\`x^2+y_1+z_12^34\`
Advanced Search
Article Contents
Article Contents

Dynamic MRI reconstruction via weighted nuclear norm and total variation regularization

  • * Corresponding author: Zhi-Feng Pang

    * Corresponding author: Zhi-Feng Pang
Abstract / Introduction Full Text(HTML) Figure(4) / Table(4) Related Papers Cited by
  • Dynamic Magnetic Resonance Imaging (dMRI) is a valuable tool in the diagnosis, management and monitoring of numerous diseases. The dimensions of the image determine the number of radio frequency pulses that must be applied, which makes the dMRI scan a time-consuming process. This paper puts forth a new reconstruction model based on the low-rank plus sparse (LS) decomposition technique with the objective of accelerating the imaging speed. In the proposed model, the weighted nuclear norm and the total variation are employed to, respectively, describe the property of low rank and the sparsity. As the model can be transformed into a saddle-point problem, the primal-dual method can be accelerated by utilizing a fast iterative shrinkage thresholding algorithm (FISTA). The results of the numerical experiments demonstrate that the proposed approach is more effective than several other low-rank or sparsity-based dMRI reconstruction methods in terms of visual quality and quantitative metrics, such as the signal-to-error ratio ($ \mathrm{SER} $) and the structural similarity index measure ($ \mathrm{SSIM} $). The experimental results demonstrate that the proposed method contributes to the advancement of research in the field of image reconstruction, including the development of models and numerical algorithms.

    Mathematics Subject Classification: 65K15, 49M37.

    Citation:

    \begin{equation} \\ \end{equation}
  • 加载中
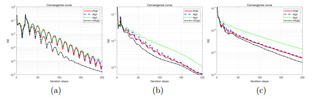
  • Figure 1.  RE curves against the iteration number for different dataset. (a). Pincat dataset. (b). Cardiac perfusion dataset. (c). Breast dataset

    Figure 2.  Comparison of reconstructed results based on the different method on Pincat dataset. (a). Original image; (b). Zero-filling; (c). kt-RPCA; (d). ICTGV; (e). LS; (f). SR-LS; (g). kt-SLR; (h). NNTGV; (i). TV; (j). WNNTV. (a1)-(j1). Surface images respond to the red-boxed area in (a)-(j). (a2)-(j2): Pseudo-colour maps of difference images between the original image and the reconstructed images respond to the red-boxed area in (a)-(j)

    Figure 3.  Comparison of reconstructed results based on the different method on Cardiac dataset. (a). Original image; (b). Zero-filling; (c). kt-RPCA; (d). ICTGV; (e). LS; (f). SR-LS; (g). kt-SLR; (h). NNTGV; (i). TV; (j). WNNTV. The pseudo-colour maps (a1)-(j1) are zoomed-in plots within the red-boxed region in (a)-(j). (a2)-(j2) zoomed different images in the red box of (a)-(j)

    Figure 4.  Comparison of reconstructed results based on the different method on Breast dataset. (a). Original image; (b). Zero-filling; (c). kt-RPCA; (d). ICTGV; (e). LS; (f). SR-LS; (g). kt-SLR; (h). NNTGV; (i). TV; (j). WNNTV. The pseudo-colour maps (a1)-(j1) are zoomed-in plots within the red-boxed region in (a)-(j). (a2)-(j2) are that comparisons on Breast by zooming different images in the red box of first row (a)-(j), respectively

    Table 1.  Pseudo-radial sampling optimal parameter values of the proposed model on Pincat, Cardiac and Breast datasets

    Pincat
    Sampling $\alpha$ $\beta$ $\sigma$ $\tau$ $\mu$ iter
    Pseudo-radial 3.5$\times10^{-4}$ 90 0.020 3.0 1.0 200
    Cardiac
    Sampling $\alpha$ $\beta$ $\sigma$ $\tau$ $\mu$ iter
    Pseudo-radial 4.0$\times10^{-4}$ 1.5 0.001 50 0.9 200
    Breast
    Sampling $\alpha$ $\beta$ $\sigma$ $\tau$ $\mu$ iter
    Pseudo-radial 4$\times10^{-4}$ 5 0.001 105 1.0 200
     | Show Table
    DownLoad: CSV

