\`x^2+y_1+z_12^34\`
Advanced Search
Article Contents
Article Contents

Stabilization with decay estimate of infinite dimensional second order systems by bilinear control damping

  • *Corresponding author: Hassan Ezzaki

    *Corresponding author: Hassan Ezzaki 
Abstract / Introduction Full Text(HTML) Figure(4) Related Papers Cited by
  • This paper deals with stabilization and energy decay rates of second-order bilinear systems in a Hilbert space. Namely, we examine a class of bounded feedback control to investigate weak, strong, and exponential stabilization. Firstly, we discuss the well-posedness of mild solutions of the considered systems using the cosine family. Secondly, we provide some sufficient conditions to ensure feedback stabilization for the bilinear systems which are presented in terms of observation estimates. Moreover, we derive an explicit decay estimate of the energy in the case of strong stabilization. Finally, we offer examples with numerical simulations to demonstrate the applicability of our theoretical results.

    Mathematics Subject Classification: 93D15, 93D20.

    Citation:

    \begin{equation} \\ \end{equation}
  • 加载中
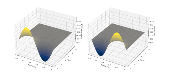
  • Figure 1.  The dynamic behavior of the displacement and velocity of the closed-loop (29) with the parameter $ \gamma = 0 $

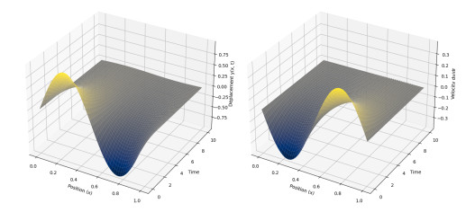
    Figure 2.  The dynamic behavior of the displacement and velocity of (29) with $ \gamma = -1$

    Figure 3.  The dynamic behavior of the displacement and velocity of the system (29) with the parameter $ \gamma = -2 $

    Figure 4.  The evolution of the energy of the system (29)

  • [1] F. Alabau-Boussouira, A unified approach via convexity for optimal energy decay rates of finite and infinite dimensional vibrating damped systems with applications to semi-discretized vibrating damped systems, Journal of Differential Equations, 248 (2010), 1473-1517.  doi: 10.1016/j.jde.2009.12.005.
    [2] K. Ammari and M. Tucsnak, Stabilization of second order evolution equations by a class of unbounded feedbacks, ESAIM: Control, Optimisation and Calculus of Variations, 6 (2001), 361-386.  doi: 10.1051/cocv:2001114.
    [3] K. Ammari and M. Tucsnak, Stabilization of bernoulli–euler beams by means of a pointwise feedback force, SIAM Journal on Control and Optimization, 39 (2000), 1160-1181.  doi: 10.1137/S0363012998349315.
    [4] L. Berrahmoune, Stabilization of beams with nonlinear feedback, SIAM Journal on Control and Optimization, 41 (2002), 1166-1193.  doi: 10.1137/S036301290138852X.
    [5] M. M. CavalcantiF. R. Dias Silva and V. N. D. Cavalcanti, Uniform decay rates for the wave equation with nonlinear damping locally distributed in unbounded domains with finite measure, SIAM Journal on Control and Optimization, 52 (2014), 545-580.  doi: 10.1137/120862545.
    [6] G. ChenS. FullingF. Narcowich and S. Sun, Exponential decay of energy of evolution equations with locally distributed damping, SIAM Journal on Applied Mathematics, 51 (1991), 266-301.  doi: 10.1137/0151015.
    [7] Y. Cheng, Y. Wu, B.-Z. Guo and Y. Wu, Stabilization and decay rate estimation for axially moving kirchhoff-type beam with rotational inertia under nonlinear boundary feedback controls, Automatica, 163 (2024), Paper No. 111597, 14 pp.
    [8] L. Ezzaki and E. H. Zerrik, Stabilisation of second-order bilinear and semilinear systems, International Journal of Control, 94 (2021), 3483-3490.  doi: 10.1080/00207179.2020.1770335.
    [9] M. GhisiM. Gobbino and A. Haraux, The remarkable effectiveness of time-dependent damping terms for second order evolution equations, SIAM Journal on Control and Optimization, 54 (2016), 1266-1294.  doi: 10.1137/15M1029485.
    [10] A. Haraux, Une remarque sur la stabilisation de certains systèmes du deuxième ordre en temps. (a remark on the stabilization of certain time-dependent systems of second order), Portugaliae Mathematica, 46 (1989), 245-258. 
    [11] A. E. Ingham, Some trigonometrical inequalities with applications to the theory of series, Mathematische Zeitschrift, 41 (1936), 367-379.  doi: 10.1007/BF01180426.
    [12] V. Komornik, On the exact internal controllability of a petrowsky system, Journal de Mathématiques Pures et Appliquées, 71 (1992), 331-342.
    [13] I. Lasiecka and D. Tataru, Uniform boundary stabilization of semilinear wave equation with nonlinear boundary damping, Differential and Integral Equations, 6 (1993), 507-533.  doi: 10.57262/die/1370378427.
    [14] J.-R. Luo and T.-J. Xiao, Optimal energy decay rates for abstract second order evolution equations with non-autonomous damping, ESAIM: Control, Optimisation and Calculus of Variations, 27 (2021), Paper No. 59, 24 pp. doi: 10.1051/cocv/2021047.
    [15] P. Martinez and J. Vancostenoble, Exponential stability for the wave equation with weak nonmonotone damping, Portugaliae Mathematica, 57 (2000), 285-310. 
    [16] L. T. Tebou, Equivalence between observability and stabilization for a class of second order semilinear evolution, Discrete Contin. Dyn. Syst., 2009 (2009), 744-752. 
    [17] C. Travis and G. Webb, Cosine families and abstract nonlinear second order differential equations, Acta Mathematica Hungarica, 32 (1978), 75-96.  doi: 10.1007/BF01902205.
    [18] C. Travis and G. Webb, Second order differential equations in banach space, Nonlinear Equations in Abstract Spaces (Proc. Internat. Sympos., Univ. Texas, Arlington, Tex., 1977), Academic Press, Inc. [Harcourt Brace Jovanovich, Publishers], New York-London, 1978,331-361. doi: 10.1016/B978-0-12-434160-9.50025-4.
    [19] M. Tucsnak and G. Weiss, Observation and Control for Operator Semigroups, Birkhäuser Adv. Texts Basler Lehrbücher[Birkhäuser Advanced Texts: Basel Textbooks], Birkhäuser Verlag, Basel, 2009.
    [20] E. Zuazua, Stability and decay for a class of nonlinear hyperbolic problems, Asymptotic Analysis, 1 (1988), 161-185.  doi: 10.3233/ASY-1988-1205.
  • 加载中

Figures(4)

SHARE

Article Metrics

HTML views(2711) PDF downloads(242) Cited by(0)

Access History

Other Articles By Authors

Catalog

    /

    DownLoad:  Full-Size Img  PowerPoint
    Return
    Return