\`x^2+y_1+z_12^34\`
Advanced Search
Article Contents
Article Contents

Numerical boundary control for semilinear hyperbolic systems

Abstract / Introduction Full Text(HTML) Figure(11) Related Papers Cited by
  • This work is devoted to the design of boundary controls of physical systems that are described by semilinear hyperbolic balance laws. A computational framework is presented that yields sufficient conditions for a boundary control to steer the system towards a desired state. The presented approach is based on a Lyapunov stability analysis and a CWENO-type reconstruction.

    Mathematics Subject Classification: Primary: 35L04, 93B52, 93D05; Secondary: 65N08.

    Citation:

    \begin{equation} \\ \end{equation}
  • 加载中
  • Figure 1.  Network with $ n $ arcs and coupling conditions $ B:\mathbb{R}^{2n}\rightarrow \mathbb{R}^{2n} $

    Figure 2.  Continuous setting for the computation of stabilizing boundary controls $ \mathcal{B}_t $

    Figure 3.  Semi-discrete setting for the computation of stabilizing boundary controls $ \mathcal{B}_t $

    Figure 4.  Deviations of the density to the steady state. The upper panels show a simulation with desired decay rate $ \mu = 0.1 $ where the parameters $ {{\hat{\mu}^s}_{{\mathcal{M}}}(t)} $ (left) and $ {{\hat{\mu}^s}_{\mathcal{Q}}(t)} $ (right) are used. The lower panels show simulations for the decay rate $ \mu = 1 $, respectively

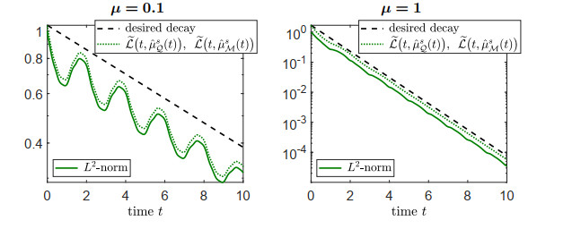
    Figure 5.  The $ L^2 $-norm $ \big\lVert {\mathcal{R}}(t, \cdot) \big\rVert^2_{L^2} $ and the scaled Lyapunov function (22) obtained by simulations with the parameter $ {\hat{\mu}^s}_{{\mathcal{M}} }(t) $ are plotted in blue. Simulations that are based on the parameter $ {\hat{\mu}^s}_{\mathcal{Q}}(t) $ are shown in red, respectively. The desired exponential decay is black dashed

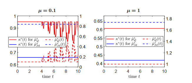
    Figure 6.  Left $ y $-axis shows the obtained boundary control $ \kappa^*(t) $ for the parameters $ {\hat{\mu}^s}_{\mathcal{Q}}(t) $ and $ {\hat{\mu}^s}_{\mathcal{M} }(t) $ which are plotted against the right axis as dashed line

    Figure 7.  Deviations of the density to the steady state with desired decay rate $ \mu = 1 $, where the parameter $ {{\hat{\mu}^s}_{{\mathcal{M}}}(t)} $ (left) and $ {{\hat{\mu}^s}_{\mathcal{Q}}(t)} $ (right) are used for the boundary control

    Figure 8.  The left panel shows the scaled Lyapunov function (22) and the $ L^2 $-norm obtained by simulations with the parameter $ {\hat{\mu}^s}_{{\mathcal{M}} }(t) $ in blue, while those corresponding to the parameter $ {\hat{\mu}^s}_{\mathcal{Q}}(t) $ are shown in red. The desired decay is black dashed. The right panel states the control $ \kappa^*(t) $ at the left $ y $-axis and the corresponding parameters $ {\hat{\mu}^s}_{{\mathcal{Q}} }(t) $ and $ {\hat{\mu}^s}_{{\mathcal{M}} }(t) $ at the right axis

    Figure 9.  Deviations of the density from steady state for the nonlinear systems with the control based on the parameter $ {\hat{\mu}^s}_{{\mathcal{M}} }(t) $

    Figure 10.  Deviations from steady state are stated in terms of the scaled Lyapunov function (22) as dashed line, which is an upper bound of the $ L^2 $-norm. Here, simulations for both parameters differ in a magnitude less than $ \sim10^{-5} $

