\`x^2+y_1+z_12^34\`
Advanced Search
Article Contents
Article Contents

Kinetic simulated annealing optimization with entropy-based cooling rate

  • *Corresponding author: Mattia Zanella

    *Corresponding author: Mattia Zanella

The first author is supported by the DFG grants [320021702/GRK2326] and [333849990/GRK2379], and by the EU Horizon Europe MSCA-DN [No. 101072546]. The second author is supported by PRIN2022PNRR project [No.P2022Z7ZAJ], European Union - NextGenerationEU.

Abstract / Introduction Full Text(HTML) Figure(10) / Table(1) Related Papers Cited by
  • We present a modified simulated annealing method with a dynamical choice of the cooling temperature. The latter is determined via a closed-loop control and is proven to yield exponential decay of the entropy of the particle system. The analysis is carried out through kinetic equations for interacting particle systems describing the simulated annealing method in an extended phase space. Decay estimates are derived under the quasi-invariant scaling of the resulting system of Boltzmann-type equations to assess the consistency with their mean-field limit. Numerical results are provided to illustrate and support the theoretical findings.

    Mathematics Subject Classification: Primary: 35Q93, 82C40; Secondary: 35Q20, 35Q62, 35Q84.

    Citation:

    \begin{equation} \\ \end{equation}
  • 加载中
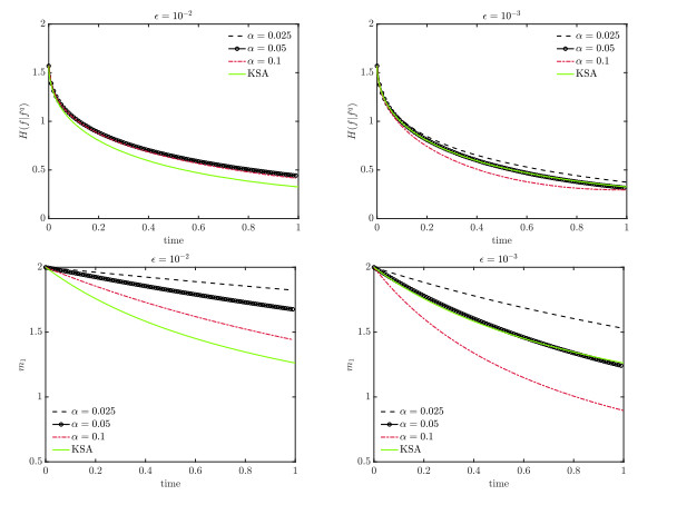
  • Figure 1.  Top row: evolution of the Shannon entropy $ H(f|f^q)(t) $ for several values of $ \alpha $, and for $ \epsilon = 10^{-2} $ (left) and $ \epsilon = 10^{-3} $ (right), we show in green the approximated evolution of the KSA algorithm with $ \epsilon = 10^{-4} $. Bottom row: evolution of the mean temperature of the system of particles $ m_1(t) = \int_{\mathbb R_+}Tg(T, t)dT $ for $ \epsilon = 10^{-2} $ (left) and $ \epsilon = 10^{-3} $ (right)

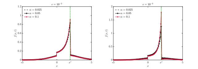
    Figure 2.  The distribution $ f(x, t) $ at time $ t = 1 $ for several values of $ \alpha = 0.025, 0.05, 0.1 $ for $ \epsilon = 10^{-2} $ (left) or $ \epsilon = 10^{-3} $ (right). In dotted green, we highlight $ x^* $, corresponding to the exact minimum of the function $ \mathcal{F}(x) $

    Figure 3.  Evolution of the distributions $ f(x, t) $, $ g(T, t) $ at time $ t = 1, 5, 10 $ for several values of $ \alpha = 0.025 $ (left), $ \alpha = 0.05 $ (center), and $ \alpha = 0.1 $ (right) for a fixed $ \epsilon = 10^{-3} $. In the top row, we report the evolution of $ f(x, t) $, and in the bottom row the evolution of $ g(T, t) $. We considered $ N = 10^6 $ particles both in space and temperature, $ p = 1/4 $, $ \theta = 0.05 $, and $ \sigma^2 = 0.1 $

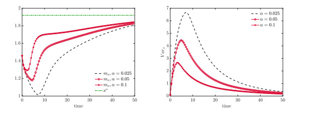
    Figure 4.  Evolution of the mean position $ m_x = \int_{\mathbb R} x f(x, t)dx $ and of its variance $ Var_x = \int_{\mathbb R} (x-m_x)^2 f(x, t)dx $ over the time interval $ [0, 50] $ and several values of the parameter $ \alpha = 0.025, 0.05, 0.1 $

