRT. Our investigations show that for the considered test case, the best results in terms of accuracy and performance are delivered by the combination of the Cumulant scheme with its implicit SGS model and the Musker wall function.

    Mathematics Subject Classification: Primary: 76F65; Secondary: 76G25.

    Citation:

    \begin{equation} \\ \end{equation}
  • 加载中
  • Figure 1.  Computational domain for the bi-periodic turbulent channel flow. Walls are indicated in grey

    Figure 2.  Normalized velocity profile along the wall normal direction for the considered domain sizes

    Figure 3.  Normalized Reynolds stress in stream-wise direction along the wall normal direction for the considered domain sizes

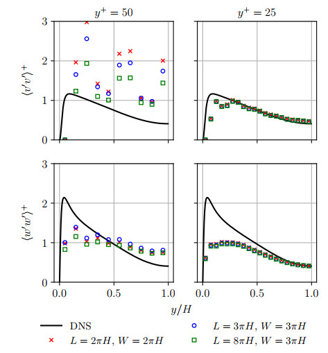
    Figure 4.  Normalized Reynolds stress in lateral and span-wise directions along the wall normal direction for the considered domain sizes

    Figure 5.  Normalized Reynolds shear stress along the wall normal direction for the considered domain sizes

    Figure 6.  Normalized velocity profile along the wall normal direction for the considered wall functions

    Figure 7.  Normalized Reynolds stress in stream-wise direction along the wall normal direction for the considered wall functions

    Figure 8.  Normalized Reynolds stress in lateral and span-wise directions along the wall normal direction for the considered wall functions

    Figure 9.  Normalized Reynolds shear stress along the wall normal direction for the considered wall functions

    Figure 10.  Variation of the $ L2 $-norm of the normalized Reynolds shear stress with respect to the mesh resolution for the considered wall functions

    Figure 11.  Normalized velocity profile along the wall normal direction for the considered SGS models

    Figure 12.  Normalized Reynolds stress in stream-wise direction along the wall normal direction for the considered SGS models

    Figure 13.  Normalized Reynolds stress in lateral and span-wise directions along the wall normal direction for the considered SGS models

    Figure 14.  Normalized Reynolds shear stress along the wall normal direction for the considered SGS models

    Figure 15.  Variation of the $ L2 $-norm of the normalized Reynolds shear stress with respect to the mesh resolution for the considered SGS models

    Figure 16.  Normalized velocity profile along the wall normal direction for the considered collision schemes

    Figure 17.  Normalized Reynolds stress in stream-wise direction along the wall normal direction for the considered collision schemes

    Figure 18.  Normalized Reynolds stress in lateral and span-wise directions along the wall normal direction for the considered collision schemes

    Figure 19.  Normalized Reynolds shear stress along the wall normal direction for the considered collision schemes

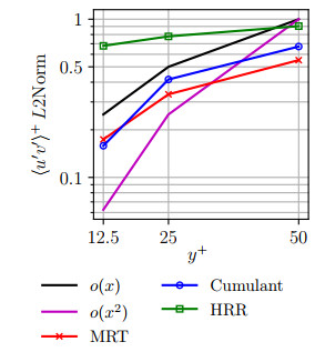
    Figure 20.  Variation of the $ L2 $-norm of the normalized Reynolds shear stress with respect to the mesh resolution for the considered collision schemes

    Table 1.  The lattice weights $ w_i $ and discrete velocities $ \mathit{\boldsymbol{c_i}} $ for the most popular lattice stencils for three dimensions

    Lattice stencil $ i $ $ \mathit{\boldsymbol{c_i}} $ $ w_i $
    $ D3Q19 $ $ 0 $ $ (0,0,0) $ $ 1/3 $
    $ 1-6 $ $ (\pm1,0,0), (0,\pm1,0), (0,0,\pm1) $ $ 1/18 $
    $ 7-18 $ $ (\pm1,\pm1,0), (\pm1,0,\pm1), (0,\pm1,\pm1) $ $ 1/36 $
    $ D3Q27 $ $ 0 $ $ (0,0,0) $ $ 8/27 $
    $ 1-6 $ $ (\pm1,0,0), (0,\pm1,0), (0,0,\pm1) $ $ 2/27 $
    $ 7-18 $ $ (\pm1,\pm1,0), (\pm1,0,\pm1), (0,\pm1,\pm1) $ $ 1/54 $
    $ 19-26 $ $ (\pm1,\pm1,\pm1) $ $ 1/216 $
     | Show Table
    DownLoad: CSV

