\`x^2+y_1+z_12^34\`
Advanced Search
Article Contents
Article Contents

Portfolio selection balancing concentration and diversification

  • *Corresponding author: Tingting Zhang

    *Corresponding author: Tingting Zhang 
Abstract / Introduction Full Text(HTML) Figure(25) / Table(4) Related Papers Cited by
  • We investigate a tri-criteria portfolio optimization model that prohibits short selling. This model is designed to maximize the expected return rate of the portfolio while minimizing risk through two distinct risk functions. The first risk function represents the maximum uncertainty among all individual assets. The second risk function stands for the total uncertainty summation of all assets. To solve this model, we convert it into a succession of weighted sum piece-wise linear convex programs and conduct a thorough analysis of its optimal conditions. We provide precise analytical formulas for all efficient portfolios and visually demonstrate the composition of these optimal portfolios through graphical illustrations. Furthermore, we investigate the set of all efficient portfolios and their image set in the objective space, exploring their structural characteristics in terms of dimension and distribution. To facilitate a better understanding of the aforementioned details, we provide two specific examples. Lastly, empirical validation of the model has been carried out by using four real-world data sets from different stock markets, showcasing the commendable performance of the tri-criteria model.

    Mathematics Subject Classification: Primary: 58F15, 58F17; Secondary: 53C35.

    Citation:

    \begin{equation} \\ \end{equation}
  • 加载中
  • Figure 1.  $ \mathcal{D}(\mathbb{R})-E(\mathbb{R}) $ plane

    Figure 2.  Decomposition of $ \mathbb{W} $ in $ \mathbb{𝕣_𝕡}-\mathbb{𝕣_𝕗} $ plane

    Figure 3.  Heat maps of value of $ ||x||_0 $, $ \pi $, $ \omega_1 $ and $ \omega_{\infty} $ in $ \mathbb{𝕣_𝕡}-\mathbb{𝕣_𝕗} $ plane

    Figure 4.  Diagram of EP

    Figure 5.  Diagram of ES

    Figure 6.  Decomposition of $ \mathbb{W} $ in $ \mathbb{𝕣_𝕡}-\mathbb{𝕣_𝕗} $ plane

    Figure 7.  Heat maps of value of $ ||x||_0 $, $ \pi $, $ \omega_1 $ and $ \omega_{\infty} $ in $ \mathbb{𝕣_𝕡}-\mathbb{𝕣_𝕗} $ plane

    Figure 8.  Diagram of EP

    Figure 9.  Diagram of ES

    Figure 10.  Box plot for actual portfolios return at NASDAQ 100 data set (1 year)

    Figure 11.  Box plot for actual portfolios return at FTSE 100 data set (1 year)

    Figure 12.  Box plot for actual portfolios return at Hang Seng Index data set (1 year)

    Figure 13.  Box plot for actual portfolios return at Euro Stoxx 50 data set (1 year)

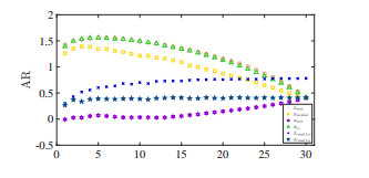
    Figure 14.  Scatter plot for AR of six investment strategies at NASDAQ 100 data set (1 year)

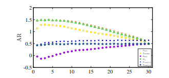
    Figure 15.  Scatter plot for AR of six investment strategies at FTSE 100 data set (1 year)

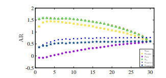
    Figure 16.  Scatter plot for AR of six investment strategies at Hang Seng Index data set (1 year)

    Figure 17.  Scatter plot for AR of six investment strategies at Euro Stoxx 50 data set (1 year)

    Figure 18.  Histograms for Spearman correlation coefficients between expected return rates and actual return rates at NASDAQ 100 data set (1 year)

    Figure 19.  Histograms for Spearman correlation coefficients between expected return rates and actual return rates at FTSE 100 data set (1 year)

    Figure 20.  Histograms for Spearman correlation coefficients between expected return rates and actual return rates at Hang Seng Index data set (1 year)

