\`x^2+y_1+z_12^34\`
Advanced Search
Article Contents
Article Contents

Imaging of conductivity distribution based on a combined reconstruction method in brain electrical impedance tomography

  • *Corresponding author: Meng Wang, Feng Fu

    *Corresponding author: Meng Wang, Feng Fu 
Abstract / Introduction Full Text(HTML) Figure(13) / Table(3) Related Papers Cited by
  • Electrical impedance tomography (EIT) is a promising technique in medical imaging. With this technique, pathology-related conductivity variation can be visualized. Nevertheless, reconstruction of conductivity distribution is a severely ill-posed inverse problem which poses a great challenge for the EIT technique. Especially in brain EIT, irregular and multi-layered head structure along with low-conductivity skull brings more difficulties for accurate reconstruction. To address such problems, a novel reconstruction method which combines Tikhonov regularization with denoising algorithm is proposed for imaging conductivity distribution in brain EIT. With the proposed method, image reconstruction of intracerebral hemorrhage in different brain lobes of a three-layer head model is conducted. Besides, simultaneous reconstruction of intracerebral hemorrhage and secondary ischemia is performed. Meanwhile, the impact of noise is investigated to evaluate the anti-noise performance. In addition, image reconstructions under head shape deformation are performed. The proposed reconstruction method is also quantitatively estimated by calculating blur radius and structural similarity. Phantom experiments are carried out to further verify the effectiveness of the proposed method. Both qualitative and quantitative results have demonstrated that the proposed combined method is superior to Tikhonov regularization in imaging conductivity distribution. This work would provide an alternative for accurate reconstruction in EIT based medical imaging.

    Mathematics Subject Classification: Primary: 78A46.

    Citation:

    \begin{equation} \\ \end{equation}
  • 加载中
  • Figure 1.  Sensor configuration in brain EIT. The colorbar represents electric potential distribution

    Figure 2.  Illustration of a three-layer head model

    Figure 3.  Reconstructed images for simulated ICH in different lobes. The first row displays the location of the ICH. The second and third rows are the reconstructed images with Tikhonov method and the proposed method, respectively

    Figure 4.  Quantitative evaluation of four models (Model 1 to Model 4) in reconstructing ICH. (a) Blur radius; (b) Structural similarity

    Figure 5.  Reconstructed images for ICH and secondary ischemia of five models (Model 5 to Model 9). The second row displays the reconstruction based on the traditional Tikhonov method. The third row and the fourth row show the reconstructed images of ICH and secondary ischemia, respectively. The last row presents the reconstructed images of simultaneous ICH and secondary ischemia

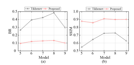
    Figure 6.  Quantitative evaluation of five models (Model 5 to Model 9) in the simultaneous reconstruction. (a) Blur radius; (b) Structural similarity

    Figure 7.  Reconstructed images for ICH in different lobes under the impact of noise. The first row displays the location of the ICH. The second and third rows are the reconstructed images with Tikhonov method and the proposed method, respectively

    Figure 8.  Quantitative evaluation of four models (Model 1 to Model 4) under the impact of noise. (a) Blur radius; (b) Structural similarity

    Figure 9.  Reconstructed images for ICH and secondary ischemia of five models (Model 5 to Model 9) under the impact of noise. The second row displays the reconstruction based on the traditional Tikhonov method. The last row presents the reconstructed images of simultaneous ICH and secondary ischemia

    Figure 10.  Quantitative evaluation of five models (Model 5 to Model 9) under the impact of noise. (a) Blur radius; (b) Structural similarity

    Figure 11.  Reconstructed images of ICH for four cases of head shape deformations

    Figure 12.  A laboratory EIT system and phantom head model

    Figure 13.  Reconstructed images based on phantom experiment

    Table 1.  Comparison of computational time

    Method Time/s
    Model 1 Model 2 Model 3 Model 4 Model 5 Model 6 Model 7 Model 8 Model 9
    Tikhonov 1.256 1.194 1.279 1.263 2.582 2.677 2.489 2.882 2.546
    Proposed 2.467 2.339 2.845 2.642 3.936 4.023 3.962 4.113 3.875
     | Show Table
    DownLoad: CSV

    Table 2.  Comparison of BR and SSIM values under head shape deformation

    Cases Tikhonov Proposed
    BR/SSIM BR/SSIM
    A 0.5219/0.6943 0.0884/0.8275
    B 0.5844/0.5012 0.0827/0.8195
    C 0.4948/0.5686 0.0834/0.8655
    D 0.4876/0.6453 0.0847/0.8776
     | Show Table
    DownLoad: CSV