    Table 2.  Flow parameters and target values for the bi-periodic turbulent channel flow

    Parameter Value Unit
    ${\mathrm{Re}_\tau}$ 1000.0 -
    ${\mathrm{Re}_\mathrm{bulk}}$ 39278.3 -
    ${\mathrm{Ma}}$ 0.1 -
    $ u_m $ 1.0 $ m/s $
    ${u_{\tau}}$ 0.0509 $ m/s $
    $ \nu $ 5.09e-5 $ m^{2}/s $
     | Show Table
    DownLoad: CSV

    Table 3.  Settings for the considered domain sizes, along with turbulent quantities and performance measurements obtained from the simulation with MRT scheme, Vreman SGS model and Musker wall function

    Domain size ${y^+}$ Nr. of cells ${u_{\tau,\mathrm{sim}}}$ ${u_{\tau,\mathrm{err}}}$ ${\mathrm{Re}_{\tau,\mathrm{sim}}}$ ${\mathrm{Re}_{\tau,\mathrm{err}}}$ MLUPs/n
    $ L = 2 \pi H $ 50 76,880 0.0538 $ 5.66 \% $ 1056.0 $ 5.60 \% $ 37.06
    $ W = 2 \pi H $ 25 625,000 0.0512 $ 0.55 \% $ 1007.0 $ 0.70 \% $ 37.67
    $ L = 3 \pi H $ 50 176,720 0.0527 $ 3.50 \% $ 1034.6 $ 3.46 \% $ 33.98
    $ W = 3 \pi H $ 25 1,413,760 0.0514 $ 0.94 \% $ 1009.2 $ 0.92 \% $ 36.18
    $ L = 8 \pi H $ 50 471,880 0.0526 $ 3.30 \% $ 1032.7 $ 3.27 \% $ 34.89
    $ W = 3 \pi H $ 25 3,775,040 0.0516 $ 1.34 \% $ 1013.6 $ 1.36 \% $ 35.76
     | Show Table
    DownLoad: CSV

    Table 4.  Relative $ L2 $-norms of the velocity and Reynolds stresses profiles for the considered wall functions with respect to the DNS data

    Wall function ${y^+}$ ${u^+}$ ${\langle u^{\prime}u^{\prime} \rangle^+}$ ${\langle v^{\prime}v^{\prime} \rangle^+}$ ${\langle w^{\prime}w^{\prime} \rangle^+}$ ${\langle u^{\prime}v^{\prime} \rangle^+}$
    Reichardt 50 0.04129 0.5073 1.4139 0.3591 0.5353
    25 0.01400 0.3404 0.2681 0.3739 0.3592
    12.5 0.03120 0.3081 0.2148 0.3034 0.1726
    Musker 50 0.03731 0.5105 1.4707 0.3654 0.5511
    25 0.01553 0.4199 0.2697 0.4160 0.3351
    12.5 0.02014 0.2935 0.2073 0.2872 0.1738
    Power-law 50 0.04448 0.5585 1.3370 0.3525 0.5486
    25 0.03506 0.4516 0.3163 0.4660 0.3614
    12.5 0.02901 0.2518 0.2005 0.2789 0.1729
     | Show Table
    DownLoad: CSV

    Table 5.  Performance and accuracy of the considered wall functions in conjunction with MRT scheme and Vreman model

