\`x^2+y_1+z_12^34\`
Advanced Search
Article Contents
Article Contents

Edge detection with mixed noise based on maximum a posteriori approach

The first author is supported by Beijing Natural Science Foundation (No. Z200001).

Abstract / Introduction Full Text(HTML) Figure(14) / Table(3) Related Papers Cited by
  • Edge detection is an important problem in image processing, especially for mixed noise. In this work, we propose a variational edge detection model with mixed noise by using Maximum A-Posteriori (MAP) approach. The novel model is formed with the regularization terms and the data fidelity terms that feature different mixed noise. Furthermore, we adopt the alternating direction method of multipliers (ADMM) to solve the proposed model. Numerical experiments on a variety of gray and color images demonstrate the efficiency of the proposed model.

    Mathematics Subject Classification: Primary: 68U10.

    Citation:

    \begin{equation} \\ \end{equation}
  • 加载中
  • Figure 1.  Comparisons of three different clean images without noise. Column 1: the original clean images; Column 2: detected edges; Column 3: restored images.

    Figure 2.  Comparisons of two images with Gaussian noise and salt & pepper noise. Column 1: noisy images; Column 2: detected edges; Column 3: restored images.

    Figure 3.  Comparisons of two images with Laplace noise and Gaussian noise. Column 1: noisy images; Column 2: detected edges; Column 3: restored images.

    Figure 4.  Comparisons of two images with RVIN and Gaussian noise. Column 1: noisy images; Column 2: detected edges; Column 3: restored images.

    Figure 5.  Comparisons of color image with Gaussian noise and salt & pepper noise. Column 1: noisy images; Column 2: detected edges; Column 3: restored images.

    Figure 6.  Comparisons of color image with Laplace noise and Gaussian noise. Column 1: noisy images; Column 2: detected edges; Column 3: restored images.

    Figure 7.  Comparisons of color images with RVIN and Gaussian noise. Column 1: noisy images; Column 2: detected edges; Column 3: restored images.

    Figure 8.  Comparisons of the two models with G1 and SP1. Column 1: noisy images; Column 2: detected edges; Column 3: restored images.

    Figure 11.  Results with different λ and λ1.

    Figure 12.  Results with different α and β.

    Figure 13.  Results with different r.

    Figure 9.  Comparisons of the two models with G1 and L1. Column 1: noisy images; Column 2: detected edges; Column 3: restored images.

    Figure 10.  Comparisons of the two models with G1 and R1. Column 1: noisy images; Column 2: detected edges; Column 3: restored images.

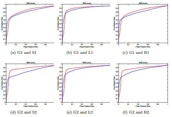
    Figure 14.  ROC curves using the two models (28) and (29) with three different mixed noise.

    Table 1.  AUC of two models with different mixed noise

    noise G1 and S1 G1 and L1 G1 and R1 G2 and S2 G2 and L2 G2 and R2
    model (28) 0.8095 0.8872 0.8025 0.8415 0.8503 0.8305
    model (29) 0.8254 0.8897 0.8273 0.8844 0.8801 0.8683
     | Show Table
    DownLoad: CSV

    Table 2.  Running times of two models with different mixed noise

    noise G1 and S1 G1 and L1 G1 and R1 G2 and S2 G2 and L2 G2 and R2
    model (28) 2.83 2.87 2.88 3.02 2.85 2.87
    model (29) 2.61 2.37 2.40 2.27 2.25 2.32
     | Show Table
    DownLoad: CSV