    Table 3.  The values of BR and SSIM for four phantoms

    Phantom Tikhonov Proposed
    BR/SSIM BR/SSIM
    A 0.4196/0.7174 0.1230/0.8654
    B 0.5629/0.5914 0.0629/0.8765
    C 0.4882/0.5817 0.0657/0.8740
    D 0.4733/0.7167 0.0729/0.8852
     | Show Table
    DownLoad: CSV
  • [1] H. AbduF. Tadese and G. Seyoum, Comparison of ischemic and hemorrhagic stroke in the medical ward of dessie referral hospital, northeast Ethiopia: A retrospective study, Neurol. Res. Int., 2021 (2021), 9996958.  doi: 10.1155/2021/9996958.
    [2] J. P. Agnelli, et al., Classification of stroke using neural networks in electrical impedance tomography, Inverse Probl., 36 (2020), 115008.  doi: 10.1088/1361-6420/abbdcd.
    [3] J. AveryK. AristovichB. Low and D. Holder, Reproducible 3D printed head tanks for electrical impedance tomography with realistic shape and conductivity distribution, Physiol. Meas., 38 (2017), 1116-1131.  doi: 10.1088/1361-6579/aa6586.
    [4] G. Boverman, et al., Detection of small bleeds in the brain with electrical impedance tomography, Physiol. Meas., 37 (2016), 727-750.  doi: 10.1088/0967-3334/37/6/727.
    [5] Y. BruninC. DespresS. Pili-Floury and G. Besch, Lung recruiting effect of prone positioning in spontaneously breathing patients with COVID-19 assessed by electrical impedance tomography, Amer. J. Respiratory Crit. Care Med., 204 (2021), 476-477.  doi: 10.1164/rccm.202008-3044IM.
    [6] V. Candiani, A. Hannukainen and N. Hyvonen, Computational framework for applying electrical impedance tomography to head imaging, SIAM J. Sci. Comput., 41 (2019), B1034-B1060. doi: 10.1137/19M1245098.
    [7] V. CandianiN. HyvonenJ. P. Kaipio and V. Kolehmainen, Approximation error method for imaging the human head by electrical impedance tomography, Inverse Probl., 37 (2021), 125008.  doi: 10.1088/1361-6420/ac346a.
    [8] V. Candiani and M. Santacesaria, Neural networks for classification of stroke in electrical impedance tomography on a 3D head model, Math. Eng., 4 (2022), Paper No. 029, 22 pp. doi: 10.3934/mine.2022029.
    [9] Z. Chen and Y. Yang, Structure-aware dual-branch network for electrical impedance tomography in cell culture imaging, IEEE Trans. Instrum. Meas., 70 (2021), 1-9.  doi: 10.1109/TIM.2021.3092524.
    [10] K.-S. ChengD. IsaacsonJ. C. Newell and D. G. Gisser, Electrode models for electric current computed tomography, IEEE Trans. Biomed. Eng., 36 (1989), 918-924.  doi: 10.1109/10.35300.
    [11] C. CordonnierA. DemchukW. Ziai and C. Anderson, Intracerebral haemorrhage: Current approaches to acute management, Lancet, 392 (2018), 1257-1268.  doi: 10.1016/S0140-6736(18)31878-6.
    [12] A. DanielyanV. Katkovnik and K. Egiazarian, BM3D frames and variational image deblurring, IEEE Trans. Image Process., 21 (2012), 1715-1728.  doi: 10.1109/TIP.2011.2176954.
    [13] T. DowrickC. Blochet and D. Holder, In vivo bioimpedance measurement of healthy and ischaemic rat brain: Implications for stroke imaging using electrical impedance tomography, Physiol. Meas., 36 (2015), 1273-1282.  doi: 10.1088/0967-3334/36/6/1273.
    [14] Y. Ge, et al., Enhancing the X-Ray differential phase contrast image quality with deep learning technique, IEEE Trans. Biomed. Eng., 68 (2021), 1751-1758.  doi: 10.1109/TBME.2020.3011119.
    [15] L. HuH. WangB. Zhao and W. Yang, A hybrid reconstruction algorithm for electrical impedance tomography, Meas. Sci. Technol., 18 (2007), 813-818.  doi: 10.1088/0957-0233/18/3/033.
    [16] A. JavaherianA. MovafeghiR. Faghihi and E. Yahaghi, An exhaustive criterion for estimating quality of images in electrical impedance tomography with application to clinical imaging, J. Vis. Commun. Image Represent., 24 (2013), 773-785.  doi: 10.1016/j.jvcir.2013.05.003.
    [17] M. JehlJ. AveryE. HolderD. Malone and T. Betcke, Correcting electrode modelling errors in EIT on realistic 3d head models, Physiol. Meas., 36 (2015), 2423-2442.  doi: 10.1088/0967-3334/36/12/2423.
