\`x^2+y_1+z_12^34\`
Advanced Search
Article Contents
Article Contents

An inverse potential problem for the stochastic diffusion equation with a multiplicative white noise

  • *Corresponding author: Xu Wang

    *Corresponding author: Xu Wang

The first author is supported by the Natural Science Basic Research Program of Shaanxi (No. 2023-JC-YB-054). The second author is supported in part by the NSF grant DMS-2208256. The third author is supported by the NNSF of China (Nos. 11971470, 11871068, and 12288201).

Abstract / Introduction Full Text(HTML) Figure(8) Related Papers Cited by
  • This work concerns the direct and inverse potential problems for the stochastic diffusion equation driven by a multiplicative time-dependent white noise. The direct problem is to examine the well-posedness of the stochastic diffusion equation for a given potential, while the inverse problem is to determine the potential from the expectation of the solution at a fixed observation point inside the spatial domain. The direct problem is shown to admit a unique and positive mild solution if the initial value is nonnegative. Moreover, an explicit formula is deduced to reconstruct the square of the potential, which leads to the uniqueness of the inverse problem for nonnegative potential functions. Two regularization methods are utilized to overcome the instability of the numerical differentiation in the reconstruction formula. Numerical results show that the methods are effective to reconstruct both smooth and nonsmooth potential functions.

    Mathematics Subject Classification: 35K05, 35R30, 60H15, 80A23.

    Citation:

    \begin{equation} \\ \end{equation}
  • 加载中
  • Figure 1.  Example 1: the data function $ \psi(t) $ on $ [0,1] $ (top row) and the corresponding periodization $ \Psi(t) $ on $ [-1,2] $ (bottom row) at different noise levels ($ \epsilon = 0.5, 0.2, 0.1 $) with a fixed number of realizations ($ P = 10^6 $)

    Figure 2.  Example 1: the periodized data function $ \Psi(t) $ on $ [-1,2] $ with a different number of realizations ($ P = 10^4,10^5,10^6 $) at a fixed noise level ($ \epsilon = 0.5 $)

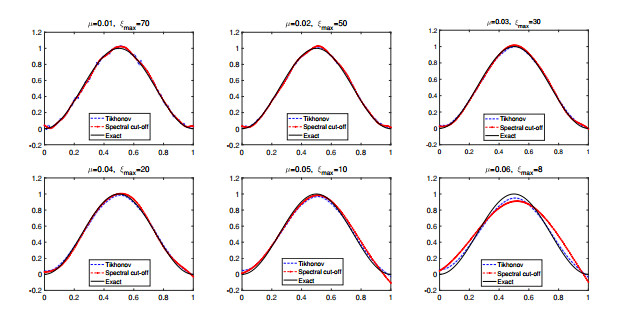
    Figure 3.  Example 1: the reconstruction of $ q^2 $ with different regularization parameters at a fixed noise level ($ \epsilon = 0.5 $) and a fixed number of realizations ($ P = 10^6 $)

    Figure 4.  Example 1: the reconstruction of $ q^2 $ with different regularization parameters at a fixed noise level ($ \epsilon = 0.2 $) and a fixed number of realizations ($ P = 10^6 $)

    Figure 5.  Example 1: the reconstruction of $ q^2 $ with different regularization parameters at a fixed noise level ($ \epsilon = 0.1 $) and a fixed number of realizations ($ P = 10^6 $)

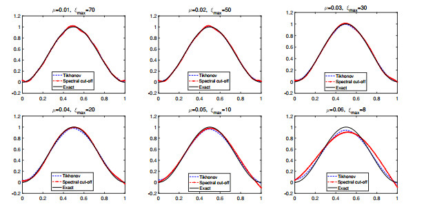
    Figure 6.  Example 1: the reconstruction of $ q^2 $ with a different number of realizations ($ P = 10^4,10^5,10^6 $) at a fixed noise level ($ \epsilon = 0.2 $) and a fixed regularization parameter ($ \mu = 0.03 $, $ \xi_{\rm max} = 30 $)