    Figure 5.  Top row: estimated values of $ \lambda>0 $ defined in (38) and several values of $ \alpha = 0.025, 0.05, 0.1 $. Bottom row: estimated values of $ \mathcal I_ \mathcal{F}(t) = \int_{\mathbb R} \mathcal{F}(x)(f^q(x, t)-f(x, t))dx $ for several values of $ \alpha = 0.025, 0.05, 0.1 $. We considered $ \epsilon = 10^{-2} $ (left) and $ \epsilon = 10^{-3} $ (right)

    Figure 6.  Top row: evolution of the Shannon entropy $ H(f|f^q)(t) $ for several values of $ \alpha $ for $ k \in\{ 1.5, 2.0, 2.5\} $ (left). Bottom row: evolution of the mean temperature of the system of particles $ m_k(t) = \int_{\mathbb R_+}Tg^q(T, t)dT $

    Figure 7.  Evolution of the distribution $ f(x, t) $ at time $ t = 1, 5, 10 $ for several values of $ \alpha = 0.025 $ (left), $ \alpha = 0.05 $ (center), $ \alpha = 0.1 $ (right), and $ k = 1.5 $ (first row), $ k = 2.0 $ (second row), $ k = 2.5 $ (third row). In all the tests we fixed $ N = 10^6 $, $ p = 1/4 $, $ \theta = 0.5 $, and $ \sigma = 0.1 $, the definition of $ \lambda[f](\cdot) $ is (46), and the initial state is (50)

    Figure 8.  Evolution of the quasi-equilibrium distribution of the temperature $ g^q(T, t) $ at time $ t = 1, 5, 10 $ for several values of $ \alpha = 0.025 $ (left), $ \alpha = 0.05 $ (center), $ \alpha = 0.1 $ (right), and $ k = 1.5 $ (first row), $ k = 2.0 $ (second row), $ k = 2.5 $ (third row). We computed the generalized gamma distribution defined in (48), where the definition of $ \lambda[f](\cdot) $ is (46)

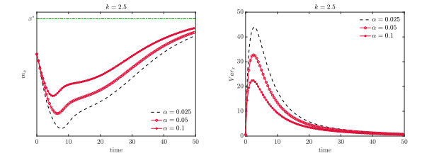
    Figure 9.  Evolution of the mean position $ m_x = \int_{\mathbb R}xf(x, t)dx $ and of its variance $ Var_x = \int_{\mathbb R}(x-m_x)^2f(x, t)dx $ over the time interval $ [0, 50] $ and several values of the parameter $ \alpha = 0.025, 0.05, 0.1 $ in the case $ k = 2.5 $

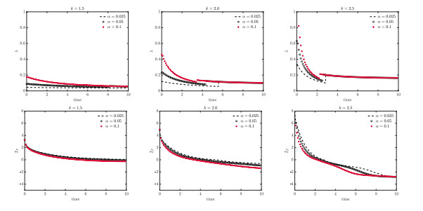
    Figure 10.  Top row: estimated values of $ \lambda>0 $ as in (46) for several values of $ \alpha = 0.025, 0.05, 0.1 $ and $ \kappa = 1.5 $ (left), $ \kappa = 2.0 $ (center), $ \kappa = 2.5 $ (right). Bottom row: estimated values of $ \mathcal I_ \mathcal{F}(t) $. We considered $ N = 10^6 $ particles both in space and temperature, $ p = 1/4 $, $ \theta = 0.05 $ and $ \sigma^2 = 0.1 $. The initial condition is reported in (50)

    Table 1.  Values of $ N_{ \text{ave}} $ for different $ N $, $ \alpha>0 $, and final times $ T $

