\`x^2+y_1+z_12^34\`
Advanced Search
Article Contents
Article Contents

Electricity supply chain coordination with carbon abatement technology investment under the benchmarking mechanism

  • * Corresponding author: Yongkai Ma

    * Corresponding author: Yongkai Ma 
Abstract / Introduction Full Text(HTML) Figure(7) / Table(1) Related Papers Cited by
  • The introduction of the benchmarking mechanism into the electricity industry has influenced whether utility firms choose to invest in carbon abatement technology. This study presents an electricity supply chain that includes a utility firm as the leader and a retailer as the follower to decide on the electricity price and carbon abatement technology investment. The study discusses the impact of the benchmarking mechanism on the decision-making of the electricity supply chain enterprises. The main conclusions are as follows: (1) Investing in carbon abatement technology increased electricity demand, customer surplus, and profits of the electricity supply chain enterprises. (2) Carbon abatement technology investment and profits of the supply chain enterprises increased with the unit carbon quota. (3) A revenue-sharing and cost-sharing contract could be used to coordinate the electricity supply chain.

    Mathematics Subject Classification: Primary: 91A12, 90B06; Secondary: 90B50.

    Citation:

    \begin{equation} \\ \end{equation}
  • 加载中
  • Figure 1.  Electricity supply chain with two strategies

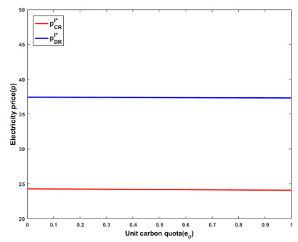
    Figure 2.  Electricity price $ p $ as $ e_0 $

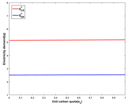
    Figure 3.  Electricity demand $ q $ as $ e_0 $

    Figure 4.  Carbon abatement technology investment $ \xi $ as $ e_0 $

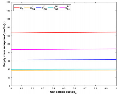
    Figure 5.  The supply chain enterprises' profits as $ e_0 $