    Wall function ${y^+}$ ${u_{\tau,\mathrm{sim}}}$ ${u_{\tau,\mathrm{err}}}$ ${\mathrm{Re}_{\tau,\mathrm{sim}}}$ ${\mathrm{Re}_{\tau,\mathrm{err}}}$ MLUPs/node
    Reichardt 50 0.0517 $ 1.53 \% $ 1016.2 $ 1.62 \% $ 40.73
    25 0.0482 $ 5.34 \% $ 946.3 $ 5.37 \% $ 39.21
    12.5 0.0413 $ 18.89 \% $ 810.9 $ 18.91 \% $ 35.06
    Musker 50 0.0538 $ 5.66 \% $ 1056.0 $ 5.60 \% $ 37.67
    25 0.0512 $ 0.55 \% $ 1007.0 $ 0.70 \% $ 37.06
    12.5 0.0452 $ 11.23 \% $ 888.2 $ 11.18 \% $ 34.62
    Power-law 50 0.0549 $ 7.82 \% $ 1078.7 $ 7.87 \% $ 41.71
    25 0.0538 $ 5.66 \% $ 1056.4 $ 5.64 \% $ 38.04
    12.5 0.0422 $ 17.12 \% $ 829.1 $ 17.09 \% $ 37.31
     | Show Table
    DownLoad: CSV

    Table 6.  Relative $ L2 $-norms of the velocity and Reynolds stresses profiles for the considered SGS models with respect to the DNS data

    SGS model ${y^+}$ ${u^+}$ ${\langle u^{\prime}u^{\prime} \rangle^+}$ ${\langle v^{\prime}v^{\prime} \rangle^+}$ ${\langle w^{\prime}w^{\prime} \rangle^+}$ ${\langle u^{\prime}v^{\prime} \rangle^+}$
    Smagorinsky 50 0.01994 0.4713 1.1474 0.4143 0.6974
    25 0.01542 0.4260 0.3312 0.4647 0.3432
    12.5 0.03260 0.3760 0.3793 0.4308 0.3150
    Vreman 50 0.03731 0.5105 1.4707 0.3654 0.5511
    25 0.01553 0.4199 0.2697 0 4160 0.3351
    12.5 0.02014 0.2935 0.2073 0.2872 0.1738
    WALE 50 0.02261 0.4143 1.2735 0.3766 0.6810
    25 0.02003 0.4446 0.2641 0.4171 0.3067
    12.5 0.01483 0.2725 0.1578 0.2492 0.1618
     | Show Table
    DownLoad: CSV

    Table 7.  Performance and accuracy of the considered SGS models with Musker wall function and MRT collision scheme

    SGS models ${y^+}$ ${u_{\tau,\mathrm{sim}}}$ ${u_{\tau,\mathrm{err}}}$ ${\mathrm{Re}_{\tau,\mathrm{sim}}}$ ${\mathrm{Re}_{\tau,\mathrm{err}}}$ MLUPs/node
    Smagorinsky 50 0.0519 $ 1.92 \% $ 1019.0 $ 1.90 \% $ 34.6
    25 0.0501 $ 1.02 \% $ 984.5 $ 1.55 \% $ 33.81
    12.5 0.0423 $ 16.93 \% $ 829.8 $ 17.02 \% $ 31.42
    Vreman 50 0.0538 $ 5.66 \% $ 1056.0 $ 5.60 \% $ 37.67
    25 0.0512 $ 0.55 \% $ 1007.0 $ 0.70 \% $ 37.06
    12.5 0.0452 $ 11.23 \% $ 888.2 $ 11.18 \% $ 34.62
    WALE 50 0.0522 $ 2.51 \% $ 1025.9 $ 2.59 \% $ 30.70
    25 0.0519 $ 1.92 \% $ 1019.1 $ 1.91 \% $ 33.20
    12.5 0.0468 $ 8.09 \% $ 918.9 $ 8.11 \% $ 31.04
     | Show Table
    DownLoad: CSV

    Table 8.  Relative $ L2 $-norms of the velocity and Reynolds stresses profiles for the considered collision schemes with respect to the DNS data