    Table 2.  CPU time, $\mathrm{SER} (\uparrow) $ and $\mathrm{SSIM} (\uparrow) $ results for four algorithms based on three datasets

    Pincat Cardiac Breast
    Time SER SSIM Time SER SSIM Time SER SSIM
    PDM 66.50s 38.58 0.9988 90.93s 20.71 0.9650 274.22s 25.25 0.9602
    Alg2 58.35s 38.58 0.9988 84.07s 20.71 0.9650 263.03s 25.22 0.9600
    Alg3 61.53s 38.58 0.9988 84.66s 20.71 0.9650 274.33s 25.22 0.9578
    FPDM 62.08s 38.59 0.9988 85.79s 20.72 0.9650 293.34s 25.26 0.9614
     | Show Table
    DownLoad: CSV

    Table 3.  Comparison of $\mathrm{SER} (\uparrow) $ and $\mathrm{SSIM} (\uparrow) $ of different models on three datasets with different sampling spokes

    Pincat
    Models spokes 12 22 32 42 52
    Zerofilled $\mathrm{SER}$ 13.51 17.37 20.53 23.12 25.46
    $\mathrm{SSIM}$ 0.6715 0.7685 0.8321 0.8732 0.9035
    kt-RPCA $\mathrm{SER}$ 22.71 27.98 31.20 33.67 35.57
    $\mathrm{SSIM}$ 0.8934 0.9516 0.9738 0.9846 0.9902
    ICTGV $\mathrm{SER}$ 20.21 27.25 33.19 36.93 39.51
    $\mathrm{SSIM}$ 0.8488 0.9594 0.9895 0.9956 0.9973
    LS $\mathrm{SER}$ 16.05 24.20 32.40 36.90 39.71
    $\mathrm{SSIM}$ 0.7134 0.8983 0.9769 0.9914 0.9954
    SR-LS $\mathrm{SER}$ {21.62 29.02 34.22 37.15 39.06
    $\mathrm{SSIM}$ 0.8810 0.9666 0.9892 0.9943 0.9961
    kt-SLR $\mathrm{SER}$ 19.11 30.64 36.83 40.77 43.64
    $\mathrm{SSIM}$ 0.8490 0.9884 0.9975 0.9990 0.9995
    NNTGV $\mathrm{SER}$ 20.17 27.15 33.31 37.20 39.62
    $\mathrm{SSIM}$ 0.8549 0.9618 0.9926 0.9971 0.9983
    TV $\mathrm{SER}$ 19.97 28.58 35.91 40.38 43.19
    $\mathrm{SSIM}$ 0.8511 0.9733 0.9968 0.9991 0.9996
    $\mathbf{WNNTV}$ $\mathrm{SER}$ 20.81 30.85 38.59 42.87 45.59
    $\mathrm{SSIM}$ 0.8751 0.9890 0.9988 0.9996 0.9998
    Cardiac
    Models spokes 12 22 32 42 52
    Zerofilled $\mathrm{SER}$ 9.44 12.44 14.80 16.68 18.19
    $\mathrm{SSIM}$ 0.7595 0.8332 0.8855 0.9178 0.9386
    kt-RPCA $\mathrm{SER}$ 15.50 18.04 19.36 20.31 21.11
    $\mathrm{SSIM}$ 0.9206 0.9457 0.9553 0.9620 0.9673
