\`x^2+y_1+z_12^34\`
Advanced Search
Article Contents
Article Contents
Early Access

Early Access articles are published articles within a journal that have not yet been assigned to a formal issue. This means they do not yet have a volume number, issue number, or page numbers assigned to them, however, they can still be found and cited using their DOI (Digital Object Identifier). Early Access publication benefits the research community by making new scientific discoveries known as quickly as possible.

Readers can access Early Access articles via the “Early Access” tab for the selected journal.

Stability and convergence of modal approximations in coupled thermoelastic systems: Theory and simulation

  • *Corresponding author: Imane Essadeq

    *Corresponding author: Imane Essadeq 

Dedicated to the memory of Professor Hammadi Bouslous

Abstract / Introduction Full Text(HTML) Figure(7) / Table(2) Related Papers Cited by
  • In this work, we review and analyze both the theoretical and numerical aspects of strongly and weakly coupled thermoelastic systems. By employing spectral analysis techniques and establishing uniform resolvent estimates, we derive uniform polynomial decay rates for the associated semigroups under a suitable class of boundary conditions. Particular attention is paid to the role of modal approximations in energy analysis. The theoretical results are complemented by numerical experiments that illustrate how the regularity of initial data, smooth versus nonsmooth, affects the observed decay rates, providing deeper insight into the interplay between spectral structure and energy dissipation.

    Mathematics Subject Classification: Primary: 35L55, 35K05, 35Q74, 65M60; Secondary: 35B40, 35M33, 65M12, 93D20.

    Citation:

    \begin{equation} \\ \end{equation}
  • 加载中
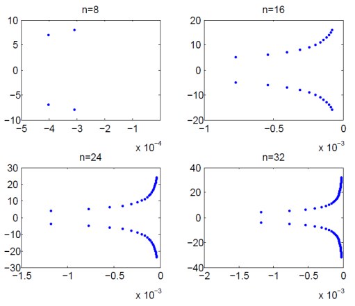
  • Figure 1.  Eigenvalues of $ \mathcal{S}_{n} $

    Figure 2.  Eigenvalues of $ \mathcal{W}_{n} $

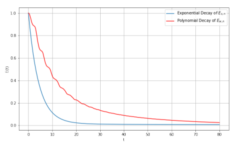
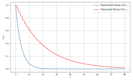
    Figure 3.  Uniform decay of the energy

    Figure 4.  No effect of initial data smoothness on the exponential decay of $ E_{s,n}(t) $

    Figure 5.  Effect of initial data smoothness on the polynomial decay of $ E_{w,n}(t) $

    Figure 6.  Plot of the discontinuous velocity $ u_t(x,0) $

    Figure 7.  Effect of initial data discontinuities on the polynomial decay of energy

    Table 1.  Notation for coefficients and variables in the thermoelastic system

    Symbol Description Units
    $ u $ Displacement field (along the domain) meters (m)
    $ \theta $ Absolute temperature field kelvin (K)
    $ \partial_x u $ Strain Dimensionless
    $ \partial_x\partial_t u $ Rate of change of strain $ 1/\text{s} $
    $ \partial_t u $ Velocity m/s
    $ \partial^2_t u $ Acceleration m/s2
    $ \partial_x \theta $ Temperature gradient (heat flux) K/m
    $ \partial_t \theta $ Rate of change of temperature K/s
    $ \partial^2_x \theta $ Heat diffusion term (in Fourier's law) K/m2
    $ \theta_0 $ Reference (initial) temperature kelvin (K)
    $ \rho $ Mass density of the material kg/m3
    $ h_0 $ Specific heat at constant strain J/(kg$ \cdot $K)
    $ k $ Thermal conductivity W/(m$ \cdot $K)
    $ \lambda $ First Lamé constant pascal (Pa)
    $ \mu $ Second Lamé constant (shear modulus) pascal (Pa)
    $ \alpha $ Linear thermal expansion coefficient 1/K
    $ L $ Length of the domain meters (m)
    $ t $ Time variable seconds (s)
    $ x $ Spatial variable meters (m)
    Derived quantities
    $ \gamma = \left( \frac{\theta_0 \alpha^2 (3\lambda + 2\mu)^2}{h_0(\lambda + 2\mu)} \right)^{1/2} $ Coupling strength in the scaled system (very small in comparison to 1) dimensionless
    $ c^2 = \frac{h_0^2(\lambda + 2\mu)L^2}{k^2\rho} $ Normalized wave speed squared (often scaled to 1) dimensionless
     | Show Table
    DownLoad: CSV