    Figure 21.  Histograms for Spearman correlation coefficients between expected return rates and actual return rates at Euro Stoxx 50 data set (1 year)

    Figure 22.  A comparative line chart depicting the number of efficient investment strategies identified by TPLCP versus the ratio of the number to total portfolio combinations $ C^n_{30} $, conditioned on the number of investment assets considered from $ 1 $ to $ 30 $ at NASDAQ 100 data set (1 year)

    Figure 23.  A comparative line chart depicting the number of efficient investment strategies identified by TPLCP versus the ratio of the number to total portfolio combinations $ C^n_{30} $, conditioned on the number of investment assets considered from $ 1 $ to $ 30 $ at FTSE 100 data set (1 year)

    Figure 24.  A comparative line chart depicting the number of efficient investment strategies identified by TPLCP versus the ratio of the number to total portfolio combinations $ C^n_{30} $, conditioned on the number of investment assets considered from $ 1 $ to $ 30 $ at Hang Seng Index data set (1 year)

    Figure 25.  A comparative line chart depicting the number of efficient investment strategies identified by TPLCP versus the ratio of the number to total portfolio combinations $ C^n_{30} $, conditioned on the number of investment assets considered from $ 1 $ to $ 30 $ at Euro Stoxx 50 data set (1 year)

    Table 1.  Information of partitioned blocks of $ \mathbb{W} $

    $ i $ $ W_i $ $ \textbf{ep}(W_i) $ $ \textbf{es}(W_i) $
    1 $ \text{ri conv}\{A, B, C\} $ $ \{x^1\} $ $ \{F(x^1)\} $
    2 $ \text{ri conv}\{B, C, D, E\} $ $ \{x^2\} $ $ \{F(x^{2})\} $
    3 $ \text{ri conv}\{C, E, F\} $ $ \{x^3\} $ $ \{F(x^{3})\} $
    4 $ \text{ri conv}\{D, E, G, H\} $ $ \{x^4\} $ $ \{F(x^{4})\} $
    5 $ \text{ri conv}\{D, E, G, H\} $ $ \{x^5\} $ $ \{F(x^{5})\} $
    6 $ \text{ri conv}\{F, I, J\} $ $ \{x^6\} $ $ \{F(x^{6})\} $
    7 $ \text{ri}(\{u-\lambda v\mid u\in[G, H], v\in[q_1, +\infty), \lambda\geq 0\}\setminus \mathbb{W}_6) $ $ \{x^{7}\} $ $ \{F(x^{7})\} $
    8 $ \text{ri}\{u-\lambda v\mid u\in[H, I], v\in[q_2, q_1], \lambda\geq 0\} $ $ \{x^{8}\} $ $ \{F(x^{8})\} $
    9 $ \text{ri}\{u-\lambda v\mid u\in[I, J], v\in[q_3, q_2], \lambda\geq 0\} $ $ \{x^{9}\} $ $ \{F(x^{9})\} $
    10 $ \text{ri}\{J-\lambda v\mid v\in[q_4, q_3], \lambda\geq 0\} $ $ \{x^{10}\} $ $ \{F(x^{10})\} $
    11 $ \text{ri}[B, C] $ $ [x^1, x^2] $ $ [F(x^{1}), F(x^{2})] $
    12 $ \text{ri}[C, E] $ $ [x^2, x^3] $ $ [F(x^{2}), F(x^{3})] $
    13 $ \text{ri}[D, E] $ $ [x^2, x^4] $ $ [F(x^{2}), F(x^{4})] $
    14 $ \text{ri}[E, F] $ $ [x^3, x^5] $ $ [F(x^{5}), F(x^{5})] $
    15 $ \text{ri}[F, I] $ $ [x^5, x^6] $ $ [F(x^{5}), F(x^{6})] $
    16 $ \text{ri}[G, H] $ $ [x^4, x^7] $ $ [F(x^{4}), F(x^{7})] $
    17 $ \text{ri}[H, I] $ $ [x^5, x^8] $ $ [F(x^{5}), F(x^{8})] $
    18 $ \text{ri}[I, J] $ $ [x^6, x^9] $ $ [F(x^{6}), F(x^{9})] $
    19 $ \text{ri}\{H-\lambda q_1\mid \lambda\geq0\} $ $ [x^{7}, x^{8}] $ $ [F(x^{7}), F(x^{8})] $
    20 $ \text{ri}\{I-\lambda q_2\mid \lambda\geq0\} $ $ [x^{8}, x^{9}] $ $ [F(x^{8}), F(x^{9})] $
    21 $ \text{ri}\{J-\lambda q_3\mid \lambda\geq0\} $ $ [x^{9}, x^{10}] $ $ [F(x^{9}), F(x^{10})] $
    22 $ \{E\} $ $ \text{conv}\{x^2, x^3, x^4, x^5\} $ $ \text{conv}\{F(x^2), F(x^3), $
    $ F(x^4), F(x^5)\} $
    23 $ \{H\} $ $ \text{conv}\{x^4, x^5, x^7, x^8\} $ $ \text{conv}\{F(x^4), F(x^5), $
    $ F(x^7), F(x^8)\} $
    24 $ \{I\} $ $ \text{conv}\{x^5, x^6, x^8, x^9\} $ $ \text{conv}\{F(x^5), F(x^6), $
    $ F(x^8), F(x^9)\} $
     | Show Table
    DownLoad: CSV