    ICTGV $\mathrm{SER}$ 15.93 18.37 19.84 20.86 21.64
    $\mathrm{SSIM}$ 0.9229 0.9485 0.9590 0.9653 0.9700
    LS $\mathrm{SER}$ 12.01 16.80 19.72 21.18 22.07
    $\mathrm{SSIM}$ 0.8343 0.9278 0.9581 0.9674 0.9724
    SR-LS $\mathrm{SER}$ 16.48 18.52 19.82 20.81 21.58
    $\mathrm{SSIM}$ 0.9313 0.9492 0.9584 0.9647 0.9694
    kt-SLR $\mathrm{SER}$ 17.28 19.12 20.50 21.49 22.23
    $\mathrm{SSIM}$ 0.9363 0.9519 0.9613 0.9674 0.9719
    NNTGV $\mathrm{SER}$ 12.39 16.25 18.94 20.71 21.89
    $\mathrm{SSIM}$ 0.8507 0.9213 0.9513 0.9645 0.9716
    TV $\mathrm{SER}$ 16.23 18.78 20.39 21.49 22.28
    $\mathrm{SSIM}$ 0.9294 0.9529 0.9632 0.9695 0.9738
    $\mathbf{WNNTV}$ $\mathrm{SER}$ 17.17 19.23 20.72 21.81 22.60
    $\mathrm{SSIM}$ 0.9399 0.9560 0.9650 0.9710 0.9752
    Breast
    Models spokes 12 22 32 42 52
    Zerofilled $\mathrm{SER}$ 10.03 12.78 14.85 16.43 17.79
    $\mathrm{SSIM}$ 0.4077 0.4984 0.5711 0.6266 0.6743
    kt-RPCA $\mathrm{SER}$ 20.72 22.19 23.23 24.11 24.90
    $\mathrm{SSIM}$ 0.8802 0.9154 0.9354 0.9486 0.9584
    ICTGV $\mathrm{SER}$ 19.81 22.44 23.87 24.99 26.02
    $\mathrm{SSIM}$ 0.7963 0.8914 0.9261 0.9447 0.9579
    LS $\mathrm{SER}$ 13.41 19.75 24.09 25.71 26.56
    $\mathrm{SSIM}$ 0.5217 0.7895 0.9584 0.9647 0.9694
    SR-LS $\mathrm{SER}$ 21.30 22.85 23.82 24.63 25.37
    $\mathrm{SSIM}$ 0.8678 0.9031 0.9187 0.9298 0.9392
    kt-SLR $\mathrm{SER}$ 21.47 23.18 24.53 25.25 26.69
    $\mathrm{SSIM}$ 0.9206 0.9400 0.9539 0.9539 0.9699
    NNTGV $\mathrm{SER}$ 19.95 23.02 24.66 25.95 27.08
    $\mathrm{SSIM}$ 0.8842 0.9431 0.9620 0.9720 0.9785
    TV $\mathrm{SER}$ 16.96 21.34 24.01 25.82 27.10
    $\mathrm{SSIM}$ 0.7514 0.8854 0.9345 0.9557 0.9669
    $\mathbf{WNNTV}$ $\mathrm{SER}$ 21.76 23.77 25.26 26.58 27.79
    $\mathrm{SSIM}$ 0.8835 0.9404 0.9614 0.9727 0.9799
     | Show Table
    DownLoad: CSV

    Table 4.  CPU times of different models on reconstructing the Pincat, Cardiac and Breast datasets

