\`x^2+y_1+z_12^34\`
Advanced Search
Article Contents
Article Contents

A novel direct imaging method for passive inverse obstacle scattering problem

  • *Corresponding author: Liang Yan

    *Corresponding author: Liang Yan

This work is supported by the National Natural Science Foundation of China (92370126, 12171085) and the Jiangsu Provincial Scientific Research Center of Applied Mathematics (grant BK20233002).

Abstract / Introduction Full Text(HTML) Figure(13) Related Papers Cited by
  • This paper investigates the inverse scattering problem of recovering a sound-soft obstacle using measurements generated by randomly distributed point sources. The randomness introduced by these sources poses significant challenges, leading to the failure of classical direct sampling methods that rely on knowing the locations of excitation sources. To address this issue, we introduce the Doubly Cross-Correlating Method (DCM), a novel direct imaging scheme that consists of two major steps. Initially, DCM creates a cross-correlation between two measurements. This specially designed cross-correlation effectively handles the uncontrollability of incident sources and connects to the active scattering model via the Helmholtz-Kirchhoff identity. Subsequently, this cross-correlation is used to create a correlation-based imaging function that can qualitatively identify the obstacle. The stability and resolution of DCM are theoretically analyzed. Extensive numerical examples, including scenarios with two closely positioned obstacles and multiscale obstacles, demonstrate that DCM is computationally efficient, stable, and fast.

    Mathematics Subject Classification: Primary: 78A46, 65N21; Secondary: 35R30.

    Citation:

    \begin{equation} \\ \end{equation}
  • 加载中
  • Figure 1.  In the passive imaging (Left), the incident sources are random and uncontrolled, but in the active imaging (Right), the incident sources are controlled and fixed

    Figure 2.  The imaginary parts of $ C_{jm} $ and $ N^{s}_{jm} $ with $ \xi = 0.4 $ and $ \xi = 0.8 $ in the case of $ L = 64 $ for the kite (Top) and the peanut (Bottom). The first column displays the imaginary parts of $ C_{jm} $ with $ \xi = 0.4 $, the second column displays the imaginary parts of $ C_{jm} $ with $ \xi = 0.8 $ and the third column displays the imaginary parts of $ N^{s}_{jm} $

    Figure 3.  Recoveries of $ \partial D $ by DCM with $ \xi = 0.4 $ and $ \xi = 0.8 $ in the case of $ L = 64 $ for the kite (Top) and the peanut (Bottom). The first column shows the exact boundary $ \partial D $ and $ L = 64 $ measurement points, the second column shows the reconstructed $ \partial D $ with $ \xi = 0.4 $ and the third column shows the reconstructed $ \partial D $ with $ \xi = 0.8 $

    Figure 4.  The imaginary parts of $ C_{jm} $ and $ N^{s}_{jm} $ with $ \xi = 0.4 $ and $ \xi = 0.8 $ in the case of $ L = 256 $ for the kite (Top) and the peanut (Bottom). The first column displays the imaginary parts of $ C_{jm} $ with $ \xi = 0.4 $, the second column displays the imaginary parts of $ C_{jm} $ with $ \xi = 0.8 $ and the third column displays the imaginary parts of $ N^{s}_{jm} $

    Figure 5.  Recoveries of $ \partial D $ by DCM with $ \xi = 0.4 $ and $ \xi = 0.8 $ in the case of $ L = 256 $ for the kite (Top) and the peanut (Bottom). The first column shows the exact boundary $ \partial D $ and $ L = 256 $ measurement points, the second column shows the reconstructed $ \partial D $ with $ \xi = 0.4 $ and the third column shows the reconstructed $ \partial D $ with $ \xi = 0.8 $