    $ N_{ \text{ave}} $
    $ \alpha = 0.025 $ $ \alpha = 0.05 $ $ \alpha = 0.1 $
    $ T = 50 $ $ N=50 $ 0.9486 0.9498 0.9328
    $ N=100 $ 0.9493 0.9501 0.9485
    $ N=200 $ 0.9548 0.9532 0.9527
    $ T = 100 $ $ N=50 $ 0.9825 0.9695 0.9376
    $ N=100 $ 0.9940 0.9908 0.9656
    $ N=200 $ 0.9960 0.9954 0.9858
     | Show Table
    DownLoad: CSV
  • [1] E. Aarts and J. Korst, Simulated Annealing and Boltzmann Machines. A Stochastic Approach to Combinatorial Optimization and Neural Computing, Wiley-Interscience Series in Discrete Mathematics and Optimization, John Wiley & Sons, Ltd., Chichester, 1989.
    [2] G. AlbiF. Ferrarese and C. Totzeck, Kinetic-based optimization enhanced by genetic dynamics, Math. Mod. Meth. Appl. Sci., 33 (2023), 2905-2933. 
    [3] F. Auricchio, G. Toscani and M. Zanella, Trends to equilibrium for a nonlocal Fokker-Planck equation, Appl. Math. Lett., 145 (2023), Paper No. 108746, 8 pp.
    [4] C. J. P. Bélisle, Convergence theorems for a class of simulated annealing algorithms on ${\mathbb{R}}^d$, J. Appl. Probab., 29 (1992), 885-895. 
    [5] N. Bellomo and S.-Y. Ha, A quest toward a mathematical theory of the dynamics of swarms, Math. Models Methods Appl. Sci., 27 (2017), 745-770. 
    [6] M. BisiJ. A. Cañizo and B. Lods, Entropy dissipation estimates for the linear Boltzmann operator, J. Funct. Anal., 269 (2015), 1028-1069. 
    [7] C. Blum and A. Roli, Metaheuristics in combinatorial optimization: Overview and conceptual comparison, ACM Computing Surveys (CSUR), 35 (2003), 268-308. 
    [8] A. V. Bobylev and K. Nanbu, Theory of collision algorithms for gases and plasmas based on the Boltzmann equation and the Landau-Fokker-Planck equation, Phys. Rev. E, 61 (2000), 4576-4586. 
    [9] A. Bondesan, M. Menale, G. Toscani and M. Zanella, Lotka-Volterra-type kinetic equations for interacting species, Nonlinearity, 38 (2025), Paper No. 075026, 35 pp.
    [10] G. Borghi, M. Herty and L. Pareschi, Kinetic Models for Optimization: A Unified Mathematical Framework for Metaheuristics, 2024.
    [11] J. A. CarrilloY.-P. ChoiC. Totzeck and O. Tse, An analytical framework for consensus-based global optimization method, Math. Models Methods Appl. Sci., 28 (2018), 1037-1066. 
    [12] J. A. Carrillo, S. Jin, L. Li and Y. Zhu, A consensus-based global optimization method for high dimensional machine learning problems, ESAIM Control Optim. Calc. Var., 27 (2021), Paper No. S5, 22 pp.
    [13] J. A. Carrillo and G. Toscani, Contractive probability metrics and asymptotic behavior of dissipative kinetic equations, Riv. Mat. Univ. Parma, 6 (2007), 75-198. 
    [14] M. ChakN. Kantas and G. A. Pavliotis, On the generalized Langevin equation for simulated annealing, SIAM/ASA J. Uncert. Quantif., 11 (2023), 139-167. 
    [15] L. Chizat, Mean-field Langevin dynamics: Exponential convergence and annealing, arXiv preprint, arXiv: 2202.01009, (2022).
    [16] L. Desvillettes, On asymptotics of the Boltzmann equation when the collisions become grazing, Transport Theory Statist. Phys., 21 (1992), 259-276. 
    [17] M. FornasierT. Klock and K. Riedl, Consensus-based optimization methods converge globally, SIAM J. Optim., 34 (2024), 2973-3004. 
    [18] G. FurioliA. PulvirentiE. Terraneo and G. Toscani, Fokker-Planck equations in the modeling of socio-economic phenomena, Math. Mod. Meth. Appl. Sci., 27 (2017), 115-158. 
    [19] G. Furioli, A. Pulvirenti, E. Terraneo and G. Toscani, Wright-Fisher–type equations for opinion formation, large time behavior and weighted logarithmic-Sobolev inequalities, Ann. Inst. H. Poincaré Anal. Non Linéaire, 36 (2019), 2065-2082.
    [20] G. FurioliA. PulvirentiE. Terraneo and G. Toscani, One-dimensional Fokker-Planck equations and functional inequalities for heavy tailed densities, Milan J. Math., 90 (2022), 177-208.  doi: 10.1007/s00032-022-00352-3.