    Table 2.  Information of partitioned blocks of $ \mathbb{W} $

    $ i $ $ W_i $ $ \textbf{ep}(W_i) $ $ \textbf{es}(W_i) $
    1 $ \text{ri conv}\{A, B, D, E\} $ $ \{x^1\} $ $ \{F(x^1)\} $
    2 $ \text{ri conv}\{B, C, D\} $ $ \{x^2\} $ $ \{F(x^2)\} $
    3 $ \text{ri conv}\{D, G, H, E\} $ $ \{x^3\} $ $ \{F(x^3)\} $
    4 $ \text{ri conv}\{C, D, G, F\} $ $ \{x^4\} $ $ \{F(x^4)\} $
    5 $ \text{ri conv}\{F, G, K, J\} $ $ \{x^5\} $ $ \{F(x^5)\} $
    6 $ \text{ri conv}\{G, K, H\} $ $ \{x^6\} $ $ \{F(x^6)\} $
    7 $ \text{ri conv}\{E, H, I\} $ $ \{x^{7}\} $ $ \{F(x^7)\} $
    8 $ \text{ri conv}\{H, K, L, I\} $ $ \{x^{11}\} $ $ \{F(x^{11})\} $
    9 $ \text{ri conv}\{I, L, M\} $ $ \{x^{14}\} $ $ \{F(x^{14})\} $
    10 $ \text{ri}\{u-\lambda v\mid u\in[v^{10}, K], v\in[q_1, +\infty), \lambda\geq 0\} $ $ \{x^{8}\} $ $ \{F(x^8)\} $
    11 $ \text{ri}\{K-\lambda v\mid v\in[q_2, q_1], \lambda\geq 0\} $ $ \{x^{12}\} $ $ \{F(x^8)\}\} $
    12 $ \text{ri}\{u-\lambda v\mid u\in[K, L], v\in[q_3, q_2], \lambda\geq 0\} $ $ \{x^{13}\} $ $ \{F(x^{13})\} $
    13 $ \text{ri}\{u-\lambda v\mid u\in[L, M], v\in[q_4, q_3], \lambda\geq 0\} $ $ \{x^{15}\} $ $ \{F(x^{15})\} $
    14 $ \text{ri}\{M-\lambda v\mid v\in[q_5, q_4], \lambda\geq 0\} $ $ \{x^{16}\} $ $ \{F(x^{16})\} $
    15 $ \text{ri}[B, D] $ $ [x^1, x^2] $ $ [F(x^1), F(x^2)] $
    16 $ \text{ri}[C, D] $ $ [x^2, x^4] $ $ [F(x^2), F(x^4)] $
    17 $ \text{ri}[D, G] $ $ [x^3, x^4] $ $ [F(x^3), F(x^4)] $
    18 $ \text{ri}[D, E] $ $ [x^1, x^3] $ $ [F(x^1), F(x^3)] $
    19 $ \text{ri}[E, H] $ $ [x^3, x^7] $ $ [F(x^3), F(x^7)] $
    20 $ \text{ri}[F, G] $ $ [x^4, x^5] $ $ [F(x^4), F(x^5)] $
    21 $ \text{ri}[G, H] $ $ [x^3, x^6] $ $ [F(x^3), F(x^6)] $
    22 $ \text{ri}[H, I] $ $ [x^7, x^{11}] $ $ [F(x^7), F(x^{11})] $
    23 $ \text{ri}[G, K] $ $ [x^5, x^6] $ $ [F(x^5), F(x^6)] $
    24 $ \text{ri}[H, K] $ $ [x^6, x^{14}] $ $ [F(x^6), F(x^{14})] $