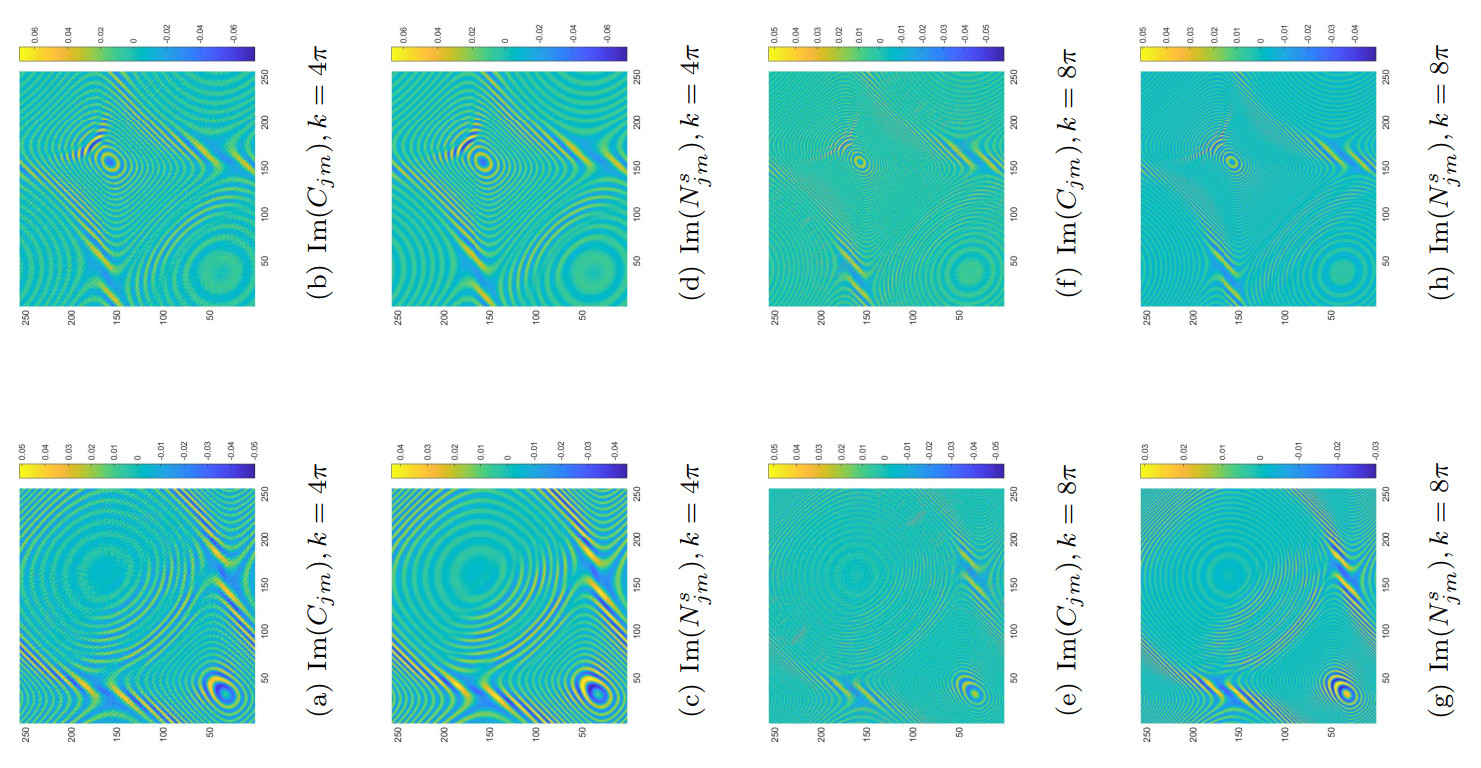
    Figure 6.  The imaginary parts of $ C_{jm} $ and $ N^{s}_{jm} $ with $ k = 4\pi $ and $ k = 8\pi $ for the kite (Left) and the peanut (Right). The first row displays the imaginary parts of $ C_{jm} $ with $ k = 4\pi $, the second row displays the imaginary parts of $ N^{s}_{jm} $ with $ k = 4\pi $, the third row displays the imaginary parts of $ C_{jm} $ with $ k = 8\pi $ and the fourth row displays the imaginary parts of $ N^{s}_{jm} $ with $ k = 8\pi $

    Figure 7.  Recoveries of $ \partial D $ by DCM with $ k = 4\pi $ and $ k = 8\pi $ for the kite (Top) and the peanut (Bottom). The first column shows the exact boundary $ \partial D $ and $ L = 256 $ measurement points, the second column shows the reconstructed $ \partial D $ with $ k = 4\pi $ and the third column shows the reconstructed $ \partial D $ with $ k = 8\pi $