    Collision scheme ${y^+}$ ${u^+}$ ${\langle u^{\prime}u^{\prime} \rangle^+}$ ${\langle v^{\prime}v^{\prime} \rangle^+}$ ${\langle w^{\prime}w^{\prime} \rangle^+}$ ${\langle u^{\prime}v^{\prime} \rangle^+}$
    MRT 50 0.03731 0.5105 1.4707 0.3654 0.5511
    25 0.01553 0.4199 0.2697 0.4160 0.3351
    12.5 0.02014 0.2935 0.2073 0.2872 0.1738
    Cumulant 50 0.02743 0.5230 0.6573 0.4750 0.6717
    25 0.01796 0.4447 0.2947 0.2360 0.4161
    12.5 0.01869 0.2182 0.0971 0.1052 0.1585
    HRR 50 0.04407 0.5443 0.9579 0.8772 0.9041
    25 0.04101 0.4781 0.8412 0.7622 0.7787
    12.5 0.05266 0.4931 0.7226 0.6914 0.6786
     | Show Table
    DownLoad: CSV

    Table 9.  Performance and accuracy of the considered collision schemes in conjunction with Musker wall function, and Vreman SGS model solely for MRT and HRR

    Collision scheme ${y^+}$ ${u_{\tau,\mathrm{sim}}}$ ${u_{\tau,\mathrm{err}}}$ ${\mathrm{Re}_{\tau,\mathrm{sim}}}$ ${\mathrm{Re}_{\tau,\mathrm{err}}}$ MLUPs/node
    MRT 50 0.0538 $ 5.66 \% $ 1056.0 $ 5.60 \% $ 37.67
    25 0.0512 $ 0.55 \% $ 1007.0 $ 0.70 \% $ 37.06
    12.5 0.0452 $ 11.23 \% $ 888.2 $ 11.18 \% $ 34.62
    Cumulant 50 0.0521 $ 2.32 \% $ 1022.7 $ 2.27 \% $ 30.33
    25 0.0517 $ 1.53 \% $ 1015.1 $ 1.51 \% $ 31.60
    12.5 0.0465 $ 8.68 \% $ 913.3 $ 8.67 \% $ 32.64
    HRR 50 0.0467 $ 8.29 \% $ 916.2 $ 8.38 \% $ 25.94
    25 0.0455 $ 10.65 \% $ 892.9 $ 10.71 \% $ 27.00
    12.5 0.0397 $ 22.03 \% $ 780.1 $ 21.99 \% $ 27.68
     | Show Table
    DownLoad: CSV
  • [1] H. AsmuthC. F. JanẞenH. Olivares-Espinosa and S. Ivanell, Wall-modeled lattice Boltzmann large-eddy simulation of neutral atmospheric boundary layers, Physics of Fluids, 33 (2021), 105111.  doi: 10.1063/5.0065701.
    [2] P. L. BhatnagarE. P. Gross and M. Krook, A model for collision processes in gases. Ⅰ. Small amplitude processes in charged and neutral one-component systems, Physical Review, 94 (1954), 511-525. 
    [3] M. BouzidiM. Firdaouss and P. Lallemand, Momentum transfer of a Boltzmann-lattice fluid with boundaries, Physics of Fluids, 13 (2001), 3452-3459.  doi: 10.1063/1.1399290.
    [4] S.-G. Cai and P. Sagaut, Explicit wall models for large eddy simulation, Physics of Fluids, 33 (2021), 6.  doi: 10.1063/5.0048563.
    [5] C. Coreixas, High-Order Extension of the Recursive Regularized Lattice Boltzmann Method, PhD thesis, Institut National Polytechnique de Toulouse, 2018.
    [6] C. CoreixasB. Chopard and J. Latt, Comprehensive comparison of collision models in the lattice Boltzmann framework: Theoretical investigations, Physical Review E, 100 (2019), 033305.  doi: 10.1103/physreve.100.033305.
    [7] A. De Rosis, Nonorthogonal central-moments-based lattice Boltzmann scheme in three dimensions, Phys. Rev. E, 95 (2017), 013310.  doi: 10.1103/physreve.95.013310.
    [8] R. B. Dean, Reynolds number dependence of skin friction and other bulk flow variables in two-dimensional rectangular duct flow, Journal of Fluids Engineering, 100 (1978), 215-223.  doi: 10.1115/1.3448633.
    [9] J. Degrigny, G. Pont, J.-F. Boussuge and P. Sagaut, Simulation of high-lift flows through iddes in lbm, in 55th 3AF International Conference on Applied Aerodynamics, 23 - 25 March 2020, Poitiers - France, 2020.
