\`x^2+y_1+z_12^34\`
Advanced Search
Article Contents
Article Contents

Optimal positioning in derivative securities in incomplete markets

  • *Corresponding author: Matthew Lorig

    *Corresponding author: Matthew Lorig 
Abstract / Introduction Full Text(HTML) Figure(3) Related Papers Cited by
  • This paper analyzes a problem of optimal static hedging using derivatives in incomplete markets. The investor is assumed to have a risk exposure to two underlying assets. The hedging instruments are vanilla options written on a single underlying asset. The hedging problem is formulated as a utility maximization problem whereby the form of the optimal static hedge is determined. Among our results, a semi-analytical solution for the optimizer is found through variational methods for exponential, power/logarithmic, and quadratic utility. When vanilla options are available for each underlying asset, the optimal solution is related to the fixed points of a Lipschitz map. In the case of exponential utility, there is only one such fixed point, and subsequent iterations of the map converge to it.

    Mathematics Subject Classification: 91-08, 91G10, 91G20, 91G99.

    Citation:

    \begin{equation} \\ \end{equation}
  • 加载中
  • Figure 1.  For the model considered in Example 8, we plot $ f^*(\log s) $ (solid line) and $ h(\log s,1/ \lambda) $ (dashed line) as a function of $ s $. Model parameters in the plot are as follows: $ \lambda = 1/(0.1)^2 $, $ \nu = 1/(0.15)^2 $, $ \mu = 0,1 $ and $ T = 1.0 $. For the case of exponential utility, we set $ \gamma = 2 $ and the cost constraint equal to the price of the option sold $ c = \widetilde{\mathbb{E}} h(X_T,Y_T) $. In the case of mean-variance maximization, we set $ \gamma = 0 $, and the cost constraint is given by $ c = \int \mathrm{d} x \, \widetilde{p}_X(x) \int \mathrm{d} y \, \frac{ p_{X,Y}(x,y) }{ p_X(x) } h(x,y) + \gamma - \Big| \int \mathrm{d} x \int \mathrm{d} y \, \widetilde{p}_{X,Y}(x,y) h(x,y) \Big| , $ which guarantees that $ f^* $ is given by (22)

    Figure 2.  The yellow dot is the vector $ h $. The blue plane is the space spanned by $ X_T $ and $ Y_T $, which are represented by the blue and yellow dots respectively. The purple dots represent the sequence of portfolios obtained by iterating the operator $ \mathcal{H} $. When the algorithm stops, the coordinates of the last purple dot are in the proximity of the origin $ (0,0,0) $, showing that a perfect hedge is achieved

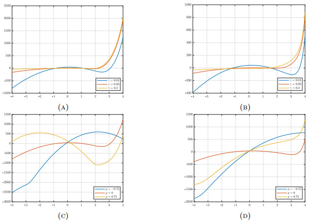
    Figure 3.  Figure (a) and Figure (b) show, respectively, the optimal $ f^* $ and $ g^* $ for Problem 2 with exponential utility and different values of $ \gamma $, and assuming that $ X_T $ and $ Y_T $ are jointly normally distributed with $ \mu $ and $ \Sigma $ as in equation (50) and $ \rho = -0.1 $. Figure (c) and Figure (d) depict the optimal $ f^* $ and $ g^* $ for different values of the correlation $ \rho $ between $ X_T $ and $ Y_T $, assuming that they are jointly normally distributed with $ \mu $ and $ \Sigma $ as in equation (50) and that utility is exponential with $ \gamma = 0.01 $