    Pincat
    Models kt-RPCA ICTGV LS SR-LS kt-SLR NNTGV TV $\mathbf{WNNTV}$
    Time 106.02 s 289.82 s 30.97 s 34.77 s 373.03 s 184.15 s 57.50 s 62.08 s
    Cardiac
    Models kt-RPCA ICTGV LS SR-LS kt-SLR NNTGV TV $\mathbf{WNNTV}$
    Time 168.62 s 400.26 s 42.56 s 51.07 s 413.34 s 262.50 s 84.17 s 85.79s
    Breast
    Models kt-RPCA ICTGV LS SR-LS kt-SLR NNTGV TV $\mathbf{WNNTV}$
    Time 511.23 s 1270.97 s 260.67 s 171.62 s 2020.51 s 831.49 s 248.91 s 266.79 s
     | Show Table
    DownLoad: CSV
  • [1] J. AiS. MaH. Du and L. Fang, Dynamic MRI reconstruction using tensor-SVD, IEEE International Conference on Signal Processing(ICSP), (2018), 1114-1118.  doi: 10.1109/ICSP.2018.8652421.
    [2] M. AshikuzzamanC. BelassoM. G. KibriaA. BergdahlC. J. Gauthier and H. Rivaz, Low rank and sparse decomposition of ultrasound color flow images for suppressing clutter in real-time, IEEE Transactions on Medical Imaging, 39 (2020), 1073-1084.  doi: 10.1109/TMI.2019.2941865.
    [3] A. Beck and M. Teboulle, A fast iterative shrinkage-thresholding algorithm for linear inverse problems, SIAM Journal on Imaging Sciences, 2 (2009), 183-202.  doi: 10.1137/080716542.
    [4] H. GaoJ.-F. CaiZ. Shen and H. Zhao, Robust principal component analysis-based four-dimensional computed tomography, Physics in Medicine and Biology, 56 (2011), 3181-3198.  doi: 10.1088/0031-9155/56/11/002.
    [5] H. GaoL. Li and X. Hu, Compressive diffusion MRI-Part 1: Why low-rank?, Proceedings of the International Society for Magnetic Resonance in Medicine, (2013), 0610. 
    [6] H. GaoH. LinC. B. Ahn and O. Nalcioglu, Prior rank, intensity and sparsity model (PRISM): A divide-and-conquer low-rank and sparse decomposition model for dynamic MRI, SPIE Proceedings, (2011), 11-26. 
    [7] H. GaoS. RapacchiD. WangJ. MoriartyC. MeehanJ. SayreG. LaubP. Finn and P. Hu, Compressed sensing using prior rank, intensity and sparsity model (PRISM): Applications in cardiac cine MRI, Proceedings of the International Society for Magnetic Resonance in Medicine, (2012), 2242. 
    [8] A. Chambolle and T. Pock, A first-order Primal-Dual algorithm for convex problems with applications to imaging, Journal of Mathematical Imaging and Vision, 40 (2011), 120-145.  doi: 10.1007/s10851-010-0251-1.
    [9] U. GamperP. Boesiger and S. Kozerke, Compressed sensing in dynamic MRI, Magnetic Resonance in Medicine, 59 (2008), 365-373.  doi: 10.1002/mrm.21477.
    [10] T. Goldstein and S. Osher, The split Bregman method for L1-regularized problems, SIAM J. Imaging Sci., 2 (2009), 323-343.  doi: 10.1137/080725891.
    [11] M. Gong and G. Zhang, Non-local tensor sparse representation and tensor low rank regularization for dynamic MRI reconstruction, International Journal of Machine Learning and Cybernetics, 15 (2024), 493-503.  doi: 10.1007/s13042-023-01921-7.
    [12] L. M. Graña Drummond and A. N. Iusem, A projected gradient method for vector optimization problems, Computational Optimization and Applications, 28 (2004), 5-29.  doi: 10.1023/B:COAP.0000018877.86161.8b.
    [13] S. GuQ. XieD. MengW. ZuoX. Feng and L. Zhang, Weighted nuclear norm minimization and its applications to low level vision, International Journal of Computer Vision, 121 (2017), 183-208.  doi: 10.1007/s11263-016-0930-5.
    [14] S. GuL. ZhangW. Zuo and X. Feng, Weighted nuclear norm minimization with application to image denoising, IEEE Conference on Computer Vision and Pattern Recognition (CVPR), (2014), 2862-2869.  doi: 10.1109/CVPR.2014.366.
