\`x^2+y_1+z_12^34\`
Advanced Search
Article Contents
Article Contents

Product pricing, green effort decisions and coordination in a dynamic three-echelon green supply chain

  • *Corresponding author: Shijuan Wang

    *Corresponding author: Shijuan Wang 

This work is supported by the National Natural Science Foundation of China (nos. 71671079 and 71361018).

Abstract / Introduction Full Text(HTML) Figure(8) / Table(3) Related Papers Cited by
  • The paper focuses on a three-echelon supply chain consisting of a green supplier, a green manufacturer and a retailer. Considering the dynamic changes in product greenness, differential games are employed to investigate product prices, green efforts and coordination in the system. By comparing equilibrium results in various scenarios, it is found that supply chain decision-makers invest more in green efforts to maximize their profits under centralized decision, while they select pricing tools under decentralized decision. Importantly, when a local alliance composed of the supplier and manufacturer supplies products to the retailer at a flexible and dynamic wholesale price, the two-part tariff contract can fully coordinate the three-echelon green supply chain. The Rubinstein bargaining model is then used to optimize the profit allocation within the alliance. Additionally, the impact of green effort efficiency on decision-making is explored, revealing that green efforts depend on the efficiency of green efforts, while product pricing has nothing to do with the efficiency of efforts. The paper also points out that decentralization increases the probability of the supplier engaging in more green efforts than the manufacturer.

    Mathematics Subject Classification: Primary: 90B06, 91A23.

    Citation:

    \begin{equation} \\ \end{equation}
  • 加载中
  • Figure 2.  The effect of $ c $ on the optimal trajectory of product greenness

    Figure 3.  The effect of $ {e_s} $ and $ {e_m} $ on $ {p^*} $

    Figure 4.  The effect of $ {e_s} $ and $ {e_m} $ on $ g_1^* $ and $ g_2^* $

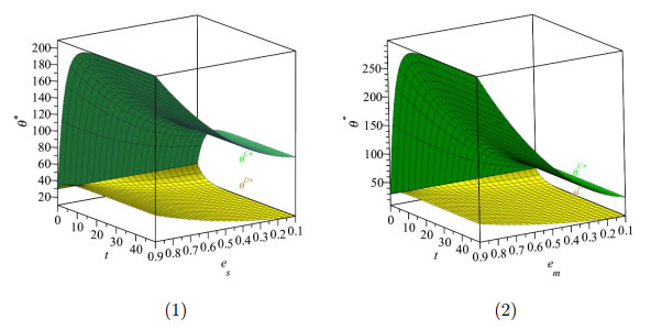
    Figure 5.  The effect of $ {e_s} $, $ {e_m} $ and $ t $ on $ {\theta ^*} $

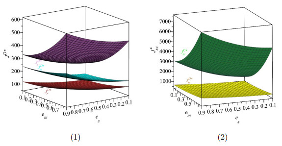
    Figure 6.  The effect of $ {e_s} $ and $ {e_m} $ on profits

    Figure 7.  The effect of $ K $ on changes in profts

    Figure 8.  The effect of $ {e_s} $ and $ {e_m} $ on $ K $

    Figure 9.  The effect of $ c $ on $ K $

    Table 1.  A comparison among literatures

    Author SC structure Differential game Decisions Coordination contract
    Xu et al. [41] 1M1R Pricing and emission reduction Revenue-sharing contract
    Wang et al. [37] 1S1M Emission reduction Two-way coop contract
    Dong et al. [8] 1M1R Order quantity (production) and sustainability Revenue-sharing contract
    Cao et al. [6] 1S1M Pricing, green planting and green processing efforts Cost-sharing and buyback contracts
    Hong and Guo [11] 1M1R Pricing, greenness and green marketing efforts Two-part tariff contract
    Swami and Shah [32] 1M1R Pricing, manufacturer's and retailer's green efforts Two-part tariff contract
    Hosseini-Motlagh et al. [12] 1M2R Sustainability level and retailer's green efforts Compensation-based contract
    Liu et al. [22] 1S1M1R Pricing, green technology investment and green advertising investment Bilateral cost-sharing contract
    This paper 1S1M1R Pricing, supplier's and manufacturer's green efforts Two-part tariff contract
    S: supplier; M: manufacturer; R: retailer.
     | Show Table
    DownLoad: CSV