    [18] Y. D. Jiang and M. Soleimani, Capacitively coupled electrical impedance tomography for brain imaging, IEEE Trans. Med. Imaging, 38 (2019), 2104-2113.  doi: 10.1109/TMI.2019.2895035.
    [19] R. KeepY. Hua and G. Xi, Intracerebral haemorrhage: Mechanisms of injury and therapeutic targets, Lancet Neurol., 11 (2012), 720-731.  doi: 10.1016/S1474-4422(12)70104-7.
    [20] H. Li, et al., Unveiling the development of intracranial injury using dynamic brain EIT: An evaluation of current reconstruction algorithms, Physiol. Meas., 38 (2017), 1776-1790.  doi: 10.1088/1361-6579/aa8016.
    [21] Z. LiJ. YuY. WangH. ZhouH. Yang and Z. Qiao, DeepVolume: Brain structure and spatial connection-aware network for brain MRI super-resolution, IEEE Trans. Cybern., 51 (2021), 3441-3454.  doi: 10.1109/TCYB.2019.2933633.
    [22] J. LiuL. LinW. Zhang and G. Li, A novel combined regularization algorithm of total variation and Tikhonov regularization for open electrical impedance tomography, Physiol. Meas., 34 (2013), 823-838.  doi: 10.1088/0967-3334/34/7/823.
    [23] S. LiuY. HuangH. WuC. Tan and J. Jia, Efficient multitask structure-aware sparse Bayesian learning for frequency-difference electrical impedance tomography, IEEE Trans. Industr. Inform., 17 (2021), 463-472.  doi: 10.1109/TII.2020.2965202.
    [24] X. Liu, et al., An iterative damped least-squares algorithm for simultaneously monitoring the development of hemorrhagic and secondary ischemic lesions in brain injuries, Med. Biol. Eng. Comput., 57 (2019), 1917-1931.  doi: 10.1007/s11517-019-02003-z.
    [25] E. Malone, et al., Stroke type differentiation using spectrally constrained multifrequency EIT: Evaluation of feasibility in a realistic head model, Physiol. Meas., 35 (2014), 1051-1066.  doi: 10.1088/0967-3334/35/6/1051.
    [26] F. Margotti, Mixed gradient-Tikhonov methods for solving nonlinear ill-posed problems in banach spaces, Inverse Probl., 32 (2016), 125012.  doi: 10.1088/0266-5611/32/12/125012.
    [27] S. Martin and C. T. M. Choi, Fast and accurate solution of the inverse problem for image reconstruction using electrical impedance tomography, IEEE Trans. Magn., 55 (2019), 1-4.  doi: 10.1109/TMAG.2019.2900349.
    [28] T. d. C. MartinsE. D. L. de CamargoR. G. LimaM. B. P. Amato and M. d. S. G. Tsuzuki, Image reconstruction using interval simulated annealing in electrical impedance tomography, IEEE Trans. Biomed. Eng., 59 (2012), 1861-1870.  doi: 10.1109/TBME.2012.2188398.
    [29] A. D. Mendelow, et al., Early surgery versus initial conservative treatment in patients with traumatic intracerebral hemorrhage (stitch [trauma]): The first randomized trial, J. Neurotrauma, 32 (2015), 1312-1323.  doi: 10.1089/neu.2014.3644.
    [30] M. M. Mellenthin, et al., The ACE1 electrical impedance tomography system for thoracic imaging, IEEE Trans. Instrum. Meas., 68 (2019), 3137-3150.  doi: 10.1109/TIM.2018.2874127.
    [31] F. S. MouraR. G. BeraldoL. A. Ferreira and S. Siltanen, Anatomical atlas of the upper part of the human head for electroencephalography and bioimpedance applications, Physiol. Meas., 42 (2021), 105015.  doi: 10.1088/1361-6579/ac3218.
    [32] A. NiX. DongG. YangF. Fu and C. Tang, Image reconstruction incorporated with the skull inhomogeneity for electrical impedance tomography, Comput. Med. Imaging Graph., 32 (2008), 409-415.  doi: 10.1016/j.compmedimag.2008.04.002.
    [33] A. NissinenJ. P. KaipioM. Vauhkonen and V. Kolehmainen, Contrast enhancement in EIT imaging of the brain, Physiol. Meas., 37 (2016), 1-24.  doi: 10.1088/0967-3334/37/1/1.
    [34] J. A. OnofreyL. H. Staib and X. Papademetris, Segmenting the brain surface from CT images with artifacts using locally oriented appearance and dictionary learning, IEEE Trans. Med. Imaging, 38 (2019), 596-607.  doi: 10.1109/TMI.2018.2868045.
    [35] A. S. Panayides, et al., AI in medical imaging informatics: Current challenges and future directions, IEEE J. Biomed. Health Inform., 24 (2020), 1837-1857.  doi: 10.1109/JBHI.2020.2991043.