    25 $ \text{ri}[I, L] $ $ [x^{11}, x^{14}] $ $ [F(x^{11}), F(x^{14})] $
    26 $ \text{ri}[J, K] $ $ [x^5, x^{8}] $ $ [F(x^5), F(x^8)] $
    27 $ \text{ri}[K, L] $ $ [x^{11}, x^{13}] $ $ [F(x^{11}), F(x^{13})] $
    28 $ \text{ri}[L, M] $ $ [x^{14}, x^{15}] $ $ [F(x^{14}), F(x^{15})] $
    29 $ \text{ri}\{K-\lambda q_1\mid \lambda\geq0\} $ $ [x^{8}, x^{12}] $ $ [F(x^8), F(x^{12})] $
    30 $ \text{ri}\{K-\lambda q_2\mid \lambda\geq0\} $ $ [x^{12}, x^{13}] $ $ [F(x^8), F(x^{13})] $
    31 $ \text{ri}\{L-\lambda q_3\mid \lambda\geq0\} $ $ [x^{13}, x^{15}] $ $ [F(x^{13}), F(x^{15})] $
    32 $ \text{ri}\{M-\lambda q_4\mid \lambda\geq0\} $ $ [x^{15}, x^{16}] $ $ [F(x^{15}), F(x^{16})] $
    33 $ \text{ri}~~ \{D\} $ $ \text{conv}\{x^1, x^2, x^3, x^4\} $ $ \text{conv}\{F(x^1), F(x^2), $
    $ , F(x^3), F(x^4)\} $
    34 $ \text{ri}\{ G\} $ $ \text{conv}\{x^3, x^4, x^5, x^6\} $ $ \text{conv}\{F(x^3), F(x^4), $
    $ F(x^5), F(x^6)\} $
    35 $ \text{ri}\{ H\} $ $ \text{conv}\{x^4, x^6, x^{12}, x^{16}\} $ $ \text{conv}\{F(x^4), F(x^6), $
    $ F(x^{12}), F(x^{16})\} $
    36 $ \text{ri}\{ K\} $ $ \text{conv}\{x^5, x^6, x^{7}, x^{8}, $ $ \text{conv}\{F(x^5), F(x^6), F(x^7), $
    $ x^9, x^{10}, x^{11}, x^{12}\} $ $ F(x^8), F(x^{11}), F(x^{12})\} $
    37 $ \text{ri}\{ L\} $ $ \text{conv}\{x^{11}, x^{12}, x^{13}, x^{14}\} $ $ \text{conv}\{F(x^{11}), F(x^{12}), $
    $ F(x^{13}), F(x^{14})\} $
     | Show Table
    DownLoad: CSV

    Table 3.  Information of four data sets from real-world stock markets

    Data Set Region Time Trading Days $ N $
    FTSE 100 data set UK 01/01/2013$ \sim $31/12/2022 2518 30
    NASDAQ 100 data set USA 01/01/2013$ \sim $31/12/2022 2518 30
    Euro Stoxx 50 data set Eurozone 01/01/2013$ \sim $31/12/2022 2518 30
    Hang Seng Index data set HK 01/01/2013$ \sim $31/12/2022 2518 30
     | Show Table
    DownLoad: CSV

