\`x^2+y_1+z_12^34\`
Advanced Search
Article Contents
Article Contents

Stochastic differential games on robust optimal asset-liability management with delay under the CEV model

  • *Corresponding author: Qing Zhou

    *Corresponding author: Qing Zhou

This work is supported by the National Key R&D Program of China [No. 2023YFA1009204] and the Fundamental Research Funds for the Central Universities [No. 2023ZCJH02].

Abstract / Introduction Full Text(HTML) Figure(5) / Table(2) Related Papers Cited by
  • This paper studies the stochastic differential game problem of robust optimal asset-liability management between two ambiguity-averse investors with delay under the constant elasticity of variance (CEV) model, aiming to optimize resource allocation, enhance profitability, manage risks and provide guidance. In our model, each investor has access to a risk-free asset and a risky asset whose price process follows the CEV model in a financial market. Their competitive relationship is characterized by the non-zero-sum stochastic differential game where they consider the relative performance measured by the difference in terminal wealth. Each investor aims to maximize the utility of the combination of his terminal wealth and the relative performance with delay. For cases of the power utility and the mean-variance utility, this paper utilizes robust optimal control theory and dynamic programming principle to obtain explicit expressions of the investment strategies and value functions. Finally, we provide theoretical guidance for asset-liability management (ALM) by illustrating the impact of model parameters on the optimal investment strategy under the expected power utility framework through several numerical examples.

    Mathematics Subject Classification: Primary: 91A15, 91B70; Secondary: 91G10, 93E20.

    Citation:

    \begin{equation} \\ \end{equation}
  • 加载中
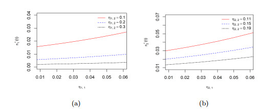
  • Figure 1.  Effect of $ \eta $ on $ \pi_k^*(t) $, for $ k = 1, 2 $

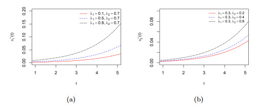
    Figure 2.  Effect of $ \lambda_k $ on $ \pi_k^*(t) $, for $ k = 1, 2 $

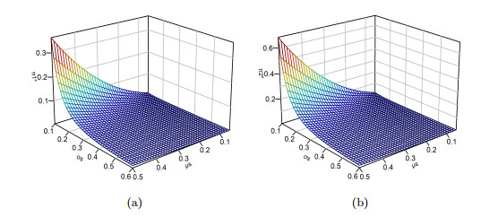
    Figure 3.  Effect of $ \sigma_s $ and $ \mu_s $ on $ \pi_k^*(t) $, for $ k = 1, 2 $

    Figure 4.  Effect of $ \rho_{k, i} $ and $ \lambda_k $ on $ \pi_k^*(t) $, for $ k = 1, 2 $

    Figure 5.  Effect of $ \eta_{k, 1} $ and $ \eta_{k, 2} $ on $ \pi_k^*(t) $, for $ k = 1, 2 $

    Table 1.  The common parameters values

    $r$ $ \mu_s$ $ \sigma_s$ $ \beta$ s t T $ \eta$
    0.05 0.1 0.4 1 1 0 10 0.4
     | Show Table
    DownLoad: CSV