    Figure 7.  Example 2: the data function $ \psi(t) $ on $ [0, 1] $ (left), the periodization $ \Psi $ on $ [-1,2] $ (middle), and the reconstruction of $ q^2 $ (right) with the parameters given by $ P = 10^5 $, $ \epsilon = 0.2 $, $ \mu = 0.02 $, $ \xi_{\rm max} = 30 $

    Figure 8.  Example 3: the data function $ \psi(t) $ on $ [0, 1] $ (left), the periodization $ \Psi $ on $ [-1,2] $ (middle), and the reconstruction of $ q^2 $ (right) with the parameters given by $ P = 10^5 $, $ \epsilon = 0.2 $, $ \mu = 0.02 $, $ \xi_{\rm max} = 70 $

  • [1] S. Avdonin and J. Bell, Determining a distributed parameter in a neural cable model via a boundary control method, J. Math. Biol., 67 (2013), 123-141.  doi: 10.1007/s00285-012-0537-6.
    [2] A. Boumenir and V. K. Tuan, Reconstruction of the coefficients of a star graph from observations of its vertices, Inverse Probl. Imaging, 12 (2018), 1293-1308.  doi: 10.3934/ipi.2018054.
    [3] J. R. CannonY. Lin and S. Xu, Numerical procedures for the determination of an unknown coefficient in semi-linear parabolic differential equations, Inverse Problems, 10 (1994), 227-243. 
    [4] B. Canuto and O. Kavian, Determining coefficients in a class of heat equations via boundary measurements, SIAM J. Math. Anal., 32 (2001), 963-986.  doi: 10.1137/S003614109936525X.
    [5] J. ChengJ. NakagawaM. Yamamoto and T. Yamazaki, Uniqueness in an inverse problem for a one-dimensional fractional diffusion equation, Inverse Problems, 25 (2009), 115002.  doi: 10.1088/0266-5611/25/11/115002.
    [6] L. EldénF. Berntsson and T. Regińska, Wavelet and Fourier methods for solving the sideways heat equation, SIAM J. Sci. Comput., 21 (2000), 2187-2205.  doi: 10.1137/S1064827597331394.
    [7] L. C. Evans, Partial Differential Equations, 2$^{nd}$ edition, Graduate Studies in Mathematics, 19, American Mathematical Society, Providence, RI, 2010. doi: 10.1090/gsm/019.
    [8] L. C. Evans, An Introduction to Stochastic Differential Equations, American Mathematical Society, Providence, RI, 2013. doi: 10.1090/mbk/082.
    [9] X. FengP. Li and X. Wang, An inverse random source problem for the time fractional diffusion equation driven by a fractional Brownian motion, Inverse Problems, 36 (2020), 045008.  doi: 10.1088/1361-6420/ab6503.
    [10] P. Gaitan and Y. Kian, A stability result for a time-dependent potential in a cylindrical domain, Inverse Problems, 29 (2013), 065006.  doi: 10.1088/0266-5611/29/6/065006.
    [11] Y. GongP. LiX. Wang and X. Xu, Numerical solution of an inverse random source problem for the time fractional diffusion equation via PhaseLift, Inverse Problems, 37 (2021), 045001.  doi: 10.1088/1361-6420/abe6f0.
    [12] I. Gyöngy, Lattice approximations for stochastic quasi-linear parabolic partial differential equations driven by space-time white noise, Ⅱ, Potential Anal., 11 (1999), 1-37.  doi: 10.1023/A:1008699504438.
    [13] V. Isakov, Inverse Problems for Partial Differential Equations, Springer-Verlag, New York, 1998. doi: 10.1007/978-1-4899-0030-2.
    [14] S. Jiang and T. Wei, Recovering a time-dependent potential function in a time fractional diffusion equation by using a nonlinear condition, Inverse Probl. Sci. Eng., 29 (2021), 174-195.  doi: 10.1080/17415977.2020.1782399.
    [15] B. Jin and Z. Zhou, An inverse potential problem for subdiffusion: stability and reconstruction, Inverse Problems, 37 (2021), 015006.  doi: 10.1088/1361-6420/abb61e.