    [21] S. Geman and C.-R. Hwang, Diffusions for global optimization, SIAM J. Control Optim., 24 (1986), 1031-1043. 
    [22] L. Grippo and M. Sciandrone, Introduction to Methods for Nonlinear Optimization, Unitext, 152. Springer Nature, 2023.
    [23] S.-Y. HaS. Jin and D. Kim, Convergence of a first-order consensus-based global optimization algorithm, Math. Mod. Meth. Appl. Sci., 30 (2020), 2417-2444. 
    [24] B. Hajek, Cooling schedules for optimal annealing, Math. Oper. Res., 13 (1988), 311-329. 
    [25] L. Ingber, Very fast simulated re-annealing, Math. Comput. Model., 12 (1989), 967-973. 
    [26] L. Ingber, Simulated annealing: Practice versus theory, Math. Comput. Model., 18 (1993), 29-57.  doi: 10.1016/0895-7177(93)90204-C.
    [27] C. T. Kelley, Iterative Methods for Optimization, Frontiers Appl. Math., 18. Society for Industrial and Applied Mathematics (SIAM), Philadelphia, PA, 1999.
    [28] S. Kirkpatrick, C. D. Gelatt, Jr. and M. P. Vecchi, Optimization by simulated annealing, Science, 220 (1983), 671-680.
    [29] E. Marinari and G. Parisi, Simulated tempering: A new Monte Carlo scheme, Europhys. Lett., 19 (1992).
    [30] A. Nitanda, D. Wu and T. Suzuki, Convex analysis of the mean field Langevin dynamics, in International Conference on Artificial Intelligence and Statistics, PMLR, 2022, 9741-9757.
    [31] J. Nocedal and S. J. Wright, Numerical Optimization, Springer Series in Operations Research and Financial Engineering, Springer, New York, second ed., 2006.
    [32] F. Otto and C. Villani, Generalization of an inequality by Talagrand and links with the logarithmic Sobolev inequality, J. Funct. Anal., 173 (2000), 361-400. 
    [33] L. Pareschi, Optimization by linear kinetic equations and mean-field Langevin dynamics, Math. Mod. Meth. Appl. Sci., 34 (2024), 2191-2216. 
    [34] L. Pareschi, J. Franceschi and M. Zanella, Superlinear drift in consensus-based optimization with condensation phenomena, preprint, arXiv: 2506.09001, (2025).
    [35] L. Pareschi and G. Russo, An introduction to Monte Carlo method for the Boltzmann equation, in CEMRACS 1999 (Orsay), ESAIM: Proc., 10. Société de Mathématiques Appliquées et Industrielles, Paris, 2001, 35-75.
    [36] L. Pareschi and G. Toscani, Interacting Multiagent Systems: Kinetic Equations and Monte Carlo Methods, OUP Oxford, 2013.
    [37] L. Pareschi and M. Zanella, Structure preserving schemes for nonlinear Fokker-Planck equations and applications, J. Sci. Comput., 74 (2018), 1575-1600. 
    [38] R. PinnauC. TotzeckO. Tse and S. Martin, A consensus-based model for global optimization and its mean-field limit, Math. Mod. Meth. Appl. Sci., 27 (2017), 183-204. 
    [39] E. W. Stacy, A generalization of the gamma distribution, Ann. Math. Statist., 33 (1962), 1187-1192. 
    [40] G. Toscani, The grazing collisions asymptotics of the non-cut-off Kac equation, RAIRO Modél. Math. Anal. Numér., 32 (1998), 763-772. 
    [41] G. Toscani, Entropy production and the rate of convergence to equilibrium for the Fokker-Planck equation, Quart. Appl. Math., 57 (1999), 521-541.  doi: 10.1090/qam/1704435.
    [42] G. Toscani, Entropy-type inequalities for generalized Gamma densities, Ric. Mat., 70 (2021), 35-50. 
    [43] C. Totzeck and M.-T. Wolfram, Consensus-based global optimization with personal best, Math. Biosci. Eng., 17 (2020), 6026-6044. 
    [44] C. Villani, On a new class of weak solutions to the spatially homogeneous Boltzmann and Landau equations, Arch. Rational Mech. Anal., 143 (1998), 273-307. 
  • 加载中

Figures(10)

Tables(1)

SHARE

Article Metrics

HTML views(312) PDF downloads(19) Cited by(0)

Access History

Other Articles By Authors

Catalog

    /

    DownLoad:  Full-Size Img  PowerPoint
    Return
    Return