    Table 2.  Notation

    Parameters Description
    $\alpha$ Basic market demand
    $\beta$ Price sensitive coefficient
    $\lambda$ Consumers' green preference coefficient
    $c_s$ Unit production cost of green raw materials
    $c_m$ Unit production cost of the green product
    $s$ Marginal contribution of the supplier's green efforts to greenness
    $m$ Marginal contribution of the manufacturer's green efforts to greenness
    $\delta$ Decay rate of greenness
    $f$ Green effort cost coefficient of the supplier
    $h$ Green effort cost coefficient of the manufacturer
    $\theta_0$ Initial greenness
    $\rho$ Discount rate
    $D(t)$ Market demand
    State Variable
    $\theta(t)$ Green product's greenness
    Decision Variables
    $w_s(t)$ Unit wholesale price of raw materials
    $g_1(t)$ Supplier's green efforts
    $w_m(t)$ Unit wholesale price of the product
    $g_2(t)$ Manufacturer's green efforts
    $p(t)$ Unit retail price of the product
    Profits
    $J_s$ Supplier's profit
    $J_m$ Manufacturer's profit
    $J_r$ Retailer's profit
    $J_{sc}$ Total profit of the system
     | Show Table
    DownLoad: CSV

    Table 3.  Profits and coordination in the green supply chain

    $J_s^*$ $J_m^*$ $J_r^*$ $J_{sc}^{*}$
    Centralized scenario - - - 2880.00
    Decentralized scenario 315.00 157.50 90.00 562.50
    Two-part tariff contract $K$=526.50 $\phi$=0.6667 315.00 157.50 2407.50 2880.00
    $K$=603.75 $\phi$=0.7219 619.93 238.82 2021.25 2880.00
    $K$=681.00 $\phi$=0.7429 924.87 320.13 1635.00 2880.00
    $K$=758.25 $\phi$=0.7539 1229.80 401.45 1248.75 2880.00
    $K$=835.50 $\phi$=0.7607 1534.74 482.76 862.50 2880.00
    $K$=912.75 $\phi$=0.7653 1839.67 564.08 476.25 2880.00
    $K$=990.00 $\phi$=0.7687 2144.61 645.39 90.00 2880.00
     | Show Table
    DownLoad: CSV
  • [1] Apple, 2023 Environmental Progress Report, 2023. Available from: https://www.apple.com/environment/pdf/Apple_Environmental_Progress_Report_2023.pdf.
    [2] Q. BaiM. Chen and L. Xu, Revenue and promotional cost-sharing contract versus two-part tariff contract in coordinating sustainable supply chain systems with deteriorating items, International Journal of Production Economics, 187 (2017), 85-101. 
    [3] Q. BaiY. GongM. Jin and X. Xu, Effects of carbon emission reduction on supply chain coordination with vendor-managed deteriorating product inventory, International Journal of Production Economics, 208 (2019), 83-99. 
    [4] D. BrécardB. HlaimiS. LucasY. Perraudeau and F. Salladarré, Determinants of demand for green products: An application to eco-label demand for fish in Europe, Ecological Economics, 69 (2009), 115-125. 
    [5] G. P. Cachon and M. A. Lariviere, Supply chain coordination with revenue-sharing contracts: Strengths and limitations, Management Science, 51 (2005), 30-44. 
    [6] Y. CaoL. TaoK. Wu and G. Wan, Coordinating joint greening efforts in an agri-food supply chain with environmentally sensitive demand, Journal of Cleaner Production, 277 (2020), 123883. 
    [7] China Green Supply Chain Alliance, China Green Supply Chain Development Report (2019), 2020. Available from: http://www.ecopv.org.cn/upload/gfzwh/file/20200623/1592913909819781.pdf.
    [8] C. DongB. ShenP. S. ChowL. Yang and C. T. Ng, Sustainability investment under cap-and-trade regulation, Annals of Operations Research, 240 (2016), 509-531.  doi: 10.1007/s10479-013-1514-1.
    [9] S. DuL. Hu and M. Song, Production optimization considering environmental performance and preference in the cap-and-trade system, Journal of Cleaner Production, 112 (2016), 1600-1607. 