  • [1] A. Admati and  M. HellwigThe Banker's New Clothes, Princeton University Press, 2024.  doi: 10.2307/jj.2036760.
    [2] D. T. Breeden and R. H. Litzenberger, Prices of state-contingent claims implicit in option prices, The Journal of Business, 51 (1978), 621–651 doi: 10.1086/296025.
    [3] R. Carmona, Editor, Indifference Pricing: Theory and Applications, Princeton University Press, 2009. doi: 10.1515/9781400833115.
    [4] P. Carr, K. Ellis and V. Gupta, Static hedging of exotic options, Journal of Finance, 53 (1998), 1165-1190 doi: 10.1111/0022-1082.00048.
    [5] P. Carr and D. Madan, Optimal positioning in derivative securities, Quantitative Finance, 1 (2001), 19-37
    [6] P. Carr and D. Madan, Towards a theory of volatility trading, Options pricing, interest rates and risk management, Handbook in Mathematical Finance, 22 (2001), 498-476. 
    [7] P. Carr and S. Nadtochiy, Static hedging under time-homogeneous diffusions, SIAM Journal on Financial Mathematics, 2 (2011), 794–838 doi: 10.1137/100818303.
    [8] P. Carr and L. Wu, Static hedging of standard options, Journal of Financial Econometrics, 12 (2014), 3–46.
    [9] P. Cheridito and T. Li, Risk measures on Orlicz hearts, Mathematical Finance, 19 (2009), 189-214.  doi: 10.1111/j.1467-9965.2009.00364.x.
    [10] J. Cochrane and J. Saà Requejo, Beyond arbitrage: Good deal asset price bounds in incomplete markets, Journal of Political Economy, 108 (2000), 79-119.  doi: 10.1086/262112.
    [11] H. Follmer and H. Schied, Stochastic Finance: An Introduction in Discrete Time, 2004, de Gruyter doi: 10.1515/9783110212075.
    [12] P. Hartman, On functions representable as the difference of convex functions, Pacific Journal of Mathematics, 9 (1959).
    [13] D. HobsonP. Laurence and T.-H. Wang, Static-arbitrage upper bounds for the prices of basket options, Quantitative Finance, 5 (2005), 329-342.  doi: 10.1080/14697680500151392.
    [14] A. IlhanM. Jonsson and R. Sircar, Optimal investment with derivative securities, Finance and Stochastics, 9 (2005), 585-595.  doi: 10.1007/s00780-005-0154-y.
    [15] A. Ilhan and R. Sircar, Optimal static-dynamic hedges for barrier options, Mathematical Finance, 16 (2006), 359-385.  doi: 10.1111/j.1467-9965.2006.00275.x.
    [16] A. Latif, Banach contraction principle and its generalizations, Topics in Fixed Point Theory, (2014), 33-64.
    [17] T. Leung and M. Lorig, Optimal static quadratic hedging, Quantitative Finance, 16 (2016), 1341-1355.  doi: 10.1080/14697688.2016.1161229.
    [18] T. Leung and R. Sircar, Exponential hedging with optimal stopping and application to employee stock option valuation, SIAM Journal Control and Optimization, 48 (2009), 1422-1451. 
    [19] D. Madan and A. Cherny, Markets as counterparty: an introduction to conic finance, International Journal of Theoretical and Applied Finance, 13 (2010), 1149-1177.  doi: 10.1142/S0219024910006157.
    [20] D. Madan, Y. Shirai and K. Wang, Capital structure design, SSRN preprint, (2024) doi: 10.2139/ssrn.4912408.
    [21] T. Pennanen and U. Rakwongwan, Optimal semi-static hedging in illiquid markets, preprint, 2020.
    [22] R. T. Rockafellar, Convex Analysis, Princeton University Press 1970. doi: 10.1515/9781400873173.
    [23] Y. Shirai, Extreme measures in continuous time conic finance, Frontiers of Mathematical Finance, 3 (2024), 1-30. 
  • 加载中
Open Access Under a Creative Commons license

Figures(3)

SHARE

Article Metrics

HTML views(3062) PDF downloads(207) Cited by(0)

Access History

Other Articles By Authors

Catalog

    /

    DownLoad:  Full-Size Img  PowerPoint
    Return
    Return