    [16] B. S. Jovanović and E. Süli, Analysis of Finite Difference Schemes. For Linear Partial Differential Equations with Generalized Solutions, Springer Ser. Comput. Math., 46 Springer, London, 2014. doi: 10.1007/978-1-4471-5460-0.
    [17] B. Kaltenbacher and W. Rundell, On an inverse potential problem for a fractional reaction-diffusion equation, Inverse Problems, 35 (2019), 065004.  doi: 10.1088/1361-6420/ab109e.
    [18] I. Karatzas and S. E. Shreve, Brownian Motion and Stochastic Calculus, 2$^{nd}$ edition, Grad. Texts in Math., 113 Springer-Verlag, New York, 1991. doi: 10.1007/978-1-4612-0949-2.
    [19] Y. KianL. OksanenE. Soccorsi and M. Yamamoto, Global uniqueness in an inverse problem for time fractional diffusion equations, J. Differential Equations, 264 (2018), 1146-1170.  doi: 10.1016/j.jde.2017.09.032.
    [20] G. LiD. ZhangX. Jia and M. Yamamoto, Simultaneous inversion for the space-dependent diffusion coefficient and the fractional order in the time-fractional diffusion equation, Inverse Problems, 29 (2013), 065014.  doi: 10.1088/0266-5611/29/6/065014.
    [21] D. Liu and C. Yang, Recovery of the heat equation on a star graph, Mediterr. J. Math., 18 (2021), 1-15.  doi: 10.1007/s00009-021-01881-8.
    [22] W. Liu and M. Röckner, Stochastic Partial Differential Equations: An Introduction, Universitext, Springer, Cham, 2015. doi: 10.1007/978-3-319-22354-4.
    [23] Q. Lü, Carleman estimate for stochastic parabolic equations and inverse stochastic parabolic problems, Inverse Problems, 28 (2012), 045008.  doi: 10.1088/0266-5611/28/4/045008.
    [24] P. NiuT. Helin and Z. Zhang, An inverse random source problem in a stochastic fractional diffusion equation, Inverse Problems, 36 (2020), 045002.  doi: 10.1088/1361-6420/ab532c.
    [25] Y. OuJ. ZhaoZ. Liu and J. Tang, Determination of the unknown time dependent coefficient $p(t)$ in the parabolic equation $u_t = \Delta u+p(t)u+\phi(x, t)$, J. Inverse Ill-Posed Probl., 19 (2011), 525-531.  doi: 10.1515/JIIP.2011.042.
    [26] Z. QianC. Fu and X. Feng, A modified method for high order numerical derivatives, Appl. Math. Comput., 182 (2006), 1191-1200.  doi: 10.1016/j.amc.2006.04.059.
    [27] Z. QianC. FuX. Xiong and T. Wei, Fourier truncation method for high order numerical derivatives, Appl. Math. Comput., 181 (2006), 940-948.  doi: 10.1016/j.amc.2006.01.057.
    [28] Z. RuanQ. Hu and W. Zhang, Identification of a time-dependent control parameter for a stochastic diffusion equation, Comput. Appl. Math., 40 (2021), 1-21.  doi: 10.1007/s40314-021-01598-0.
    [29] W. Rundell, The determination of a parabolic equation from initial and final data, Proc. Amer. Math. Soc., 99 (1987), 637-642.  doi: 10.2307/2046467.
    [30] V. Thomée, Galerkin Finite Element Methods for Parabolic Problems, 2$^{nd}$ edition, Springer Series in Computational Mathematics, 25, Springer-Verlag, Berlin, 2006.
    [31] G. Yuan, Conditional stability in determination of initial data for stochastic parabolic equations, Inverse Problems, 33 (2017), 035014.  doi: 10.1088/1361-6420/aa5d7a.
  • 加载中

Figures(8)

SHARE

Article Metrics

HTML views(3357) PDF downloads(670) Cited by(0)

Access History

Other Articles By Authors

Catalog

    /

    DownLoad:  Full-Size Img  PowerPoint
    Return
    Return