    [36] S. Prabhakaran and A. Naidech, Ischemic brain injury after intracerebral hemorrhage a critical review, Stroke, 43 (2012), 2258-2263.  doi: 10.1161/STROKEAHA.112.655910.
    [37] S. RenK. SunD. Liu and F. Dong, A statistical shape-constrained reconstruction framework for electrical impedance tomography, IEEE Trans. Med. Imaging, 38 (2019), 2400-2410.  doi: 10.1109/TMI.2019.2900031.
    [38] X. Shi, et al., High-precision electrical impedance tomography data acquisition system for brain imaging, IEEE Sensors J., 18 (2018), 5974-5984.  doi: 10.1109/JSEN.2018.2836336.
    [39] X. Shi, et al., Experimental study on early detection of acute cerebral ischemic stroke using electrical impedance tomography method, World Congress on Medical Physics and Biomedical Engineering, Springer-Verlag, Berlin 2009,510-513. doi: 10.1007/978-3-642-03879-2_143.
    [40] Y. Shi, et al., A non-convex L1-norm penalty-based total generalized variation model for reconstruction of conductivity distribution, IEEE Sensors J., 20 (2020), 8137-8146.  doi: 10.1109/JSEN.2020.2981873.
    [41] Y. Shi, et al., Total variation regularization based on iteratively reweighted least-squares method for electrical resistance tomography, IEEE Trans. Instrum. Meas., 69 (2020), 3576-3586.  doi: 10.1109/TIM.2019.2938640.
    [42] Y. Shi, et al., Sparse image reconstruction of intracerebral hemorrhage with electrical impedance tomography, J. Med. Imaging, 8 (2021), 014501.  doi: 10.1117/1.JMI.8.1.014501.
    [43] N. Strodthoff, et al., Inferring respiratory and circulatory parameters from electrical impedance tomography with deep recurrent models, IEEE J. Biomed. Health Inform., 25 (2021), 3105-3111.  doi: 10.1109/JBHI.2021.3059016.
    [44] I. TarotinK. Aristovich and D. Holder, Model of impedance changes in unmyelinated nerve fibers, IEEE Trans. Biomed. Eng., 66 (2019), 471-484.  doi: 10.1109/TBME.2018.2849220.
    [45] A. T. TidswellA. GibsonR. H. Bayford and D. S. Holder, Electrical impedance tomography of human brain activity with a two-dimensional ring of scalp electrodes, Physiol. Meas., 22 (2001), 167-175.  doi: 10.1088/0967-3334/22/1/320.
    [46] T. Tirer and R. Giryes, Image restoration by iterative denoising and backward projections, IEEE Trans. Image Process., 28 (2019), 1220-1234.  doi: 10.1109/TIP.2018.2875569.
    [47] J. Toivanen, et al., Monitoring hemorrhagic strokes using EIT, Bioimpedance and Spectroscopy. Academic Press, (2021), 271-298. doi: 10.1016/B978-0-12-818614-5.00007-2.
    [48] P. J. VauhkonenM. VauhkonenT. Savolainen and J. P. Kaipio, Three-dimensional electrical impedance tomography based on the complete electrode model, IEEE Trans. Biomed. Eng., 46 (1999), 1150-1160.  doi: 10.1109/10.784147.
    [49] Z. WangA. C. BovikH. R. Sheikh and E. P. Simoncelli, Image quality assessment: From error visibility to structural similarity, IEEE Trans. Image Process., 13 (2004), 600-612.  doi: 10.1109/TIP.2003.819861.
    [50] Z. Wang, et al., An unsupervised method for evaluating electrical impedance tomography images, IEEE Trans. Instrum. Meas., 67 (2018), 2796-2803.  doi: 10.1109/TIM.2018.2831478.
    [51] C. Xu, et al., An optimized strategy for real-time hemorrhage monitoring with electrical impedance tomography, Physiol. Meas., 32 (2011), 585-598.  doi: 10.1088/0967-3334/32/5/007.
    [52] F. XuM. LiJ. Li and H. Jiang, Diagnostic accuracy and prognostic value of three-dimensional (3D) electrical impedance tomography imaging in patients with breast cancer, Gland Surg., 10 (2021), 2673-2685.  doi: 10.21037/gs-21-348.
    [53] L. Zhong, et al., Flexible prediction of CT images from MRI data through improved neighborhood anchored regression for PET attenuation correction, IEEE J. Biomed. Health Inform., 24 (2020), 1114-1124.  doi: 10.1109/JBHI.2019.2927368.
  • 加载中

Figures(13)

Tables(3)

SHARE

Article Metrics

HTML views(4500) PDF downloads(395) Cited by(0)

Access History

Catalog

    /

    DownLoad:  Full-Size Img  PowerPoint
    Return
    Return