    [10] P. Dellar, Bulk and shear viscosities in lattice Boltzmann equations, Physical Review E, 64 (2001), 1-10.  doi: 10.1103/PhysRevE.64.031203.
    [11] D. D'Humières, Generalized Lattice-Boltzmann equations, Progress in Astronautics and Aeronautics, 159 (1992), 450-458. 
    [12] D. d'Humières, Multiple-relaxation-time lattice Boltzmann models in three dimensions, Phil. Trans. R. Soc. A., 360 (2002), 437-451.  doi: 10.1098/rsta.2001.0955.
    [13] L. Fei and K. H. Luo, Cascaded lattice Boltzmann method for incompressible thermal flows with heat sources and general thermal boundary conditions, Computers & Fluids, 165 (2018), 89-95.  doi: 10.1016/j.compfluid.2018.01.020.
    [14] Y. FengP. BoivinJ. Jacob and P. Sagaut, Hybrid recursive regularized thermal lattice Boltzmann model for high subsonic compressible flows, Journal of Computational Physics, 394 (2019), 82-99.  doi: 10.1016/j.jcp.2019.05.031.
    [15] M. Gehrke and T. Rung, Scale-resolving turbulent channel flow simulations using a dynamic cumulant lattice Boltzmann method, Physics of Fluids, 34 (2022), 075129.  doi: 10.1063/5.0098032.
    [16] M. Gehrke and T. Rung, Scrutinizing dynamic cumulant Lattice Boltzmann large eddy simulations for turbulent channel flows, Computation, 10 (2022), 171.  doi: 10.3390/computation10100171.
    [17] M. Geier, Ab Initio Derivation of the Cascaded Lattice Boltzmann Automaton, PhD thesis, Albert-Ludwigs University Freiburg, 2006.
    [18] M. GeierA. Greiner and J. G. Korvink, Cascaded digital Lattice Boltzmann automata for high reynolds number flow, Phys. Rev. E, 73 (2006), 066705.  doi: 10.1103/PhysRevE.73.066705.
    [19] M. GeierS. LenzM. Schönherr and M. Krafczyk, Under-resolved and large eddy simulations of a decaying Taylor-Green vortex with the cumulant lattice Boltzmann method, Theoretical and Computational Fluid Dynamics, 35 (2021), 169-208.  doi: 10.1007/s00162-020-00555-7.
    [20] M. GeierA. Pasquali and M. Schönherr, Parametrization of the cumulant lattice Boltzmann method for fourth order accurate diffusion part Ⅰ: Derivation and validation, Journal of Computational Physics, 348 (2017), 862-888.  doi: 10.1016/j.jcp.2017.05.040.
    [21] M. GeierM. SchönherrA. Pasquali and M. Krafczyk, The cumulant lattice Boltzmann equation in three dimensions: Theory and validation, Computers and Mathematics with Applications, 70 (2015), 507-547.  doi: 10.1016/j.camwa.2015.05.001.
    [22] I. Ginzburg and D. d'Humières, Multireflection boundary conditions for Lattice Boltzmann models, Phys. Rev. E, 68 (2003), 066614.  doi: 10.1103/PhysRevE.68.066614.
    [23] C. Gkoudesnes, Implementation and Verification of LES models for SRT Lattice Boltzmann Methods, Phd, University of Southampton, 2021.
    [24] G. Gruszczyński and Ł. Łaniewski-Wołłk, A comparative study of 3d cumulant and central moments lattice Boltzmann schemes with interpolated boundary conditions for the simulation of thermal flows in high prandtl number regime, International Journal of Heat and Mass Transfer, 197 (2022), 123259. 
    [25] Z.-L. GuoC.-G. Zheng and B.-C. Shi, Non-equilibrium extrapolation method for velocity and pressure boundary conditions in the lattice Boltzmann method, Chinese Physics, 11 (2002), 366-374. 