    Figure 8.  The imaginary parts of $ C^{\delta}_{jm} $ and $ N^{s}_{jm} $ with $ \delta = 0.2 $ and $ \delta = 0.4 $ for the kite (Top) and the peanut (Bottom). The first column displays the imaginary parts of $ C^{\delta}_{jm} $ with $ \delta = 0.2 $, the second column displays the imaginary parts of $ C^{\delta}_{jm} $ with $ \delta = 0.4 $ and the third column displays the imaginary parts of $ N^{s}_{jm} $

    Figure 9.  Recoveries of $ \partial D $ by DCM with $ \delta = 0.2 $ and $ \delta = 0.4 $ for the kite (Top) and the peanut (Bottom). The first column shows the exact boundary $ \partial D $ and $ L = 256 $ measurement points, the second column shows the reconstructed $ \partial D $ with $ \delta = 0.2 $ and the third column shows the reconstructed $ \partial D $ with $ \delta = 0.4 $

    Figure 10.  The imaginary parts of $ C^{\delta}_{jm} $ and $ N^{s}_{jm} $ with $ k = 2\pi $ (Top) and $ k = 4\pi $ (Bottom) for the resolution limit case. The first column displays the imaginary parts of $ C^{\delta}_{jm} $ with $ k = 2\pi $ and $ k = 4\pi $, and the second column displays the imaginary parts of $ N^{s}_{jm} $ with $ k = 2\pi $ and $ k = 4\pi $

    Figure 11.  Recoveries of $ \partial D $ by DCM with $ k = 2\pi $ and $ k = 4\pi $ for the resolution limit. The first column shows the exact boundary $ \partial D $ and $ L = 256 $ measurement points, the second column shows the reconstructed $ \partial D $ with $ k = 2\pi $ and the third column shows the reconstructed $ \partial D $ with $ k = 4\pi $

    Figure 12.  The imaginary parts of $ C^{\delta}_{jm} $ and $ N^{s}_{jm} $ with $ k = 4\pi $ (Top) and $ k = 8\pi $ (Bottom) for the multiscale case. The first column displays the imaginary parts of $ C^{\delta}_{jm} $ with $ k = 4\pi $ and $ k = 8\pi $, and the second column displays the imaginary parts of $ N^{s}_{jm} $ with $ k = 4\pi $ and $ k = 8\pi $

    Figure 13.  Recoveries of $ \partial D $ by DCM with $ k = 4\pi $ and $ k = 8\pi $ for the multiscale case. The first column shows the exact boundary $ \partial D $ and $ L = 256 $ measurement points, the second column shows the reconstructed $ \partial D $ with $ k = 4\pi $ and the third column shows the reconstructed $ \partial D $ with $ k = 8\pi $