    [15] A. HandaR. A.NewcombeA. Angeli and A. J. Davison, Applications of Legendre-Fenchel transformation to computer vision problems, Departmental Technical Report, (2011), 1-34. 
    [16] J. HeX. Liu and N. Luan, Bi-smooth constraints for accelerated dynamic MRI with low-rank plus sparse tensor decomposition, Biomedical Signal Processing and Control, 82 (2023), 104530.  doi: 10.1016/j.bspc.2022.104530.
    [17] K. HosonoS. Ono and T. Miyata, Weighted tensor nuclear norm minimization for color image denoising, IEEE International Conference on Image Processing (ICIP), (2016), 3081-3085.  doi: 10.1109/ICIP.2016.7532926.
    [18] H. JungK. SungK. S. NayakE. Y. Kim and J. C. Ye, k-t FOCUSS: A general compressed sensing framework for high resolution dynamic MRI, Magnetic Resonance in Medicine, 61 (2009), 103-116.  doi: 10.1002/mrm.21757.
    [19] M. E. KilmerK. BramanN. Hao and R. C. Hoover, Third-order tensors as operators on matrices: A theoretical and computational framework with applications in imaging, SIAM Journal Matrix Analysis and Applications, 34 (2013), 148-172.  doi: 10.1137/110837711.
    [20] M. E. Kilmer and C. D. Martin, Factorization strategies for third-order tensors, Linear Algebra and its Applications, 435 (2011), 641-658.  doi: 10.1016/j.laa.2010.09.020.
    [21] Q. Li, C. A. Micchelli, L. Shen and Y. Xu, A proximity algorithm accelerated by Gauss-Seidel iterations for L1/TV denoising models, Inverse Problems, 28 (2012), 095003, 20 pp. doi: 10.1088/0266-5611/28/9/095003.
    [22] S. G. LingalaY. HuE. DiBella and M. Jacob, Accelerated dynamic MRI exploiting sparsity and low-rank structure: k-t SLR, IEEE Transactions on Medical Imaging, 30 (2011), 1042-1054.  doi: 10.1109/TMI.2010.2100850.
    [23] X. LiuJ. HeP. GaoB. Abdelmounim and F. Lam, Denoising of 3D Magnetic resonance images based on balanced low-rank tensor and nonlocal self-similarity, Biomedical Signal Processing and Control, 96 (2024), 106588.  doi: 10.1016/j.bspc.2024.106588.
    [24] X. LiuJ. HeC. Mi and X. Zhang, Low-rank plus sparse joint smoothing model based on tensor singular value decomposition for dynamic MRI reconstruction, Magnetic Resonance Imaging, 104 (2023), 52-60.  doi: 10.1016/j.mri.2023.09.003.
    [25] M. LustigD. Donoho and J. M. Pauly, Sparse MRI: The application of compressed sensing for rapid MR imaging, Magnetic Resonance in Medicine, 58 (2007), 1182-1195.  doi: 10.1002/mrm.21391.
    [26] M. LustigJ. M. SantosD. L. Donoho and J. M. Pauly, k-t SPARSE: High frame rate dynamic MRI exploiting spatio-temporal sparsity, 13th Annual Meeting of International Society for Magnetic Resonance in Medicine, (2006), 2420. 
    [27] Y. E. Nesterov, A method for solving the convex programming problem with convergence rate $O(\frac{1}{k^2})$, Doklady Akademii Nauk SSSR, 269 (1983), 543-547. 
    [28] R. OtazoE. Candés and D. K. Sodickson, Low-rank plus sparse matrix decomposition for accelerated dynamic MRI with separation of background and dynamic components, Magnetic Resonance in Medicine, 73 (2014), 1125-1136.  doi: 10.1002/mrm.25240.
    [29] Y. PengA. GaneshJ. WrightW. Xu and Y. Ma, RASL: Robust alignment by sparse and low-rank decomposition for linearly correlated images, IEEE Transactions on Pattern Analysis and Machine Intelligence, 34 (2012), 2233-2246.  doi: 10.1109/TPAMI.2011.282.