    [26] M. HasertK. MasilamaniS. ZimnyH. KlimachJ. QiJ. Bernsdorf and S. Roller, Complex fluid simulations with the parallel tree-based Lattice Boltzmann solver Musubi, J. Comput. Sci., 5 (2014), 784-794.  doi: 10.1016/j.jocs.2013.11.001.
    [27] M. Hasert, K. Masilamani, S. Zimny, J. Qi, H. Klimach, J. Bernsdorf and S. Roller, Musubi repository, https://github.com/apes-suite/musubi, 2013.
    [28] M. HaussmannA. C. BarretoG. L. KouyiN. RivièreH. Nirschl and M. J. Krause, Large-eddy simulation coupled with wall models for turbulent channel flows at high Reynolds numbers with a lattice Boltzmann method - Application to Coriolis mass flowmeter, Computers & Mathematics with Applications, 78 (2019), 3285-3302.  doi: 10.1016/j.camwa.2019.04.033.
    [29] J. JacobO. Malaspinas and P. Sagaut, A new hybrid recursive regularised Bhatnagar-Gross-Krook collision model for Lattice Boltzmann method-based large eddy simulation, Journal of Turbulence, 19 (2018), 1051-1076.  doi: 10.1080/14685248.2018.1540879.
    [30] B. Konig, B. M. Duda and G. M. Laskowski, Lattice Boltzmann simulations for the 4th aiaa high-lift prediction workshop using powerflow, in AIAA Aviation 2022 Forum, June 27 - July 1 2022, Chicago, IL - U.S.A., 2022. doi: 10.2514/6.2022-3433.
    [31] B. Konig, E. Fares, M. Murayama, Y. Ito, Y. Yokokawa, K. Yamamoto and K. Ishikawa, Lattice-Boltzmann simulations of the jaxa jsm high-lift configuration, in 34th AIAA Applied Aerodynamics Conference, 13 - 17 June 2016, Washington, D.C. - U.S.A., 2016. doi: 10.2514/6.2016-3721.
    [32] T. Krüger, H. Kusumaatmaja, A. Kuzmin, O. Shardt, G. Silva and E. M. Viggen, The Lattice Boltzmann Method, Springer Cham, 2017. doi: 10.1007/978-3-319-44649-3.
    [33] J. Latt and B. Chopard, Lattice Boltzmann method with regularized non-equilibrium distribution functions, Physics. Flu.-Dym..
    [34] M. Lee and R. D. Moser, Direct numerical simulation of turbulent channel flow up to, Journal of Fluid Mechanics, 774 (2015), 395-415.  doi: 10.1017/jfm.2015.268.
    [35] M. Lee and R. D. Moser, Direct numerical simulation of turbulent channel flow up to $ Re_{{\it\tau}}\approx 5200$, Journal of Fluid Mechanics, 774 (2015), 395-415. 
    [36] L.-S. LuoW. LiaoX. ChenY. Peng and W. Zhang, Numerics of the lattice Boltzmann method: Effects of collision models on the lattice Boltzmann simulations, Phys. Rev. E, 83 (2011), 056710. 
    [37] O. Malaspinas and P. Sagaut, Wall model for large-eddy simulation based on the lattice Boltzmann method, Journal of Computational Physics, 275 (2014), 25-40.  doi: 10.1016/j.jcp.2014.06.020.
    [38] K. Masilamani and H. Klimach, Seeder mesh generator, https://github.com/apes-suite/musubi, 2013, [Online; accessed 11-December-2023].
    [39] Message Passing Interface Forum, MPI: A Message-Passing Interface Standard Version 4.0, 2021, https://www.mpi-forum.org/docs/mpi-4.0/mpi40-report.pdf.
    [40] G. M. Morton, A computer Oriented Geodetic Data Base; and a New Technique in File Sequencing, Technical report, Ottawa, Canada: IBM Ltd, 1966.
    [41] A. J. Musker, Explicit expression for the smooth wall velocity distribution in a turbulent boundary layer, AIAA Journal, 17 (1979), 655-657.  doi: 10.2514/3.61193.
    [42] F. Nicoud and F. Ducros, Subgrid-scale stress modelling based on the square of the velocity gradient tensor, Flow, Turbulence and Combustion, 62 (1999), 183-200. 