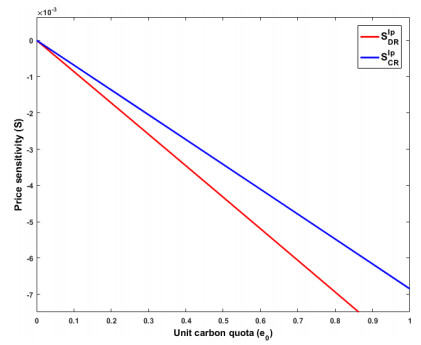
    Figure 6.  Price sensitivity

    Figure 7.  Carbon abatement technology sensitivity

    Table 1.  Notation and description of parameters

    Notation Description
    $ q $ Electricity demand
    $ a $ Potential electricity demand
    $ b $ Sensitivity coefficient of electricity price
    $ c $ Cost coefficient of electricity production
    $ k $ Cost coefficient of carbon abatement technology investment
    $ e_0 $ Unit carbon emission-free quota under the BM
    $ e $ Initial unit carbon emission
    $ t $ Carbon price
    $ \pi _R $ Profit of the electricity retailer
    $ \pi _U $ $ \pi _S $ Profit of the utility firm Profit of the supply chain
    Decision Variables
    $ p $ Electricity price
    $ w $ Electricity wholesale price
    $ \xi $ Carbon abatement technology investment
     | Show Table
    DownLoad: CSV
  • [1] A. Abdi, A. Abdi, N. Akbarpour, A. S. Amiri and M. Hajiaghaei-Keshteli, Innovative approaches to design and address green supply chain network with simultaneous pick-up and split delivery, Journal of Cleaner Production, 250 (2020), 119437. doi: 10.1016/j.jclepro.2019.119437.
    [2] M. H. Albadi and E. F. Elsaadany, A summary of demand response in electricity markets, Electric Power Systems Research, 78 (2008), 1989-1996.  doi: 10.1016/j.epsr.2008.04.002.
    [3] S. A. H. S. Amiri, A. Zahedi, M. Kazemi, J. Soroor and M. Hajiaghaei-Keshteli, Determination of the Optimal Sales Level of Perishable Goods in a Two-echelon Supply Chain Network, Computers & Industrial Engineering, 137 (2019), 106156. doi: 10.1016/j.cie.2019.106156.
    [4] A. Bhaumik, S. K. Roy and G. W. Weber, Multi-objective linguistic-neutrosophic matrix game and its applications to tourism management, Journal of Dynamics & Games, (2020). doi: 10.3934/jdg.2020031.
    [5] J. Bushnell, Oligopoly equilibria in electricity contract markets, Journal of Regulatory Economics, 32 (2007), 225-245.  doi: 10.1007/s11149-007-9031-2.
    [6] CEC (China Electricity Council), How to participate in the national carbon market?, http://www.sohu.com/a/211438692_418320. Accessed Dec, (2017).
    [7] CEN (China Energy Network), Electric power industry will become the main force of national carbon market, http://www.ocn.com.cn/touzi/chanjing/201712/dvqon20094629.shtml. Accessed Dec, (2017).
    [8] W. Chen, J. Chen and Y. K. Ma, Renewable energy investment and carbon emissions under cap-and-trade mechanisms, Journal of Cleaner Production, 278 (2021).
    [9] Y. ChenS. T. Ng and M. U. Hossain, Approach to establish carbon emission benchmarking for construction materials, Carbon Management, 9 (2018), 587-604.  doi: 10.1080/17583004.2018.1522094.
    [10] M. Dolmatova, D. Kozlovskiy, O. Khrustaleva andT. Sultanova, A. Vasin, Market parameters dependent indices for competition evaluation in electricity market, Electric Power Systems Research, 190 (2021), 106762. doi: 10.1016/j.epsr.2020.106762.
    [11] S. K. Das and S. K. Roy, Effect of variable carbon emission in a multi-objective transportation-p-facility location problem under neutrosophic environment, Computers & Industrial Engineering, 132 (2019), 311-324.  doi: 10.1016/j.cie.2019.04.037.
    [12] B. T. Erfan, M. Abbas, D. Zahra, S. Mehdi and W. Gerhard-Wilhelm, A novel hybrid method using fuzzy decision making and multi-objective programming for sustainable-reliable supplier selection in two-echelon supply chain design, Journal of Cleaner Production, 250 (2020), 119517, 19pp. doi: 10.1016/j.jclepro.2019.119517.
    [13] D. Ghosh and J. Shah, A comparative analysis of greening policies across supply chain structures, International Journal of Production Economics, 135 (2012), 568-583.  doi: 10.1016/j.ijpe.2011.05.027.
    [14] A. GoliE. B. TirkolaeeB. MalmirG. B. Bian and A. K. Sangaiah, A multi-objective invasive weed optimization algorithm for robust aggregate production planning under uncertain seasonal demand, Computing, 101 (2019), 499-529.  doi: 10.1007/s00607-018-00692-2.
    [15] M. HajiaghaeikeshteliS. M. Sajadifar and R. Haji, Determination of the economical policy of a three-echelon inventory system with (R, Q) ordering policy and information sharing, The International Journal of Advanced Manufacturing Technology, 55 (2011), 831-841. 
    [16] M. Hajiaghaeikeshteli and S. M. Sajadifar, Deriving the cost function for a class of three-echelon inventory system with N-retailers and one-for-one ordering policy, The International Journal of Advanced Manufacturing Technology, 50 (2010), 343-351.  doi: 10.1007/s00170-009-2486-9.
    [17] E. KropatG. W. Weber and E. B. Tirkolaee, Foundations of semialgebraic gene-environment networks, Journal of Dynamics & Games, 7 (2020), 253-268.  doi: 10.3934/jdg.2020018.
    [18] C. KooH. Kim and T. Hong, Framework for the analysis of the low-carbon scenario 2020 to achieve the national carbon Emissions reduction target: Focused on educational facilities, Energy Policy, 73 (2014), 356-367.  doi: 10.1016/j.enpol.2014.05.009.
    [19] M. S. Kiran, E. Ozceylan, M. Gunduz and T. Paksoy, Swarm intelligence approaches to estimate electricity energy demand in Turkey, Knowledge Based Systems, (2012), 93–103. doi: 10.1016/j.knosys.2012.06.009.