    Table 4.  Notations and their meanings

    notation meaning
    $ x_{rand, 1/n} $ random portfolio by $ 1/n $ strategy
    $ x_{rand, 1/q} $ random portfolio by $ 1/q $ strategy
    $ x_{l_{\infty}} $ efficient portfolio of BLP
    $ x_{max} $ efficient portfolio of TPLCP with maximum return
    $ x_{median} $ efficient portfolio of TPLCP with median return
    $ x_{min} $ efficient portfolio of TPLCP with minimum return
    $ x_{n, eff} $ efficient portfolio of TPLCP with $ n $ assets
    $ x_{n, ineff} $ inefficient portfolio of TPLCP with $ n $ assets
    $ AR $ average ratio of mean and standard deviation of daily actual returns
    during the investment period
    $ \mbox{KeyIndex}_{0, n} $ $ \{i\in \mbox{KeyIndex}\mid \dim(W_i)=0\ \mbox{with}\, \forall(\mathbb{𝕣_𝕡}, \mathbb{𝕣_𝕗})\in W_i, \, |I^>(\mathbb{𝕣_𝕡}, \mathbb{𝕣_𝕗})|=n\} $
     | Show Table
    DownLoad: CSV
  • [1] P. ArtznerF. DelbaenJ. Eber and D. Heath, Coherent measures of risk, Mathematical Finance, 9 (1999), 203-228.  doi: 10.1111/1467-9965.00068.
    [2] D. Bertsekas, Nonlinear Programming, 2$^{nd}$ edition, Athena Scientfic, Belmont, 1999.
    [3] J. BrodieI. DaubechiesC. De MolD. Giannone and I. Loris, Sparse and stable Markowitz portfolios, Proceedings of the National Academy of Sciences, 106 (2009), 12267-12272.  doi: 10.1073/pnas.0904287106.
    [4] R. BruniF. CesaroneA. Scozzari and F. Tardella, Real-world data sets for portfolio selection and solutions of some stochastic dominance portfolio models, Data in Brief, 8 (2016), 858-862.  doi: 10.1016/j.dib.2016.06.031.
    [5] X. CaiK. TeoX. Yang and X. Zhou, Portfolio optimization under a minimax rule, Management Science, 46 (2000), 957-972.  doi: 10.1287/mnsc.46.7.957.12039.
    [6] E. Candès and Y. Plan, Near-ideal model selection by $l_1$ minimization, Annals of Statistics, 37 (2009), 2145-2177.  doi: 10.1214/08-AOS653.
    [7] Z. Dai and F. Wen, A generalized approach to sparse and stable portfolio optimization problem, Journal of Industrial and Management Optimization, 14 (2018), 1651-1666.  doi: 10.3934/jimo.2018025.
    [8] E. De Giorgi, Reward-risk portfolio selection and stochastic dominance, Journal of Banking snf Finance, 29 (2005), 895-926. 
    [9] G. Dorfleitner and S. Utz, Safety first portfolio choice based on financial and sustainability returns, European Journal of Operational Research, 221 (2012), 155-164.  doi: 10.1016/j.ejor.2012.02.034.
    [10] M. Ehrgott, Multicriteria Optimization, $2^{nd}$ edition, Springer-Verlag, Berlin, 2005.
    [11] J. Gao and D. Li, Optimal cardinality constrained portfolio selection, Operations Research, 61 (2013), 745-761.  doi: 10.1287/opre.2013.1170.
    [12] M. HirschbergerR. SteuerS. UtzM. Wimmer and Y. Qi, Computing the nondominated surface in tri-criterion portfolio selection, Operations Research, 61 (2013), 169-183.  doi: 10.1287/opre.1120.1140.
    [13] M. HoZ. Sun and J. Xin, Weighted elastic net penalized mean-variance portfolio design and computation, SIAM Journal on Financial Mathematics, 6 (2015), 1220-1244.  doi: 10.1137/15M1007872.
    [14] H. Konno, Piecewise linear risk function and portfolio optimization, Journal of the Operations Research Society of Japan, 33 (1990), 139-156.  doi: 10.15807/jorsj.33.139.
    [15] H. Konno and H. Yamazaki, Mean-absolute deviation portfolio optimization model and its applications to Tokyo stock market, Management Science, 37 (1991), 519-531.  doi: 10.1287/mnsc.37.5.519.