    [43] A. PasqualiM. Geier and M. Krafczyk, Near-wall treatment for the simulation of turbulent flow by the cumulant lattice Boltzmann method, Computers & Mathematics with Applications, 79 (2020), 195-212.  doi: 10.1016/j.camwa.2017.11.022.
    [44] H. Reichardt, Vollständige Darstellung der turbulenten Geschwindigkeitsverteilung in glatten Leitungen, ZAMM - Journal of Applied Mathematics and Mechanics / Zeitschrift für Angewandte Mathematik und Mechanik, 31 (1951), 208-219.  doi: 10.1002/zamm.19510310704.
    [45] L. Schmitt, Grobstruktursimulation Turbulenter Grenzschicht-, Kanal-Und Stufenströmungen, PhD thesis, 1988.
    [46] A. Schneider, A Consistent Large Eddy Approach for Lattice Boltzmann Methods and its Application to Complex Flows (PhD Thesis), Kaiserslautern, 2015, http://nbn-resolving.de/urn: nbn: de: hbz: 386-kluedo-40568.
    [47] D. Singh, B. Konig, E. Fares, M. Murayama, Y. Ito, Y. Yokokawa and K. Yamamoto, Lattice-Boltzmann simulations of the jaxa jsm high-lift configuration in a wind tunnel, in AIAA Scitech 2019 Forum, 7 - 11 Januray 2019, San Diego, California - U.S.A., 2019. doi: 10.2514/6.2019-1333.
    [48] J. Smagorinsky, General circulation experiments with the primitive equations Ⅰ. the basic experiment, Monthly Weather Review, 91 (1963), 99-164. 
    [49] G. G. Spinelli, T. Horstmann, K. Masilamani, M. M. Soni, H. Klimach, A. Stück and S. Roller, HPC performance study of different collision models using the Lattice Boltzmann solver Musubi, Computers & Fluids, 255 (2023), 105833. https://www.sciencedirect.com/science/article/pii/S0045793023000580. doi: 10.1016/j.compfluid.2023.105833.
    [50] K. SugaY. KuwataK. Takashima and R. Chikasue, A D3Q27 multiple-relaxation-time lattice Boltzmann method for turbulent flows, Computers and Mathematics with Applications, 69 (2015), 518-529.  doi: 10.1016/j.camwa.2015.01.010.
    [51] J. TölkeS. Freudiger and M. Krafczyk, An adaptive scheme using hierarchical grids for lattice Boltzmann multi-phase flow simulations, Computers & Fluids, 35 (2006), 820-830. 
    [52] S. Uphoff, Development and Validation of Turbulence Models for Lattice Boltzmann hemes, PhD thesis, Technische Universität Braunschweig, Braunschweig, 2013.
    [53] E. R. Van Driest, On turbulent flow near a wall, Journal of the Aeronautical Sciences, 23 (1956), 1007-1011. 
    [54] B. VremanB. Geurts and H. Kuerten, On the formulation of the dynamic mixed subgrid-scale model, Physics of Fluids, 6 (1994), 4057-4059.  doi: 10.1063/1.868333.
    [55] H. Wengle and H. Werner, Large-eddy simulation of turbulent flow over sharp-edged obstacles in a plate channel, Notes on Numerical Fluid Mechanics (NNFM), 40 (1993), 192-199.  doi: 10.1007/978-3-663-13986-7_26.
    [56] S. WilhelmJ. Jacob and P. Sagaut, An explicit power-law-based wall model for lattice Boltzmann method-reynolds-averaged numerical simulations of the flow around airfoils, Physics of Fluids, 30 (2018), 065111.  doi: 10.1063/1.5031764.
  • 加载中
Open Access Under a Creative Commons license

Figures(20)

Tables(9)

SHARE

Article Metrics

HTML views(4418) PDF downloads(1367) Cited by(0)

Access History

Catalog

    /

    DownLoad:  Full-Size Img  PowerPoint
    Return
    Return