\`x^2+y_1+z_12^34\`
Advanced Search
Article Contents
Article Contents

Fourth party logistics service quality management with logistics audit

  • *Corresponding author: Min Huang

    *Corresponding author: Min Huang 
Abstract / Introduction Full Text(HTML) Figure(10) / Table(1) Related Papers Cited by
  • The logistics audit is an effective instrument for assessing logistics performance and identifying potential problems. The fourth party logistics firm (4PL) deputes the client's logistics delivery tasks to the third party logistics firm (3PL). To improve the service quality of the 3PL, we investigate the optimal contracting problem of the 4PL with logistics audits and examine the effect of the audit instrument. We model the issue with and without audit in the menu of contracts, and the cooperative bargaining contract. By comparing the optimal contract with and without audit, we find that the audit contract improves the service quality, and can reduce the information rent of the 4PL. The numerical results show that the audit contract yields higher expected profits to the 4PL when the rectification cost is lower. The proposed model can provide a potentially useful tool to help the 4PL manager decide on designing the optimal contract for controlling the logistics service quality.

    Mathematics Subject Classification: Primary: 91B41, 91B43, 91B03; Secondary: 91B26.

    Citation:

    \begin{equation} \\ \end{equation}
  • 加载中
  • Figure 1.  Model of auditing

    Figure 2.  The effort levels of 3PL in no audit and audit contracts with $ \phi = 3 $ (Left) and $ \phi = 6.5 $ (Right)

    Figure 3.  The probabilities of the service quality meeting the requirements with $ \phi = 3 $ (Left) and $ \phi = 6.5 $ (Right)

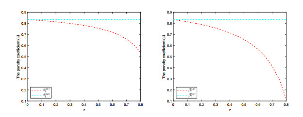
    Figure 4.  The penalty coefficients in the no audit and audit contracts under asymmetric information with $ \phi = 3 $ (Left) and $ \phi = 6.5 $ (Right)

    Figure 5.  The fixed payments in different contracts with $ \phi = 3 $ (Left) and $ \phi = 6.5 $ (Right)

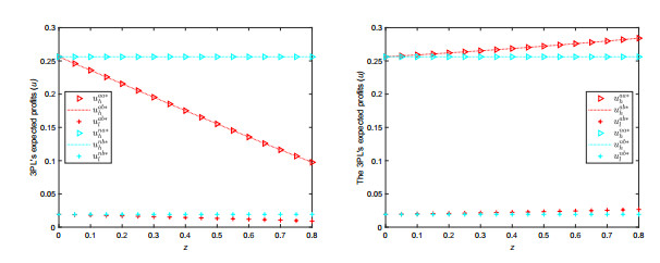
    Figure 6.  The expected profits for the 3PL in the audit and no audit contracts with $ \phi = 3 $ (Left) and $ \phi = 6.5 $ (Right)

    Figure 7.  The expected profits for the 4PL in the no audit and audit contracts under symmetric information with $ \phi = 3 $ (Left) and $ \phi = 6.5 $ (Right)

    Figure 8.  The expected profits for the 4PL in the no audit and audit contracts under asymmetric information with $ \phi = 3 $ (Left) and $ \phi = 6.5 $ (Right)

    Figure 9.  The expected profits for the 4PL in the bargaining contracts without and with an audit with $ \phi = 3 $ (Left) and $ \phi = 6.5 $ (Right)

    Figure 10.  The expected profits for the 4PL in different scenarios with an audit with $ \phi = 3 $ (Left) and $ \phi = 6.5 $ (Right)