    Table 2.  Distance between $ \sigma(\mathcal{S}_{n}) $ and the imaginary axis for the spectral element method

    $ n $ $ \min\{-\text{Re}(\lambda), \lambda\in\sigma(\mathcal{S}_{n})\} $
    8 $ 8.9227\times 10^{-4} $
    16 $ 8.9383\times 10^{-4} $
    24 $ 8.9402\times 10^{-4} $
    32 $ 8.9407\times 10^{-4} $
     | Show Table
    DownLoad: CSV
  • [1] F. AbdallahS. NicaiseJ. Valein and A. Wehbe, Uniformly exponentially or polynomially stable approximations for second order evolution equations and some applications, ESAIM: Control, Optimisation and Calculus of Variations, 19 (2013), 844-887. 
    [2] F. AlabauP. Cannarsa and V. Komornik, Indirect internal stabilization of weakly coupled evolution equations, Journal of Evolution Equations, 2 (2002), 127-150.  doi: 10.1007/s00028-002-8083-0.
    [3] F. Ammar KhodjaA. Benabdallah and D. Teniou, Dynamical stabilizers and coupled systems, ESAIM: Proceedings, 2 (1997), 253-262.  doi: 10.1051/proc:1997003.
    [4] K. Ammari and M. Tucsnak, Stabilization of second-order evolution equations by a class of unbounded feedbacks, ESAIM: Control, Optimisation and Calculus of Variations, 6 (2001), 361-386.  doi: 10.1051/cocv:2001114.
    [5] H. T. Banks, K. Ito and C. Wang, Exponentially stable approximations of weakly damped wave equations, in Estimation and Control of Distributed Parameter Systems: Proceedings of an International Conference on Control and Estimation of Distributed Parameter Systems, Vorau, (1990), 1-33. Springer, 1991. doi: 10.1007/978-3-0348-6418-3_1.
    [6] A. BátkaiK.-J. EngelJ. Prüss and R. Schnaubelt, Polynomial stability of operator semigroups, Mathematische Nachrichten, 279 (2006), 1425-1440.  doi: 10.1002/mana.200410429.
    [7] A. Borichev and Y. Tomilov, Optimal polynomial decay of functions and operator semigroups, Mathematische Annalen, 347 (2010), 455-478.  doi: 10.1007/s00208-009-0439-0.
    [8] J. BurnsZ. Liu and R. Miller, Approximations of thermoelastic and viscoelastic control systems, Numer. Funct. Anal. Optim., 12 (1991), 79-135.  doi: 10.1080/01630569108816420.
    [9] J. A. BurnsZ. Liu and S. Zheng, On the energy decay of a linear thermoelastic bar, Journal of Mathematical Analysis and Applications, 179 (1993), 574-591.  doi: 10.1006/jmaa.1993.1370.
    [10] N. Burq and M. Hitrik, Energy decay for damped wave equations on partially rectangular domains, Mathematical Research Letters, 14 (2007), 35-47.  doi: 10.4310/MRL.2007.v14.n1.a3.
    [11] D. E. Carlson, Linear thermoelasticity, in Linear Theories of Elasticity and Thermoelasticity: Linear and Nonlinear Theories of Rods, Plates, and Shells, Springer, (1973), 297-345.
    [12] P. Chadwick, Thermoelasticity, the dynamical theory, Progress in Solid Mechanics, 1 (1960), 263-328. 
    [13] R. Courant, Variational methods for the solution of problems of equilibrium and vibrations, Bull. Amer. Math. Soc., 49 (1943), 1-23. 
    [14] R. CourantK. Friedrichs and H. Lewy, Über die partiellen differenzengleichungen der mathematischen physik, Mathematische Annalen, 100 (1928), 32-74.  doi: 10.1007/BF01448839.
    [15] C. M. Dafermos, On the existence and the asymptotic stability of solutions to the equationsof linear thermoelasticity, Archive for Rational Mechanics and Analysis, 29 (1968), 241-271.  doi: 10.1007/BF00276727.
    [16] C. M. Dafermos, Asymptotic stability in viscoelasticity, Archive for Rational Mechanics and Analysis, 37 (1970), 297-308.  doi: 10.1007/BF00251609.
    [17] W. A. Day, Heat Conduction within Linear Thermoelasticity, Springer, 1985.