    [10] F. El Ouardighi, Supply quality management with optimal wholesale price and revenue sharing contracts: A two-stage game approach, International Journal of Production Economics, 156 (2014), 260-268. 
    [11] Z. Hong and X. Guo, Green product supply chain contracts considering environmental responsibilities, Omega, 83 (2019), 155-166. 
    [12] S. M. Hosseini-MotlaghS. Ebrahimi and A. Jokar, Sustainable supply chain coordination under competition and green effort scheme, Journal of the Operational Research Society, 72 (2021), 304-319. 
    [13] S. M. Hosseini-MotlaghK. GovindanM. Nematollahi and A. Jokar, An adjustable bi-level wholesale price contract for coordinating a supply chain under scenario-based stochastic demand, International Journal of Production Economics, 214 (2019), 175-195. 
    [14] A. P. Jeuland and S. M. Shugan, Managing channel profits, Marketing Science, 2 (1983), 239-272. 
    [15] J. JianB. LiN. Zhang and J. Su, Decision-making and coordination of green closed-loop supply chain with fairness concern, Journal of Cleaner Production, 298 (2021), 126779. 
    [16] S. KolayG. Shaffer and J. A. Ordover, All-units discounts in retail contracts, Journal of Economics & Management Strategy, 13 (2004), 429-459. 
    [17] L. Lambertini, Coordinating research and development efforts for quality improvement along a supply chain, European Journal of Operational Research, 270 (2018), 599-605.  doi: 10.1016/j.ejor.2018.03.037.
    [18] B. LiM. ZhuY. Jiang and Z. Li, Pricing policies of a competitive dual-channel green supply chain, Journal of Cleaner Production, 112 (2016), 2029-2042. 
    [19] Y. LiQ. DengC. Zhou and L. Feng, Environmental governance strategies in a two-echelon supply chain with tax and subsidy interactions, Annals of Operations Research, 290 (2020), 439-462.  doi: 10.1007/s10479-018-2975-z.
    [20] G. Liu, Development of green supply chain under the background of digital economy: Taking Apple's green supply chain model as an example, China Informationization, 11 (2022), 17-19. 
    [21] J. LiuT. XiaoC. Tian and H. Wang, Ordering and returns handling decisions and coordination in a supply chain with demand uncertainty, International Transactions in Operational Research, 27 (2020), 1033-1057.  doi: 10.1111/itor.12542.
    [22] L. LiuT. Han and H. Jin, Differential game study of three-level green supply chain considering brand goodwill under cost sharing mechanism, Control and Decision, 39 (2024), 659-668. 
    [23] P. MaK. W. Li and Z. Wang, Pricing decisions in closed-loop supply chains with marketing effort and fairness concerns, International Journal of Production Research, 55 (2017), 6710-6731. 
    [24] F. Mafakheri and F. Nasiri, Revenue sharing coordination in reverse logistics, Journal of Cleaner Production, 59 (2013), 185-196. 
    [25] K. S. Moorthy, Managing channel profits: Comment, Marketing Science, 6 (1987), 375. 
    [26] M. Nerlove and K. J. Arrow, Optimal advertising policy under dynamic conditions, Economica, 29 (1962), 129-142. 
    [27] S. PandaN. M. Modak and L. E. Cárdenas-Barrón, Coordinating a socially responsible closed-loop supply chain with product recycling, International Journal of Production Economics, 188 (2017), 11-21. 
    [28] K. Rahmani and M. Yavari, Pricing policies for a dual-channel green supply chain under demand disruptions, Computers & Industrial Engineering, 127 (2019), 493-510. 
    [29] A. RanjbarJ. HeydariM. Madani Hosseini and D. Yahyavi, Green channel coordination under asymmetric information, Annals of Operations Research, 329 (2023), 1049-1082.  doi: 10.1007/s10479-021-04284-w.