    [16] J. Lintner, The valuation of risk assets and the selection of risky investments in stock portfolios and capital budgets, Review of Economics and Statistics, 47 (1965), 13-37.  doi: 10.2307/1924119.
    [17] A. LoC. Petrov and M. Wierzbicki, It's 11pm-do you know where your liquidity is? The mean-variance-liquidity frontier, Journal of Investment Management, 1 (2006), 47-92.  doi: 10.1142/9789812700865_0003.
    [18] H. Markowitz, Portfolio selection, The Journal of Finance, 7 (1952), 77-91.  doi: 10.1111/j.1540-6261.1952.tb01525.x.
    [19] H. Markowitz, Portfolio Selection, Efficient Diversification of Investments, John Wiley & Sons, New York, 1959.
    [20] K. MengH. YangX. Yang and C. Yu, Portfolio optimization under a minimax rule revisited, Optimization, 71 (2022), 877-905.  doi: 10.1080/02331934.2021.1928665.
    [21] W. Ogryczak and A. Ruszczyński, From stochastic dominance to mean-risk models: Semideviations as risk measures, European Journal of Operational Research, 116 (1999), 33-50.  doi: 10.1016/S0377-2217(98)00167-2.
    [22] S. Pan, S. Lu, K. Meng and S. Zhu, Trade-off ratio functions for linear and piecewise linear multi-objective optimization problems, Journal of Optimization Theory and Applications, 188, (2021), 402-419. doi: 10.1007/s10957-020-01788-6.
    [23] Y. QiR. Steuer and M. Wimmer, An analytical derivation of the efficient surface in portfolio selection with three criteria, Annals of Operations Research, 251 (2017), 161-177. 
    [24] Y. QiZ. Wang and S. Zhang, On analyzing and detecting multiple optima of portfolio optimization, Journal of Industrial and Management Optimization, 14 (2018), 309-323.  doi: 10.3934/jimo.2017048.
    [25] R. RockafellarConvex Analysis, Princeton University Press, Princeton, 1970. 
    [26] R. Rockafellar and S. Uryasev, Optimization of conditional value-at-risk, Journal of Risk, 2 (2000), 21-42.  doi: 10.21314/JOR.2000.038.
    [27] R. RockafellarS. Uryasev and M. Zabarankin, Generalized deviations in risk analysis, Finance and Stochastics, 10 (2006), 51-74.  doi: 10.1007/s00780-005-0165-8.
    [28] S. Ross, The arbitrage theory of capital asset pricing, Journal of Economic Theory, 13 (1976), 341-360.  doi: 10.1016/0022-0531(76)90046-6.
    [29] W. Sharpe, Capital asset prices: A theory of market equilibrium under conditions of risk, The Journal of Finance, 19 (1964), 425-442.  doi: 10.1111/j.1540-6261.1964.tb02865.x.
    [30] S. Still and I. Kondor, Regularizing portfolio optimization, New Journal of Physics, 12 (2010), 1-14.  doi: 10.1088/1367-2630/12/7/075034.
    [31] J. Tobin, Liquidity preference as behavior towards risk, The Review of Economic Studies, 25 (1958), 65-86.  doi: 10.2307/2296205.
    [32] H. Zhao and L. Kong, Penalty method for the sparse portfolio optimization problem, Journal of Industrial and Management Optimization, 20 (2024), 2864-2884.  doi: 10.3934/jimo.2024031.
    [33] H. Zou and T. Hastie, Regularization and variable selection via the elastic net, Journal of the Royal Statistical Society: Series B (Statistical Methodology), 67 (2005), 301-320.  doi: 10.1111/j.1467-9868.2005.00503.x.
  • 加载中

Figures(25)

Tables(4)

SHARE

Article Metrics

HTML views(3770) PDF downloads(146) Cited by(0)

Access History

Other Articles By Authors

Catalog

    /

    DownLoad:  Full-Size Img  PowerPoint
    Return
    Return