  • [1] H. AmmariG. Bao and J. Fleming, An inverse source problem for Maxwell's equations in magnetoencephalography, SIAM Journal on Applied Mathematics, 62 (2002), 1369-1382.  doi: 10.1137/S0036139900373927.
    [2] A. P. Austin and L. N. Trefethen, Trigonometric interpolation and quadrature in perturbed points, SIAM Journal on Numerical Analysis, 55 (2017), 2113-2122.  doi: 10.1137/16M1107760.
    [3] G. BaoJ. Lin and S. M. Mefire, Numerical reconstruction of electromagnetic inclusions in three dimensions, SIAM Journal on Imaging Sciences, 7 (2014), 558-577.  doi: 10.1137/130937640.
    [4] B. Borden, Mathematical problems in radar inverse scattering, Inverse Problems, 18 (2002), R1-R28. doi: 10.1088/0266-5611/18/1/201.
    [5] C. Borges and L. Greengard, Inverse obstacle scattering in two dimensions with multiple frequency data and multiple angles of incidence, SIAM Journal on Imaging Sciences, 8 (2015), 280-298.  doi: 10.1137/140982787.
    [6] S. N. Chandler-WildeI. G. GrahamS. Langdon and M. Linder, Condition number estimates for combined potential boundary integral operators in acoustic scattering, The Journal of Integral Equations and Applications, 21 (2009), 229-279.  doi: 10.1216/JIE-2009-21-2-229.
    [7] Y. Chang and Y. Guo, Simultaneous recovery of an obstacle and its excitation sources from near-field scattering data, Electronic Research Archive, 30 (2022), 1296-1321.  doi: 10.3934/era.2022068.
    [8] Y. Chang, Y. Guo, H. Liu and D. Zhang, Recovering source location, polarization, and shape of obstacle from elastic scattering data, Journal of Computational Physics, 489 (2023), 112289, 22pp. doi: 10.1016/j.jcp.2023.112289.
    [9] J. Chen, Z. Chen and G. Huang, Reverse time migration for extended obstacles: Acoustic waves, Inverse Problems, 29 (2013), 085005, 17pp.
    [10] J. Chen, Z. Chen and G. Huang, Reverse time migration for extended obstacles: Electromagnetic waves, Inverse Problems, 29 (2013), 085006, 17pp.
    [11] Z. ChenS. Fang and G. Huang, A direct imaging method for the half-space inverse scattering problem with phaseless data, Inverse Probl. Imaging, 11 (2017), 901-916.  doi: 10.3934/ipi.2017042.
    [12] Z. Chen and G. Huang, Reverse time migration for reconstructing extended obstacles in the half space, Inverse Problems, 31 (2015), 055007, 19pp. doi: 10.1088/0266-5611/31/5/055007.
    [13] Z. Chen and G. Huang, A direct imaging method for electromagnetic scattering data without phase information, SIAM Journal on Imaging Sciences, 9 (2016), 1273-1297.  doi: 10.1137/15M1053475.
    [14] Z. Chen and G. Huang, Phaseless imaging by reverse time migration: Acoustic waves, Numerical Mathematics: Theory, Methods and Applications, 10 (2017), 1-21. 
    [15] Z. Chen and S. Zhou, A direct imaging method for half-space inverse elastic scattering problems, Inverse Problems, 35 (2019), 075004, 33pp. doi: 10.1088/1361-6420/ab08ab.
    [16] D. Colton and R. Kress, Inverse Acoustic and Electromagnetic Scattering Theory, Appl. Math. Sci., 93, Springer, Cham, 2019.
    [17] J. GarnierH. Haddar and H. Montanelli, The linear sampling method for random sources, SIAM Journal on Imaging Sciences, 16 (2023), 1572-1593.  doi: 10.1137/22M1531336.
    [18] J. GarnierH. Haddar and H. Montanelli, The linear sampling method for data generated by small random scatterers, SIAM Journal on Imaging Sciences, 17 (2024), 2142-2173.  doi: 10.1137/24M1650417.
    [19] J. Garnier and G. Papanicolaou, Passive sensor imaging using cross correlations of noisy signals in a scattering medium, SIAM Journal on Imaging Sciences, 2 (2009), 396-437.  doi: 10.1137/080723454.
    [20] J. Garnier and  G. PapanicolaouPassive Imaging with Ambient Noise, Cambridge University Press, Cambridge, 2016. 
    [21] Y. GuoF. Ma and D. Zhang, An optimization method for acoustic inverse obstacle scattering problems with multiple incident waves, Inverse Problems in Science and Engineering, 19 (2011), 461-484.  doi: 10.1080/17415977.2010.518286.
    [22] X. JiX. Liu and B. Zhang, Target reconstruction with a reference point scatterer using phaseless far field patterns, SIAM Journal on Imaging Sciences, 12 (2019), 372-391.  doi: 10.1137/18M1205789.