    Table 2.  The parameter values of investors

    investor 1 investor 2
    $ \eta_{1, 1} $ 0.04 $ \eta_{2, 1} $ 0.03
    $ \delta_1 $ 0.05 $ \delta_2 $ 0.03
    $ \lambda_1 $ 0.3 $ \lambda_2 $ 0.7
    $ \gamma_1 $ 0.2 $ \gamma_2 $ 0.3
    $ h_1 $ 2 $ h_2 $ 3
    $ \rho_1 $ 0.5 $ \rho_2 $ 0.4
    $ \omega_1 $ 0.3 $ \omega_2 $ 0.1
     | Show Table
    DownLoad: CSV
  • [1] C. A and Z. Li, Optimal investment and excess-of-loss reinsurance problem with delay for an insurer under Heston's SV model, Insurance: Mathematics and Economics, 61 (2015), 181-196.  doi: 10.1016/j.insmatheco.2015.01.005.
    [2] E. W. AndersonL. P. Hansen and T. J. Sargent, A quartet of semigroups for model specification, robustness, prices of risk, and model detection, Journal of the European Economic Association, 1 (2003), 68-123.  doi: 10.1162/154247603322256774.
    [3] Y. BaiZ. ZhouH. Xiao and R. Gao, A Stackelberg reinsurance-investment game with asymmetric information and delay, Optimization, 70 (2020), 2131-2168.  doi: 10.1080/02331934.2020.1777125.
    [4] Y. BaiZ. ZhouH. XiaoR. Gao and F. Zhong, A hybrid stochastic differential reinsurance and investment game with bounded memory, European Journal of Operational Research, 296 (2022), 717-737.  doi: 10.1016/j.ejor.2021.04.046.
    [5] S. Basak and G. Chabakauri, Dynamic mean-variance asset allocation, Review of Financial Studies, 23 (2010), 2970-3016.  doi: 10.1093/rfs/hhq028.
    [6] A. Bensoussan and J. Frehse, Stochastic games for N players, Journal of Optimization Theory and Applications, 105 (2000), 543-565.  doi: 10.1023/A:1004637022496.
    [7] A. BensoussanC. C. SiuS. C. P. Yam and H. Yang, A class of non-zero-sum stochastic differential investment and reinsurance games, Automatica, 50 (2014), 2025-2037.  doi: 10.1016/j.automatica.2014.05.033.
    [8] T. BjörkM. Khapko and A. Murgoci, On time-inconsistent stochastic control in continuous time, Finance and Stochastics, 21 (2017), 331-360.  doi: 10.1007/s00780-017-0327-5.
    [9] T. Björk and A. Murgoci, A general theory of Markovian time inconsistent stochastic control problems, SSRN Electronic Journal, (2010). 
    [10] H. Chang and X. Rong, Optimal control for utility portfolio selection with liability, Chinese Journal of Applied Probability and Statistics, 28 (2012), 457-470. 
    [11] H. ChangX. Rong and H. Zhao, CEV model for asset and liability management under quadratic utility maximizing criterion, Chinese Journal of Engineering Mathematics, 31 (2014), 112-124. 
    [12] M. H. ChangT. Pang and Y. Yang, A stochastic portfolio optimization model with bounded memory, Mathematics of Operations Research, 36 (2011), 604-619.  doi: 10.1287/moor.1110.0508.
    [13] X. CuiX. Li and L. Yang, Better than optimal mean-variance portfolio policy in multi-period asset-liability management problem, Operations Research Letters, 48 (2020), 693-696.  doi: 10.1016/j.orl.2020.08.010.
    [14] G. E. Espinosa and N. Touzi, Optimal investment under relative performance concerns, Mathematical Finance, 25 (2015), 221-257.  doi: 10.1111/mafi.12034.
    [15] A. Hamidoğlu, A game-theoretical approach on the construction of a novel agri-food supply chain model supported by the government, Expert Systems With Applications, 237 (2024), 121353.  doi: 10.1016/j.eswa.2023.121353.
    [16] A. HamidoğluÖ. M. Gül and S. N. Kadry, A game-theoretical approach for the adoption of government-supported blockchain application in the IoT-enabled agricultural supply chain, Internet of Things, 26 (2024), 101163.  doi: 10.1016/j.iot.2024.101163.
    [17] A. Hamidoğlu and G. E. Weber, A novel Nash-based low-carbon implementation in agricultural supply chain management, Journal of Cleaner Production, 449 (2024), 141846.  doi: 10.1016/j.jclepro.2024.141846.