    [20] S. KhalilpourazariS. SoltanzadehG. W. Weber and S. K. Roy, Designing an efficient blood supply chain network in crisis: Neural learning, optimization and case study, Annals of Operations Research, 289 (2020), 123-152.  doi: 10.1007/s10479-019-03437-2.
    [21] S. Khalilpourazari and S. H. Pasandideh, Modeling and optimization of multi-item multi-constrained EOQ model for growing items, Knowledge Based Systems, (2019), 150–162. doi: 10.1016/j.knosys.2018.10.032.
    [22] W. Krabs and S. W. Pickl, Analysis, Controllability and Optimization of Time-Discrete Systems and Dynamical Games, Lecture Notes in Economics and Mathematical Systems, 2003. doi: 10.1007/978-3-642-18973-9.
    [23] A. KumarV. Jain and S. Kumar, A comprehensive environment friendly approach for supplier selection, Omega, 42 (2014), 109-123.  doi: 10.1016/j.omega.2013.04.003.
    [24] K.-H. Lee, Strategy equilibrium in stackelberg model with transmission congestion in electricity market, Journal of Electrical Engineering & Technology, 9 (2014), 90-97.  doi: 10.5370/JEET.2014.9.1.090.
    [25] Z. LiaoX. Zhu and J. Shi, Case study on initial allocation of Shanghai carbon emission trading based on Shapley value, Journal of Cleaner Production, 103 (2015), 338-344.  doi: 10.1016/j.jclepro.2014.06.045.
    [26] D. Lozovanu and Pi ckl S, Discrete control and algorithms for solving antagonistic dynamic games on networks, Optimization, 58 (2009), 665-683.  doi: 10.1080/02331930902819253.
    [27] X. Liu, Sub-sector Carbon dioxide emissions estimation that come from primal energy consumption in china in 2011, Science & Technology for Development, (2011). doi: 10.11842/chips.2011.01.002.
    [28] Z. LiuT. D. Anderson and J. M. Cruz, Consumer environmental awareness and competition in two-stage supply chains, European Journal of Operational Research, 218 (2012), 602-613.  doi: 10.1016/j.ejor.2011.11.027.
    [29] A. Mostafaeipour, M. Qolipour, M. Rezaei and E. Babaee-Tirkolaee, Investigation of off-grid photovoltaic systems for a reverse osmosis desalination system: A case study, Desalination, (2019), 91–103. doi: 10.1016/j.desal.2018.03.007.
    [30] T. PaksoyaE. Ozceylana and G. Weberb, A multi objective model for optimization of a green supply chain network, AIP Conference Proceedings, 1239 (2010), 311-320.  doi: 10.1063/1.3459765.
    [31] M. PervinS. K. Roy and G. Weber, Analysis of inventory control model with shortage under time-dependent demand and time-varying holding cost including stochastic deterioration, Annals of Operations Research, 260 (2018), 437-460.  doi: 10.1007/s10479-016-2355-5.
    [32] T. PaksoyT. Bektas and E. Ozceylan, Operational and environmental performance measures in a multi-product closed-loop supply chain, Transportation Research Part E-logistics and Transportation Review, 47 (2011), 532-546.  doi: 10.1016/j.tre.2010.12.001.
    [33] S. Swami and J. Shah, Channel Coordination in Green Supply Chain Management, Journal of the Operational Research Society, 64 (2013), 336-351.  doi: 10.1057/jors.2012.44.
    [34] J. Taheri-TolgariA. Mirzazadeh and F. Jolai, An inventory model for imperfect items under inflationary conditions with considering inspection errors, Computers & Mathematics with Applications, 63 (2012), 1007-1019.  doi: 10.1016/j.camwa.2011.09.050.
    [35] E. B. TirkolaeeA. GoliM. HematianA. Kumar and H. Tao, Multi-objective multi-mode resource constrained project scheduling problem using Pareto-based algorithms, Computing, 101 (2019), 547-570.  doi: 10.1007/s00607-018-00693-1.
    [36] A. VasinP. Kartunova and G. W. Weber, Models for capacity and electricity market design, Central European Journal of Operations Research, 21 (2013), 651-661.  doi: 10.1007/s10100-012-0259-2.
    [37] A. Vasin, Game-theoretic Study of Electricity Market Mechanisms, Procedia Computer Science, 31 (2014), 124-132.  doi: 10.1016/j.procs.2014.05.252.
    [38] Q. WangD. Zhao and L. He, Contracting emission reduction for supply chains considering market low-carbon preference, Journal of Cleaner Production, 120 (2016), 72-84.  doi: 10.1016/j.jclepro.2015.11.049.
    [39] X. Xu, P. He, H. Xu and Q. P. Zhang, Supply chain coordination with green technology under cap-and-trade regulation, International Journal of Production Economics, 183 (2017), 433-442. doi: 10.1016/j.ijpe.2016.08.029.
    [40] A. YildizbasiA. CalikT. PaksoyR. Z. Farahani and G Weber, Multi-level optimization of an automotive closed-loop supply chain network with interactive fuzzy programming approaches, Technological and Economic Development of Economy, 24 (2018), 1004-1028.  doi: 10.3846/20294913.2016.1253044.
    [41] N. Zhang and Y. Choi, Total-factor carbon emission performance of fossil fuel electricity plants in China: A metafrontier non-radial Malmquist index analysis, Energy Economics, 40 (2013), 549-559.  doi: 10.1016/j.eneco.2013.08.012.
    [42] Y.-J. ZhangA.-D. Wang and W. Tan, The impact of China's carbon allowance allocation rules on the product prices and emission reduction behaviors of ETS-covered enterprises, Energy Policy, 86 (2015), 176-185.  doi: 10.1016/j.enpol.2015.07.004.
  • 加载中

Figures(7)

Tables(1)

SHARE

Article Metrics

HTML views(4090) PDF downloads(752) Cited by(0)

Access History

Other Articles By Authors

Catalog

    /

    DownLoad:  Full-Size Img  PowerPoint
    Return
    Return