    Table 3.  Iteration numbers of two models with different mixed noise

    noise G1 and S1 G1 and L1 G1 and R1 G2 and S2 G2 and L2 G2 and R2
    model (28) 88 70 93 75 73 91
    model (29) 74 65 81 68 60 80
     | Show Table
    DownLoad: CSV
  • [1] S. Alex, (nonlocal) Total variation in medical imaging, PhD Thesis, Univeristy of Muenster, Germany.
    [2] L. AlvarezP.-L. Lions and J.-M. Morel, Image selective smoothing and edge detection by nonlinear diffusion Ⅱ, SIAM J. Numer. Anal., 29 (1992), 845-866.  doi: 10.1137/0729052.
    [3] L. Ambrosio and V. Tortorelli, Approximation of functions depending on jumps by elliptic functions via $\Gamma$-convergence, Comm. Pure Appl. Math., 43 (1990), 999-1036.  doi: 10.1002/cpa.3160430805.
    [4] L. Ambrosio and V. Tortorelli, On the approximation of functionals depending on jumps by quadratic, elliptic functions, Boll. Un. Mat. Ital., 6 (1992), 105-123. 
    [5] N. Badshah and K. Chen, Image selective segmentation under geometrical constraints using an active contour approach, Commun. Compu. Phys., 7 (2010), 759-778.  doi: 10.4208/cicp.2009.09.026.
    [6] K. Bowyer, C. Kranenburg and S. Dougherty, Edge detector evaluation using empirical ROC curves, Proceedings. 1999 IEEE Computer Society Conference on Computer Vision and Pattern Recognition (Cat. No PR00149), Fort Collins, CO, USA, 1 (1999), 354–359. doi: 10.1109/CVPR.1999.786963.
    [7] A. BrookR. Kimmel and N. A. Sochen, Variational restoration and edge detection for color images, J. Math. Imaging Vision, 18 (2003), 247-268.  doi: 10.1023/A:1022895410391.
    [8] J.-F. CaiR. H. Chan and M. Nikolova, Two-phase approach for deblurring images corrupted by impulse plus Gaussian noise, Inverse Probl. Imaging, 2 (2008), 187-204.  doi: 10.3934/ipi.2008.2.187.
    [9] L. CalatroniJ. C. De Los Reyes and C.-B. Schönlieb, Infimal convolution of data discrepancies for mixed noise removal, SIAM J. Imaging Sci., 10 (2017), 1196-1233.  doi: 10.1137/16M1101684.
    [10] L. Calatroni and K. Papafitsoros, Analysis and automatic parameter selection of a variational model for mixed Gaussian and salt-and-pepper noise removal, Inverse Problems, 35 (2019), 114001, 37 pp. doi: 10.1088/1361-6420/ab291a.
    [11] J. Canny, A computational approach to edge detection, IEEE T. Pattern Anal., PAMI-8 (1986), 679-698. 
    [12] V. Caselles, R. Kimmel and G. Sapiro, Geodesic active contours, Proceedings of IEEE International Conference on Computer Vision, Cambridge, MA, USA, (1995), 694–699. doi: 10.1109/ICCV.1995.466871.
    [13] F. CattéP.-L. LionsJ.-M. Morel and T. Coll, Image selective smoothing and edge detection by nonlinear diffusion, SIAM J. Numer. Anal., 29 (1992), 182-193.  doi: 10.1137/0729012.
    [14] R. H. Chan and J. Ma, A multiplicative iterative algorithm for box-constrained penalized likelihood image restoration, IEEE Trans. Image Process., 21 (2012), 3168-3181.  doi: 10.1109/TIP.2012.2188811.
    [15] E. ChouzenouxA. JezierskaJ.-C. Pesquet and H. Talbot, A convex approach for image restoration with exact Poisson-Gaussian likelihood, SIAM J. Imaging Sci., 8 (2015), 2662-2682.  doi: 10.1137/15M1014395.
    [16] R. Deriche, Using Canny's criteria to derive a recursively implemented optimal edge detector, Int. J. Comput. Vis., 1 (1987), 167-187.  doi: 10.1007/BF00123164.