    [18] Y. HuangX. Yang and J. Zhou, Robust optimal investment and reinsurance problem for a general insurance company under Heston model, Mathematical Methods of Operations Research, 85 (2017), 305-326.  doi: 10.1007/s00186-017-0570-8.
    [19] Y. Shen and Y. Zeng, Optimal investment-reinsurance with delay for mean-variance insurers: A maximum principle approach, Insurance: Mathematics and Economics, 57 (2014), 1-12.  doi: 10.1016/j.insmatheco.2014.04.004.
    [20] N. Wang, N. Zhang, Z. Jin and L. Qian, Reinsurance-investment game between two mean-variance insurers under model uncertainty, Journal of Computational and Applied Mathematics, 382 (2021), Paper No. 113095, 27 pp. doi: 10.1016/j.cam.2020.113095.
    [21] H. Wu and C. Ma, Nonzero-sum stochastic differential portfolio game under a constant elasticity of variance model, Systems Engineering, 33 (2015), 1-7. 
    [22] T. YanJ. HanG. Ma and C. C. Siu, Dynamic asset-liability management with frictions, Insurance: Mathematics and Economics, 111 (2023), 57-83.  doi: 10.1016/j.insmatheco.2023.03.001.
    [23] L. YangC. ZhangH. Zhu and F. Li, Ambiguity aversion and time-consistent optimal investment for asset-liability management under the Heston model, Chinese Journal of Management Science, 29 (2020), 47-57. 
    [24] L. YangH. Zhu and C. Zhang, Portfolio game with liability based on the Heston stochastic volatility model, Operations Research and Management Science, 29 (2020), 27-34. 
    [25] P. YangZ. Wang and W. Sun, Stochastic differential games under mean-variance criterion with liability, Journal of Quantitative Economics, 33 (2016), 25-29. 
    [26] H. YaoY. Lai and Z. Hao, Uncertain exit time multi-period mean-variance portfolio selection with endogenous liabilities and Markov jumps, Automatica, 49 (2013), 3258-3269.  doi: 10.1016/j.automatica.2013.08.023.
    [27] B. YiZ. LiF. G. Viens and Y. Zeng, Robust optimal control for an insurer with reinsurance and investment under Heston's stochastic volatility model, Insurance: Mathematics and Economics, 53 (2013), 601-614.  doi: 10.1016/j.insmatheco.2013.08.011.
    [28] Y. YuanX. HanZ. Liang and K. C. Yuen, Optimal reinsurance-investment strategy with thinning dependence and delay factors under mean-variance framework, European Journal of Operational Research, 311 (2023), 581-595.  doi: 10.1016/j.ejor.2023.05.023.
    [29] Y. Yuan and H. Mi, Robust optimal asset-liability management with delay and ambiguity aversion in a jump-diffusion market, International Journal of Control, 96 (2023), 3083-3099.  doi: 10.1080/00207179.2022.2125444.
    [30] X. Zeng, A stochastic differential reinsurance game, Journal of Applied Probability, 47 (2010), 335-349.  doi: 10.1239/jap/1276784895.
    [31] Y. ZengZ. LiS. Zhu and H. Wu, Asset-liability management based on CRRA utility criterion, Chinese Journal of Management Science, 22 (2014), 1-8. 
    [32] Y. Zhang, Robust optimal investment strategies for mean-variance asset-liability management under 4/2 stochastic volatility models, Methodology and Computing in Applied Probability, 25 (2023), Paper No. 20, 32 pp. doi: 10.1007/s11009-023-10007-4.
    [33] G. Zhou, Z. Qiu and S. Li, A hybrid reinsurance-investment game with delay and asymmetric information, Journal of Computational and Applied Mathematics, 440 (2024), Paper No. 115491, 21 pp. doi: 10.1016/j.cam.2023.115491.
    [34] J. Zhu, G. Guan and S. Li, Time-consistent non-zero-sum stochastic differential reinsurance and investment game under default and volatility risks, Journal of Computational and Applied Mathematics, 374 (2020), 112737, 18 pp. doi: 10.1016/j.cam.2020.112737.
  • 加载中

Figures(5)

Tables(2)

SHARE

Article Metrics

HTML views(1534) PDF downloads(144) Cited by(0)

Access History

Other Articles By Authors

Catalog

    /

    DownLoad:  Full-Size Img  PowerPoint
    Return
    Return