    [18] J. M. C. Duhamel, Second memoire sur les phenomenes thermo-mecaniques, Journal de l'École Polytechnique, 15 (1837), 1-57. 
    [19] R. H. Fabiano, Galerkin approximation for thermoelastic models, in Proc. of the American Control Conference, (2000), 2755-2759.
    [20] R. H. Fabiano, Stability preserving Galerkin approximations for a boundary damped wave equation, Proc. of the Third World Congress of Nonlinear Analysts, 47 (2001), 4545-4556.  doi: 10.1016/S0362-546X(01)00568-5.
    [21] R. H. Fabiano, A renorming method for thermoelastic models, Applicable Analysis, 77 (2001), 61-75.  doi: 10.1080/00036810108840895.
    [22] L. Gearhart, Spectral theory for contraction semigroups on Hilbert space, Transactions of the American Mathematical Society, 236 (1978), 385-394.  doi: 10.1090/S0002-9947-1978-0461206-1.
    [23] P. Gervasio and M. G. Naso, Numerical approximation of controllability of trajectories for Euler-Bernoulli thermoelastic plates, Mathematical Models and Methods in Applied Sciences, 14 (2004), 701-733.  doi: 10.1142/S0218202504003416.
    [24] J. S. GibsonI. G. Rosen and G. Tao, Approximation in control of thermoelastic systems, SIAM Journal on Control and Optimization, 30 (1992), 1163-1189.  doi: 10.1137/0330062.
    [25] R. Glowinski, Numerical Methods for Nonlinear Variational Problems, Scientific Computation, Springer-Verlag, Berlin, 1984.
    [26] R. GlowinskiC.-H. Li and J.-L. Lions, A numerical approach to the exact boundary controllability of the wave equation. (I). Dirichlet controls: Description of the numerical methods, Japan Journal of Applied Mathematics, 7 (1990), 1-76.  doi: 10.1007/BF03167891.
    [27] B. Z. Guo and S. P. Yung, Asymptotic behavior of the eigenfrequency of a one-dimensionallinear thermoelastic system, Journal of Mathematical Analysis and Applications, 213 (1997), 406-421.  doi: 10.1006/jmaa.1997.5544.
    [28] M. E. GurtinE. Fried and  L. AnandThe Mechanics and Thermodynamics of Continua, Cambridge University Press, 2010. 
    [29] S. W. Hansen, Exponential energy decay in a linear thermoelastic rod, J. Math. Anal. Appl., 167 (1992), 429-442.  doi: 10.1016/0022-247X(92)90217-2.
    [30] F. Huang, Characteristic conditions for exponential stability of linear dynamical systems in Hilbert spaces, Ann. of Diff. Eqs., 1 (1985), 43-56. 
    [31] J. A. Infante and E. Zuazua, Boundary observability for the space semi-discretizations of the 1-D wave equation, ESAIM: Mathematical Modelling and Numerical Analysis-Modélisation Mathématique et Analyse Numérique, 33 (1999), 407-438.  doi: 10.1051/m2an:1999123.
    [32] J. U. Kim, On the energy decay of a linear thermoelastic bar and plate, SIAM Journal on Mathematical Analysis, 23 (1992), 889-899.  doi: 10.1137/0523047.
    [33] P. KotsovinosA. AtaliotiN. McSwineyF. LugaresiG. Rein and A. J. Sadowski, Analysis of the thermomechanical response of structural cables subject to fire, Fire Technology, 56 (2020), 515-543.  doi: 10.1007/s10694-019-00889-7.
    [34] G. Lebeau and E. Zuazua, Null-controllability of a system of linear thermoelasticity, Archive for Rational Mechanics and Analysis, 141 (1998), 297-329.  doi: 10.1007/s002050050078.
    [35] G. Lebeau and E. Zuazua, Decay rates for the three-dimensional linear system of thermoelasticity, Archive for Rational Mechanics and Analysis, 148 (1999), 179-231.  doi: 10.1007/s002050050160.
    [36] L. LiB. ChenL. ZhouQ. XiaY. ZhouX. Zhou and Y. Xia, Thermal behaviors of bridges-A literature review, Advances in Structural Engineering, 26 (2023), 985-1010.  doi: 10.1177/13694332231153976.