    [23] A. Kirsch and N. Grinberg, The Factorization Method for Inverse Problems, volume 36. Oxford Lecture Ser. Math. Appl., 36, Oxford University Press, Oxford, 2008.
    [24] A. Kirsch and R. Kress, A numerical method for an inverse scattering problem, Journal of Inverse and Ill-Posed Problems, 4 (1987), 279-289.  doi: 10.1016/B978-0-12-239040-1.50022-3.
    [25] A. Kirsch and R. Kress, An optimization method in inverse acoustic scattering, Boundary Elements IX, Fluid Flow and Potential Applications, ed C.A. Brebbia et al, Berlin, Springer, 3 (1987), 3-18. 
    [26] A. Kirsch and X. Liu, A modification of the factorization method for the classical acoustic inverse scattering problems, Inverse Problems, 30 (2014), 035013, 14pp. doi: 10.1088/0266-5611/30/3/035013.
    [27] R. Kress, Newton's method for inverse obstacle scattering meets the method of least squares, Inverse Problems, 19 (2003), 91-104.  doi: 10.1088/0266-5611/19/6/056.
    [28] R. Kress and W. Rundell, A quasi-Newton method in inverse obstacle scattering, Inverse Problems, 10 (1994), 1145-1157.  doi: 10.1088/0266-5611/10/5/011.
    [29] P. Kuchment, The Radon Transform and Medical Imaging, CBMS-NSF Regional Conference Series in Applied Mathematics, 85, Society for Industrial and Applied Mathematics(SIAM), Philadelphia, PA, 2014.
    [30] J. Li, Reverse time migration for inverse obstacle scattering with a generalized impedance boundary condition, Applicable Analysis, 101 (2022), 48-62.  doi: 10.1080/00036811.2020.1727894.
    [31] J. Li, H. Wu and J. Yang, Reverse time migration for inverse acoustic scattering by locally rough surfaces, arXiv preprint, arXiv: 2211.11325, 2022.
    [32] J. Li and J. Yang, Simultaneous recovery of a locally rough interface and the embedded obstacle with the reverse time migration, arXiv preprint, arXiv: 2211.11329, 2022.
    [33] J. Li and J. Zou, A direct sampling method for inverse scattering using far-field data, Inverse Problems and Imaging, 7 (2013), 757-775. 
    [34] X. Liu, A novel sampling method for multiple multiscale targets from scattering amplitudes at a fixed frequency, Inverse Problems, 33 (2017), 085011, 20pp. doi: 10.1088/1361-6420/aa777d.
    [35] X. LiuS. Meng and B. Zhang, Modified sampling method with near field measurements, SIAM Journal on Applied Mathematics, 82 (2022), 244-266.  doi: 10.1137/21M1432235.
    [36] W. McLeanStrongly Elliptic Systems and Boundary Integral Equations, Cambridge University Press, Cambridge, 2000. 
    [37] R. Potthast, A study on orthogonality sampling, Inverse Problems, 26 (2010), 074015.  doi: 10.1088/0266-5611/26/7/074015.
    [38] P. Serranho, A hybrid method for inverse scattering for shape and impedance, Inverse Problems, 22 (2006), 663-680.  doi: 10.1088/0266-5611/22/2/017.
    [39] J. YangB. Zhang and H. Zhang, Reconstruction of complex obstacles with generalized impedance boundary conditions from far-field data, SIAM Journal on Applied Mathematics, 74 (2014), 106-124.  doi: 10.1137/130921350.
    [40] Y. Yin and L. Yan, Bayesian model error method for the passive inverse scattering problem, Inverse Problems, 40 (2024), 065005, 25pp. doi: 10.1088/1361-6420/ad3f40.
    [41] B. Zhang and H. Zhang, An approximate factorization method for inverse acoustic scattering with phaseless total-field data, SIAM Journal on Applied Mathematics, 80 (2020), 2271-2298.  doi: 10.1137/19M1280612.
    [42] D. Zhang, Y. Chang and Y. Guo, Jointly determining the point sources and obstacle from Cauchy data, Inverse Problems, 40 (2023), Paper No. 015014, 25 pp. doi: 10.1088/1361-6420/ad10c8.
    [43] D. Zhang, Y. Guo, Y. Wang and Y. Chang, Co-inversion of a scattering cavity and its internal sources: Uniqueness, decoupling and imaging, Inverse Problems, 39 (2023), Paper No. 065004, 21 pp.
  • 加载中

Figures(13)

SHARE

Article Metrics

HTML views(884) PDF downloads(208) Cited by(0)

Access History

Other Articles By Authors

Catalog

    /

    DownLoad:  Full-Size Img  PowerPoint
    Return
    Return