\`x^2+y_1+z_12^34\`
Advanced Search
Article Contents
Article Contents

Analysis of a mathematical model for brain lactate kinetics

Abstract / Introduction Full Text(HTML) Figure(7) / Table(5) Related Papers Cited by
  • The aim of this article is to study the well-posedness and properties of a fast-slow system which is related with brain lactate kinetics. In particular, we prove the existence and uniqueness of nonnegative solutions and obtain linear stability results. We also give numerical simulations with different values of the small parameter $\varepsilon$ and compare them with experimental data.

    Mathematics Subject Classification: 34A34, 35B09, 35Q92.

    Citation:

    \begin{equation} \\ \end{equation}
  • 加载中
  • Figure 1.  Schematic representation of lactate exchanges in a local brain part. There is a cotransport through the brain-blood barrier, a blood flow, cell creation and consumption and interactions between a cell and its neighborhood. Interactions are described in the main text

    Figure 2.  The functions $F$ and $J$; $F$ is a periodic function while $J$ is a monotone decreasing function of $u$

    Figure 3.  Intracellular and capillary lactate dynamics with nonconstant functions $J$ and $F$. On the left, the intracellular lactate trajectory is upper bounded. On the right, the capillary lactate trajectory is upper bounded too, but has an initial dip. At the bottom the orbit is typical of fast-slow systems

    Figure 4.  Intracellular and capillary lactate dynamics with constant functions $J$ and $F$. The intracellular lactate trajectory (on the left) and the capillary lactate trajectory (on the right) are both upper bounded and reach the corresponding steady state. The trajectories for the original system (with $\varepsilon >0$) are also lower bounded. On the right top corner the capillary lactate of the original system has an initial dip, while it does not exist on the capillary lactate curve of the limit system (right bottom corner)

    Figure 5.  Dynamics for different values of $\varepsilon$. On the left intracellular; the lactate trajectories seem not to differ a lot. On the right, the value of $\varepsilon$ is related to the dip stiffness for the capillary lactate trajectories

    Figure 6.  Dynamics for different values for $J$. On the right, the intracellular lactate trajectories are divided into two groups : for $J \in \{1, 0.1, 0.01 \}$, the concentration seems to explode, while for $J \in \{0.001, 0.0001\}$, it seems more stable. On the right the capillary lactate trajectories are devided into these two groups. For the first one, we can see a dip, while, for the second one, the steady state is not quickly reached

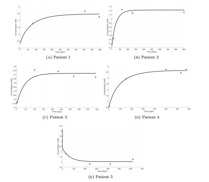
    Figure 7.  Lactate concentration changes in a local brain part. Lactate concentration is given in mM (vertical axis) and time in days (horizontal axis). The red dots stand for medical data values, while the model simulations are displayed in continuous lines. While the four first patients exhibit Grompertz growth of their brain lactate concentration, patient 5 lactate concentration decreases in time. All the dynamics simulations tend to the steady state given in section 2

    Table 1.  Parameters for $F$ and $J$

    ParameterValueUnit
    $F_0$0.012s$^{-1}$
    $\alpha_f$0.5 $1$
    $t_i$50 $s$
    $t_f$100 $s$
    $C_J$5.7*10$^{-5}$ $mM^2.s^{-1}$
    $\varepsilon_J$0.001 $mM$
    $G_J$0.002 $mM.s^{-1}$
    $L_J$0.001 $mM.s^{-1}$
     | Show Table
    DownLoad: CSV

    Table 2.  Parameters values

    ParameterValueUnit
    $T$0.01mM.s$^{-1}$
    $k$3.5mM
    $k'$3.5mM
    $L$0.3mM
    $\varepsilon$0.001s$^{-1}$
     | Show Table
    DownLoad: CSV

    Table 3.  Parameters values

    ParameterValueUnit
    $T$0.01mM.s$^{-1}$
    $k$3.5mM
    $k'$3.5mM
    $L$0.3mM
    $J$0.0057mM.s$^{-1}$
    $F$0.0272s$^{-1}$
    $\varepsilon$0.1s$^{-1}$
     | Show Table
    DownLoad: CSV