    Table 1.  Notations and decision variables

    Symbols Descriptions
    $ i \in \{h,l\} $ The 3PL is the high cost type ($ h $) or low cost type ($ l $)
    $ v $ The probability of the 3PL being the high type, $ v \in (0,1) $
    $ k_i $ The $ i $-type 3PL's cost coefficient
    $ b $ 3PL's effort output coefficient
    $ \varepsilon $ Random variable, follows a uniform distribution, $ U(\mu_d,\mu_u) $
    $ \tilde{s}_i $ The actual service quality of the $ i $-type 3PL
    $ s $ The required service quality
    $ z $ 4PL's audit level, $ z\in (0,1) $
    $ k_z $ 4PL's cost coefficient of the audit
    $ \rho $ Unit penalty
    $ \phi $ 3PL's rectification cost
    $ r $ 4PL's bargaining power, $ r \in [0,1] $
    $ B $ The payment that the 4PL receives from the client
    Decision variables
    $ \alpha_i $ The fixed payment that the 4PL gives to the 3PL
    $ \beta_i $ The penalty coefficient imposed by the 4PL on the 3PL
    $ e_i $ 3PL's effort level, $ e_i\in [0,1] $
     | Show Table
    DownLoad: CSV
  • [1] D. J. Bade and J. K. Mueller, New for the millennium: 4PL trademark, Transportation and Distribution, 40 (1999), 78-80. 
    [2] C. Beaudoin, The logistics audit: Essential for optimizing your business strategy, 2018. Available from: https://www.transglobelogistiques.com/en/the-logistics-audit-essential-for-optimizing-your-business-strategy/. (Accessed on 01/12/2021)
    [3] G. P. Cachon, Supply chain coordination with contracts, Handbooks in Operations Research and Management Science, 11 (2003), 227-339.  doi: 10.1016/S0927-0507(03)11006-7.
    [4] Cainiao Network Overview, 2016. Available from: https://www.alizila.com/wp-content/uploads/2016/09/Cainiao-Factsheet.pdf?x95431. (Accessed on 06/12/2021)
    [5] F. CaroP. ChintapalliK. Rajaram and C. S. Tang, Improving supplier compliance through joint and shared audits with collective penalty, M & SOM-Manuf. Serv. Oper. Manag., 20 (2018), 363-380. 
    [6] J. ChenA. Qi and M. Dawande, Supplier centrality and auditing priority in socially responsible supply chains, M & SOM-Manuf. Serv. Oper. Manag., 22 (2020), 1199-1214. 
    [7] L. Chen and H. L. Lee, Sourcing under supplier responsibility risk: The effects of certification, audit, and contingency payment, Manage. Sci., 63 (2017), 2795-2812. 
    [8] X. Fang and S.-H. Cho, Cooperative approaches to managing social responsibility in a market with externalities, M & SOM-Manuf. Serv. Oper. Manag., 6 (2020), 1215-1233. 
    [9] T. FengZ. J. Ren and F. Zhang, Service outsourcing: Capacity, quality and correlated costs, Prod. Oper. Manag., 28 (2019), 682-699. 
    [10] M. HuangJ. TuX. Chao and D. Jin, Quality risk in logistics outsourcing: A fourth party logistics perspective, Eur. J. Oper. Res., 276 (2019), 855-879.  doi: 10.1016/j.ejor.2019.01.049.
    [11] B. Johnson, How do we define a management audit for logistics operations?, 2021. Available from: https://www.nebco.co.uk/reviews/best-management-audit-tips-logistics-operations. (Accessed on 03/01/2021)
    [12] J. J. Laffont and  D. MartimortThe Theory of Incentives: The Principal-Agent Model, NJ: Princeton University Press, Princeton, 2002. 
    [13] W. LiuX. ShenD. Wang and J. Wang, Order allocation model in logistics service supply chain with demand updating and inequity aversion: A perspective of two option contracts comparison, J. Ind. Manag. Optim., 17 (2021), 3269-3295.  doi: 10.3934/jimo.2020118.
    [14] W. Liu and Y. Wang, Quality control game model in logistics service supply chain based on different combinations of risk attitude, Int. J. Prod. Econ., 161 (2015), 181-191. 
    [15] W. Liu and D. Xie, Quality decision of the logistics service supply chain with service quality guarantee, Int. J. Prod. Res., 51 (2013), 1618-1634. 
    [16] X. LiuK. ZhangB. ChenJ. Zhou and L. Miao, Analysis of logistics service supply chain for the one belt and one road initiative of china, Transp. Res. Pt. e-Logist. Transp. Rev., 117 (2018), 23-39. 
    [17] M. Nagarajan and Y. Bassok, A bargaining framework in supply chains: The assembly problem, Manage. Sci., 54 (2008), 1482-1496. 
    [18] J. F. Nash, The bargaining problem, Econometrica, 18 (1950), 155-162.  doi: 10.2307/1907266.
    [19] M. E. Nikoofal and M. Gümüş, Quality at the source or at the end? managing supplier quality under information asymmetry, M & SOM-Manuf. Serv. Oper. Manag., 20 (2018), 498-516. 
    [20] M. E. Nikoofal and M. Gümüş, Value of audit for supply chains with hidden action and information, Eur. J. Oper. Res., 285 (2020), 902-915.  doi: 10.1016/j.ejor.2020.02.024.
    [21] E. L. Plambeck and T. A. Taylor, Supplier evasion of a buyer's audit: Implications for motivating supplier social and environmental responsibility, M & SOM-Manuf. Serv. Oper. Manag., 18 (2016), 184-197. 
    [22] V. Sangam, The logistics audit, 2017. Available from: https://vijaysangamworld.wordpress.com/2017/06/19/logistics-audit/. (Accessed on 06/18/2021)
    [23] J. SekulováE. BlinovaE. Nedeliaková and J. J. P. C. Majerčák, Logistic audit of a company, Perner's Contacts, 9 (2014), 67-73. 
    [24] Supply Chain Audit, 2020. Available from: https://www.establishinc.com/supply-chain-audit. (Accessed on 05/10/2020)
    [25] K. Tom, Third-party logistics vs. fourth-party logistics, 2019. Available from: http://www.leansupplysolutions.com/blog/third-party-logistics-vs-fourth-party-logistics/. (Accessed on 04/22/2021)
    [26] Y. WangS. W. WallaceB. Shen and T.-M. Choi, Service supply chain management: A review of operational models, Eur. J. Oper. Res., 247 (2015), 685-698. 
    [27] S. Yang, GEODIS's 4PL omni-directional interpretation: What is the core competitiveness? How does it work? Where is the profit margin?, 2017. Available from: https://mp.weixin.qq.com/s?__biz=MjM5NjAzMjM4MA==&mid=2651055909&idx=4&sn=94f3311cc05f2e6ce389c5244fa41e47&scene=19#wechat_redirect. (Accessed on 02/09/2021)
    [28] Y. Zhou and K.-H. Kim, Optimal parameters in concession contracts between container terminal operators and investors, Int. J. Logist.-Res. Appl., 23 (2020), 602-625. 
  • 加载中

Figures(10)

Tables(1)

SHARE

Article Metrics

HTML views(5287) PDF downloads(210) Cited by(0)

Access History

Other Articles By Authors

Catalog

    /

    DownLoad:  Full-Size Img  PowerPoint
    Return
    Return