    [37] J.-L. Lions and E. Magenes, Non-Homogeneous Boundary Value Problems and Applications, Volume I, volume 181 of Grundlehren der Mathematischen Wissenschaften, Springer-Verlag, 1972.
    [38] Z. Liu and B. Rao, Characterization of the polynomial decay rate for the solution of linear evolution equation, Zeitschrift für Angewandte Mathematik und Physik ZAMP, 56 (2005), 630-644.  doi: 10.1007/s00033-004-3073-4.
    [39] Z. Liu and S. M. Zheng, Exponential stability of the semigroup associated with a thermoelastic system, Quarterly of Applied Mathematics, 51 (1993), 535-545.  doi: 10.1090/qam/1233528.
    [40] Z. Liu and S. M. Zheng, Uniform exponential stability and approximation in control of a thermoelastic system, SIAM Journal on Control and Optimization, 32 (1994), 1226-1246.  doi: 10.1137/S0363012991219006.
    [41] Z. Liu and S. Zheng, Semigroups Associated with Dissipative Systems, Research Notes in Mathematics, Chapman & Hall/CRC, 1999.
    [42] L. Maniar and S. Nafiri, Approximation and polynomial stability of C0-semigroups, ESAIM:COCV, 22 (2016), 208-235.  doi: 10.1051/cocv/2015002.
    [43] N. MirkovićM. Nefovska-DanilovićM. AhacS. LakušićU. Mirković and Z. Zafirovski, Parametric study of additional temperature stresses in continuously welded rails on steel truss railway bridges, Buildings, 13 (2023), 2296.  doi: 10.3390/buildings13092296.
    [44] J. E. Muñoz Rivera, Energy decay rates in linear thermoelasticity, Funkcial. Ekvac., 35 (1992), 19-30. 
    [45] S. Nafiri, Uniform polynomial decay and approximation in control of a family of abstractthermoelastic models, J. Dyn. Control. Syst., 29 (2023), 209-227.  doi: 10.1007/s10883-021-09568-9.
    [46] A. Pazy, Semigroups of linear operators and applications to partial differential equations, Appl. Math. Sci., Springer-Verlag, New York, 44, 1983.
    [47] J. Prüss, On the spectrum of C0-semigroups, Transactions of the American Mathematical Society, 284 (1984), 847-857.  doi: 10.1090/S0002-9947-1984-0743749-9.
    [48] K. RamdaniT. Takahashi and M. Tucsnak, Uniformly exponentially stable approximations for a class of second order evolution equations: Application to LQR problems, ESAIM: Control, Optimisation and Calculus of Variations, 13 (2007), 503-527.  doi: 10.1051/cocv:2007020.
    [49] L. F. RichardsonWeather Prediction by Numerical Process, University Press, 2007. 
    [50] V. Thomée, Galerkin finite element methods for parabolic problems, Bull. Iranian Math. Soc., 1978/79, 3L-17L.
    [51] L. N. Trefethen and D. Bau, Numerical Linear Algebra, SIAM, 2022.
    [52] G. Yang and M. A. Bradford, Thermal-induced buckling and postbuckling analysis of continuous railway tracks, International Journal of Solids and Structures, 97 (2016), 637-649.  doi: 10.1016/j.ijsolstr.2016.04.037.
    [53] W. ZhaiZ. HanZ. ChenL. Ling and S. Zhu, Train-track-bridge dynamic interaction: A state-of-the-art review, Vehicle System Dynamics, 57 (2019), 984-1027.  doi: 10.1080/00423114.2019.1605085.
    [54] E. Zuazua, Controllability of the linear system of thermoelasticity, Journal de Mathématiques Pures et Appliquées, 74 (1995), 291-315. 
    [55] E. Zuazua, Propagation, observation, and control of waves approximated by finite difference methods, SIAM Review, 47 (2005), 197-243.  doi: 10.1137/S0036144503432862.
  • 加载中

Figures(7)

Tables(2)

SHARE

Article Metrics

HTML views(363) PDF downloads(61) Cited by(0)

Access History

Catalog

    /

    DownLoad:  Full-Size Img  PowerPoint
    Return
    Return