\`x^2+y_1+z_12^34\`
Advanced Search
Article Contents
Article Contents

Stabilization and parameter estimation for 1-D wave equation with variable coefficients and uncertain harmonic disturbances

  • *Corresponding author: Xiu-Fang Yu

    *Corresponding author: Xiu-Fang Yu 
Abstract / Introduction Full Text(HTML) Figure(2) Related Papers Cited by
  • In this paper, we consider the adaptive boundary stabilization problem for a one-dimensional wave equation with variable coefficients that is subject to general harmonic disturbances at the controlled end. Motivated by the existing related works, this paper develops the adaptive boundary stabilization for the wave equation with variable coefficients in question. First, an adaptive boundary feedback controller is developed in two steps by adaptive and Lyapunov method. Then, it is proved that the closed-loop system is well-posed and asymptotically stable, with the aid of the semigroup approach and LaSalle's invariance principle, respectively. Moreover, the parameter estimates involved in the proposed controller are shown to ultimately converge to their own real values. Finally, the numerical experiments are carried out to show the effectiveness of the proposed scheme.

    Mathematics Subject Classification: Primary: 93C20, 93D15; Secondary: 35L05, 35Q93.

    Citation:

    \begin{equation} \\ \end{equation}
  • 加载中
  • Figure 1.  The solution $ w(x, t) $ of the closed-loop system (65)

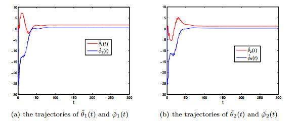
    Figure 2.  The estimates to the parameters $ \hat{\theta}_{1}(t) $, $ \hat{\varphi}_{1}(t) $ and $ \hat{\theta}_{2}(t) $, $ \hat{\varphi}_{2}(t) $

  • [1] F. Alabau-BoussouiraP. Cannarsa and G. Leugering, Control and stabilization of degenerate wave equations, SIAM J. Control Optim., 55 (2017), 2052-2087.  doi: 10.1137/15M1020538.
    [2] H. CuiY. Chen and G. Q. Xu, Stabilization for Schrödinger equation with internal damping and boundary disturbance, J. Dyn. Control Syst., 28 (2022), 971-987.  doi: 10.1007/s10883-021-09564-z.
    [3] J. Deutscher and S. Kerschbaum, Output regulation for coupled linear parabolic PIDEs, Automatica J. IFAC, 100 (2019), 360-370.  doi: 10.1016/j.automatica.2018.11.033.
    [4] W. Guo and B. Z. Guo, Parameter estimation and stabilisation for a one-dimensional wave equation with boundary output constant disturbance and non-collocated control, Internat. J. Control, 84 (2011), 381-395.  doi: 10.1080/00207179.2011.557092.
    [5] Y. N. Jia and J. J. Liu, Output feedback stabilization of an ODE-Schrödinger cascade system subject to boundary control matched unknown disturbance, J. Dyn. Control Syst., 26 (2020), 393-405.  doi: 10.1007/s10883-019-09461-6.
    [6] M. KrsticB. Z. GuoA. Balogh and A. Smyshlyaev, Output-feedback stabilization of an unstable wave equation, Automatica J. IFAC, 44 (2008), 63-74.  doi: 10.1016/j.automatica.2007.05.012.
    [7] J. Lagnese, Control of wave processes with distributed controls supported on a subregion, SIAM J. Control Optim., 21 (1983), 68-85.  doi: 10.1137/0321004.
    [8] Y. J. Li and J. J. Liu, Performance output tracking for an ODE cascaded with Schrödinger equation subject to disturbances, J. Dyn. Control Syst., 29 (2023), 901-917.  doi: 10.1007/s10883-022-09631-z.
    [9] Z. H. Luo, B. Z. Guo and O. Morgul, Stability and Stabilization of Infinite Dimensional Systems with Applications, Communications and Control Engineering Series, Springer-Verlag London, Ltd., London, 1999. doi: 10.1007/978-1-4471-0419-3.
    [10] A. Marica and E. Zuazua, Boundary stabilization of numerical approximations of the 1-D variable coefficients wave equation: A numerical viscosity approach, Lect. Notes Comput. Sci. Eng., 101 (2014), 285-324.  doi: 10.1007/978-3-319-08025-3_9.
    [11] A. SmyshlyaevE. Cerpa and M. Krstic, Boundary stabilization of a 1-D wave equation with in-domain antidamping, SIAM J. Control Optim., 48 (2010), 4014-4031.  doi: 10.1137/080742646.
    [12] A. Smyshlyaev and M. Krstic, Boundary control of an anti-stable wave equation with anti-damping on the uncontrolled boundary, Systems Control Lett., 58 (2009), 617-623.  doi: 10.1016/j.sysconle.2009.04.005.
    [13] H. S. Tsien, Engineering Cybernetics, McGraw-Hill, 1954.
    [14] X. H. Wu, H. Feng and B. Z. Guo, Output feedback stabilization for 1-D wave equation with variable coefficients and non-collocated observation, Systems Control Lett., 145 (2020), 104780, 10 pp. doi: 10.1016/j.sysconle.2020.104780.
    [15] E. Zeidler, Nonlinear Functional Analysis and its Applications. III, Variational Methods and Optimization, Translated from the German by Leo F. Boron, Springer-Verlag, New York, 1985.
    [16] Z. X. ZhaoB. Z. Guo and Z. J. Han, Boundary control and observation to inverse coefficient problem for heat equation with unknown source and initial value, IEEE Trans. Automat. Control, 66 (2021), 6003-6010.  doi: 10.1109/TAC.2021.3058905.
  • 加载中

Figures(2)

SHARE

Article Metrics

HTML views(1802) PDF downloads(194) Cited by(0)

Access History

Other Articles By Authors

Catalog

    /

    DownLoad:  Full-Size Img  PowerPoint
    Return
    Return