    Table 4.  Parameters values

    ParameterValueUnit
    $T$0.1mM.d$^{-1}$
    $k$3.5mM
    $k'$3.5mM
    $L$0.3mM
    $F$0.0272d$^{-1}$
    $\varepsilon$0.1d$^{-1}$
     | Show Table
    DownLoad: CSV

    Table 5.  Fitted values of $\bar{u}_0$, $\bar{v}_0$ and $J$

    Patient $\bar{u}_0$ (mM) $\bar{v}_0$ (mM) $J$ (mM.d$^{-1}$)
    $1$ $0.025$ $0.329$ $0.026$
    $2$ $0.017$ $0.320$ $0.010$
    $3$ $0.034$ $0.338$ $0.001$
    $4$ $0.146$ $0.460$ $0.036$
    $5$ $1.817$ $2.291$ $0.007$
     | Show Table
    DownLoad: CSV
  •   A. Aubert  and  R. Costalat , Interaction between astrocytes and neurons studied using a mathematical model of compartmentalized energy metabolism, Journal of Cerebral Blood Flow & Metabolism, 25 (2005) , 1476-1490.  doi: 10.1038/sj.jcbfm.9600144.
      A. Aubert , R. Costalat , P. Magistretti , J. Pierre  and  L. Pellerin , Brain lactate kinetics: modeling evidence for neuronal lactate uptake upon activation, Proceedings of the National Academy of Sciences of the United States of America, 102 (2005) , 16448-16453.  doi: 10.1073/pnas.0505427102.
      M. Cloutier , F. B. Bolger , J. P. Lowry  and  P. Wellstead , An integrative dynamic model of brain energy metabolism using in vivo neurochemical measurements, Journal of Computational Neuroscience, 27 (2009) , 391-414.  doi: 10.1007/s10827-009-0152-8.
      R. Costalat , J.-P. Françoise , C. Menuel , M. Lahutte , J.-N. Vallée , G. De Marco , J. Chiras  and  R. Guillevin , Mathematical modeling of metabolism and hemodynamics, Acta Biotheoretica, 60 (2012) , 99-107.  doi: 10.1007/s10441-012-9157-1.
      C. E. Griguer , C. R. Oliva  and  G. Y. Gillespie , Glucose metabolism heterogeneity in human and mouse malignant glioma cell lines, Journal of Neuro-oncology, 74 (2005) , 123-133.  doi: 10.1007/s11060-004-6404-6.
      R. Guillevin , C. Menuel , J.-N. Vallée , J.-P. Françoise , L. Capelle , C. Habas , G. De Marco , J. Chiras  and  R. Costalat , Mathematical modeling of energy metabolism and hemodynamics of WHO grade Ⅱ gliomas using in vivo MR data, Comptes rendus biologies, 334 (2011) , 31-38.  doi: 10.1016/j.crvi.2010.11.002.
      M. Lahutte-Auboin, R. Costalat, J.-P. Françoise, R. Guillevin, Dip and Buffering in a fast-slow system associated to Brain Lactacte Kinetics, preprint, arXiv: 1308.0486.
      M. Lahutte-Auboin , R. Guillevin , J.-P. Françoise , J.-N. Vallée  and  R. Costalat , On a minimal model for hemodynamics and metabolism of lactate : application to low grade glioma and therapeutic strategies, Acta Biotheoretica, 61 (2013) , 79-89.  doi: 10.1007/s10441-013-9174-8.
      P. J. Magistretti  and  I. Allaman , A cellular perspective on brain energy metabolism and functional imaging, Neuron, 86 (2015) , 883-901.  doi: 10.1016/j.neuron.2015.03.035.
      S. Mangia , G. Garreffa , M. Bianciardi , F. Giove , F. Di Salle  and  B. Maraviglia , The aerobic brain: Lactate decrease at the onset of neural activity, Neuroscience, 118 (2003) , 7-10.  doi: 10.1016/S0306-4522(02)00792-3.
      J. R. Mangiardi  and  P. Yodice , Metabolism of the malignant astrocytoma, Neurosurgery, 26 (1990) , 1-19. 
  • 加载中

Figures(7)

Tables(5)

SHARE

Article Metrics

HTML views(4130) PDF downloads(551) Cited by(0)

Access History

Catalog

    /

    DownLoad:  Full-Size Img  PowerPoint
    Return
    Return