    [17] M. Hintermüller and A. Langer, Subspace correction methods for a class of nonsmooth and nonadditive convex variational problems with mixed $l^1/l^2$ data-fidelity in image processing, SIAM J. Imaging Sci., 6 (2013), 2134-2173.  doi: 10.1137/120894130.
    [18] T. JiaY. ShiY. Zhu and L. Wang, An image restoration model combining mixed l1/l2 fidelity terms, J. Vis. Commun. Image. R., 38 (2016), 461-473.  doi: 10.1016/j.jvcir.2016.03.022.
    [19] M. KassA. Witkin and D. Terzopoulos, Snakes: Active contour models, Int. J. Comput. Vis., 1 (1988), 321-331.  doi: 10.1007/BF00133570.
    [20] E. Lćpez-Rubio, Restoration of images corrupted by gaussian and uniform impulsive noise, Pattern Recogn., 43 (2010), 1835–1846, http://www.sciencedirect.com/science/article/pii/S0031320309004361.
    [21] B. Llanas and S. Lantarón, Edge detection by adaptive splitting, J. Sci. Comput., 46 (2011), 486-518.  doi: 10.1007/s10915-010-9416-8.
    [22] R. J. MarksG. L. WiseD. H. Haldeman and J. L. Whited, Detection in Laplace noise, IEEE Transactions on Aerospace and Electronic Systems, 14 (1978), 866-872.  doi: 10.1109/TAES.1978.308550.
    [23] E. MeinhardtE. ZacurA. F. Frangi and V. Caselles, 3D edge detection by selection of level surface patches, J. Math. Imaging Vis., 34 (2009), 1-16.  doi: 10.1007/s10851-008-0118-x.
    [24] D. Mumford and J. Shah, Optimal approximations by piecewise smooth functions and associated variational problems, Comm. Pure Appl. Math., 42 (1989), 577-685.  doi: 10.1002/cpa.3160420503.
    [25] P. Perona and J. Malik, Scale-space and edge-detection using anisotropic diffusion, IEEE Transactions on Pattern Analysis and Machine Intelligence, 12 (1990), 629-639.  doi: 10.1109/34.56205.
    [26] T. Pock, D. Cremers, H. Bischof and A. Chambolle, An algorithm for minimizing the Mumford-Shah functional, in 2009 IEEE 12th International Conference on Computer Vision, Kyoto, Japan, (2009), 1133–1140. doi: 10.1109/ICCV.2009.5459348.
    [27] L. I. RudinS. Osher and E. Fatemi, Nonlinear total variation based noise removal algorithms, Physica D., 60 (1992), 259-268.  doi: 10.1016/0167-2789(92)90242-F.
    [28] Y. Shi and Q. Chang, Acceleration methods for image restoration problem with different boundary conditions, Appl. Numer. Math., 58 (2008), 602-614.  doi: 10.1016/j.apnum.2007.01.007.
    [29] Y. ShiY. GuL.-L. Wang and X.-C. Tai, A fast edge detection algorithm using binary labels, Inverse Probl. Imaging, 9 (2015), 551-578.  doi: 10.3934/ipi.2015.9.551.
    [30] Y. ShiZ. HuoJ. Qin and Y. Li, Automatic prior shape selection for image edge detection with modified Mumford-Shah model, Comput. Math. Appl., 79 (2020), 1644-1660.  doi: 10.1016/j.camwa.2019.09.021.
    [31] S. Smith, Edge thinning used in the SUSAN edge detector, Technical Report, TR95SMS5.
    [32] W. TaoF. ChangL. LiuH. Jin and T. Wang, Interactively multiphase image segmentation based on variational formulation and graph cuts, Pattern Recogn., 43 (2010), 3208-3218.  doi: 10.1016/j.patcog.2010.04.014.
    [33] L.-L. Wang, Y. Shi and X.-C. Tai, Robust edge detection using Mumford-Shah model and binary level set method, the Third International Conference on Scale Space and Variational Methods in Computer Vision (SSVM2011), Springer, Berlin, Heidelberg, 6667 (2012), 291–301. doi: 10.1007/978-3-642-24785-9_25.
  • 加载中

Figures(14)

Tables(3)

SHARE

Article Metrics

HTML views(3348) PDF downloads(294) Cited by(0)

Access History

Other Articles By Authors

Catalog

    /

    DownLoad:  Full-Size Img  PowerPoint
    Return
    Return