    [30] T. M. Quan and W. K. Jeong, Commpressed sensing reconstruction of dynamic contrast enhanced MRI using GPU-accelerated convolutional sparse coding, 2016 IEEE 13th International Symposium on Biomedical Imaging (ISBI), (2016), 518-521.  doi: 10.1109/ISBI.2016.7493321.
    [31] M. SalernoB. SharifH. ArhedenA. KumarL. AxelD. Li and S. Neubauer, Recent advances in cardiovascular magnetic resonance techniques and applications, Circ Cardiovasc Imaging, 10 (2017), e003951.  doi: 10.1161/CIRCIMAGING.116.003951.
    [32] W. P. Segars and B. M. W. Tsui, Study of the efficacy of respiratory gating in myocardial SPECT using the new 4-D NCAT phantom, IEEE Transactions on Nuclear Science, 49 (2002), 675-679.  doi: 10.1109/TNS.2002.1039548.
    [33] M. SchloeglM. HollerA. SchwarzlK. Bredies and R. Stollberger, Infimal convolution of total generalized variation functionals for dynamic MRI, Magnetic Resonance in Medicine, 78 (2017), 142-155.  doi: 10.1002/mrm.26352.
    [34] B. Sharif and Y. Bresler, Adaptive real-time cardiac MRI using PARADISE: Validation by the physiologically improved NCAT phantom, IEEE International Symposium on Biomedical Imaging, (2007), 1020-1023.  doi: 10.1109/ISBI.2007.357028.
    [35] J. Tanner and S. Vary, Compressed sensing of low-rank plus sparse matrices, Applied and Computational Harmonic Analysis, 64 (2023), 254-293.  doi: 10.1016/j.acha.2023.01.008.
    [36] C.-M. TingF. NomanR. C.-W. Phan and H. Ombao, Dynamic MRI reconstruction using low-rank plus sparse decomposition with smoothness regularization, 2024 IEEE International Conference on Image Processing (ICIP), (2024).  doi: 10.1109/ICIP51287.2024.10647616.
    [37] B. TrémoulhéacN. DikaiosD. Atkinson and S. R. Arridge, Dynamic MR image reconstruction-separation from undersampled (k, t)-space via low-rank plus sparse prior, IEEE Transactions on Medical Imaging, 33 (2014), 1689-1701.  doi: 10.1109/TMI.2014.2321190.
    [38] D. WangD. S. Smith and X. Yang, Dynamic MR image reconstruction based on total generalized variation and low-rank decomposition, Magnetic Resonance in Medicine, 83 (2020), 2064-2076.  doi: 10.1002/mrm.28064.
    [39] Z. WangA. C. BovikH. R. Sheikh and E. P. Simoncelli, Image quality assessment: From error visibility to structural similarity, IEEE Transactions on Image Processing, 13 (2004), 600-612.  doi: 10.1109/TIP.2003.819861.
    [40] J. XuL. ZhangD. Zhang and X. Feng, Multi-channel weighted nuclear norm minimization for real color image denoising, 2017 IEEE International Conference on Computer Vision (ICCV), (2017), 1105-1113.  doi: 10.1109/ICCV.2017.125.
    [41] J. Yang and Y. Zhang, Alternating direction algorithms for $\ell_1$-problems in compressive sensing, SIAM Journal on Scientific Computing, 33 (2011), 250-278.  doi: 10.1137/090777761.
    [42] X. Yang, Y. Luo, S. Chen, et al., Dynamic MRI reconstruction from highly undersampled (k, t)-space data using weighted Schatten p-norm regularizer of tensor, Magnetic Resonance Imaging, 37 (2017), 260-272. doi: 10.1016/j.mri.2016.10.025.
    [43] X. YangY. LuoS. ChenX. ZhenQ. Yu and K. Liu, Dynamic MRI reconstruction from highly undersampled (k, t)-space data using weighted schatten p-norm regularizer of tensor, Magnetic Resonance in Medicine, 37 (2017), 260-272.  doi: 10.1016/j.mri.2016.10.025.
  • 加载中

Figures(4)

Tables(4)

SHARE

Article Metrics

HTML views(2344) PDF downloads(274) Cited by(0)

Access History

Catalog

    /

    DownLoad:  Full-Size Img  PowerPoint
    Return
    Return