    [30] J. Sarkis, A strategic decision framework for green supply chain management, Journal of Cleaner Production, 11 (2003), 397. 
    [31] R. ShanL. Luo and R. Kou, Cost-sharing strategy for recycling and service investment in a closed-loop supply chain, RAIRO-Operations Research, 55 (2021), 2963-2990.  doi: 10.1051/ro/2021143.
    [32] S. Swami and J. Shah, Channel coordination in green supply chain management, Journal of the Operational Research Society, 64 (2013), 336-351. 
    [33] P. Toktaş-Palut, An integrated contract for coordinating a three-stage green forward and reverse supply chain under fairness concerns, Journal of Cleaner Production, 279 (2021), 123735. 
    [34] J. WangQ. ZhangX. LuR. MaB. Yu and H. Gao, Emission reduction and coordination of a dynamic supply chain with green reputation, Operational Research, 22 (2021), 3945-398. 
    [35] Q. Wang, Enterprise innovation in green supply chain: Case excerpt from "Best Practices for Green Supply Chain in the Electronic Information Industry 2019", China Sustainability Tribune, 4 (2019), 61-62. 
    [36] Y. WangH. WenZ. Hu and Y. Zhang, Collaborative innovation strategy of supply chain in the context of MCU domestic substitution: A differential game analysis, Computational Economics, 61 (2023), 1039-1074. 
    [37] Y. WangX. Xu and Q. Zhu, Carbon emission reduction decisions of supply chain members under cap-and-trade regulations: A differential game analysis, Computers & Industrial Engineering, 162 (2021), 107711. 
    [38] K. WuB. De SchutterJ. Rezaei and L. Tavasszy, Decision analysis and coordination in green supply chains with stochastic demand, International Journal of Systems Science: Operations & Logistics, 10 (2023), 2208277. 
    [39] Z. Xiang and M. Xu, Dynamic game strategies of a two-stage remanufacturing closed-loop supply chain considering Big Data marketing, technological innovation and overconfidence, Computers & Industrial Engineering, 145 (2020), 106538. 
    [40] T. Xiao and X. Qi, A two-stage supply chain with demand sensitive to price, delivery time, and reliability of delivery, Annals of Operations Research, 241 (2016), 475-496.  doi: 10.1007/s10479-012-1085-6.
    [41] L. XuC. Wang and J. Zhao, Decision and coordination in the dual-channel supply chain considering cap-and-trade regulation, Journal of Cleaner Production, 197 (2018), 551-561. 
    [42] X. XuX. Cheng and Y. Sun, Coordination contracts for outsourcing supply chain with financial constraint, International Journal of Production Economics, 162 (2015), 134-142. 
    [43] D. Yang and T. Xiao, Pricing and green level decisions of a green supply chain with governmental interventions under fuzzy uncertainties, Journal of Cleaner Production, 149 (2017), 1174-1187. 
    [44] C. Zhang and L. Liu, Research on coordination mechanism in three-level green supply chain under non-cooperative game, Applied Mathematical Modelling, 37 (2013), 3369-3379.  doi: 10.1016/j.apm.2012.08.006.
    [45] C. ZhangY. Liu and G. Han, Two-stage pricing strategies of a dual-channel supply chain considering public green preference, Computers & Industrial Engineering, 151 (2021), 106988. 
    [46] Q. Zhou, Study on the externality of industry in Henan Province, Practice in Foreign Economic Relations and Trade, 12 (2023), 85-90. 
  • 加载中

Figures(8)

Tables(3)

SHARE

Article Metrics

HTML views(3048) PDF downloads(304) Cited by(0)

Access History

Other Articles By Authors

Catalog

    /

    DownLoad:  Full-Size Img  PowerPoint
    Return
    Return