    Figure 11.  Discontinuous initial data $ {\mathcal{R}}^\pm(0, x) = 2\, \text{sign}(x) $ and feedback control based on the weighted Rayleigh quotient. Simulations for the conservation law without source term are shown in blue. The scaled Lyapunov function (22) yields an upper bound on the $ L^2 $-norm that decays at least with the desired rate $ \mu = 0.1 $ (left panel) and $ \mu = 1 $ (right panel). Simulations for the semilinear system are shown in red. The corresponding deviations decrease non-monotonically

  • [1] M. K. Banda and G. Y. Weldegiyorgis, Numerical boundary feedback stabilisation of non-uniform hyperbolic systems of balance laws, Internat. J. Control, 93 (2020), 1428-1441.  doi: 10.1080/00207179.2018.1509133.
    [2] G. Bastin and J.-M. Coron, On boundary feedback stabilization of non-uniform linear 2$\times$2 hyperbolic systems over a bounded interval, Systems Control Lett., 60 (2011), 900-906.  doi: 10.1016/j.sysconle.2011.07.008.
    [3] G. Bastin and J.-M. Coron, Stability and Boundary Stabilization of 1-D Hyperbolic Systems, Progress in Nonlinear Differential Equations and their Applications, 88. Subseries in Control. Birkhäuser/Springer, [Cham], 2016. doi: 10.1007/978-3-319-32062-5.
    [4] G. Bastin and J.-M. Coron, Exponential stability of semi-linear one-dimensional balance laws, Feedback Stabilization of Controlled Dynamical Systems, Lect. Notes Control Inf. Sci., Springer, Cham, 473 (2017), 265-278. 
    [5] G. BastinB. HautJ.-M. Coron and B. D'Andréa-Novel, Lyapunov stability analysis of networks of scalar conservation laws, Netw. Heterog. Media, 2 (2007), 749-757.  doi: 10.3934/nhm.2007.2.751.
    [6] A. Bressan, Hyperbolic Systems of Conservation Laws: The one Dimensional Cauchy Problem, Oxford Lecture Series in Mathematics and its Applications, 20. Oxford University Press, Oxford, 2000.
    [7] J.-M. Coron, Control and Nonlinearity, Mathematical Surveys and Monographs, 136. American Mathematical Society, Providence, RI, 2007. doi: 10.1090/surv/136.
    [8] J.-M. Coron and G. Bastin, Dissipative boundary conditions for one-dimensional quasilinear hyperbolic systems: Lyapunov stability for the $C^1$-norm, SIAM J. Control Optim., 53 (2015), 1464-1483.  doi: 10.1137/14097080X.
    [9] J.-M. CoronG. Bastin and B. d'Andréa-Novel, A strict Lyapunov function for boundary control of hyperbolic systems of conservation laws, IEEE Trans. Automat. Control, 52 (2007), 2-11.  doi: 10.1109/TAC.2006.887903.
    [10] J.-M. Coron, G. Bastin and B. d'Andréa-Novel, Boundary feedback control and Lyapunov stability analysis for physical networks of 2$\times$2 hyperbolic balance laws, Proceedings of the 47th IEEE Conference on Decision and Control, 1454–1458.
    [11] I. CraveroG. PuppoM. Semplice and G. Visconti, Cool WENO schemes, Computers & Fluids, 169 (2018), 71-86.  doi: 10.1016/j.compfluid.2017.07.022.
    [12] I. CraveroG. PuppoM. Semplice and G. Visconti, CWENO: Uniformly accurate reconstructions for balance laws, Mathematics of Computation, 87 (2018), 1689-1719.  doi: 10.1090/mcom/3273.
    [13] M. Dus, Exponential stability of a general slope limiter scheme for scalar conservation laws subject to a dissipative boundary condition, Math. Control Signals Systems, 34 (2022), 37-65.  doi: 10.1007/s00498-021-00301-2.
    [14] S. Gerster, Stabilization and Uncertainty Quantification for Systems of Hyperbolic Balance Laws, Dissertation, RWTH Aachen University, Aachen, 2020.
    [15] S. Gerster and M. Herty, Discretized feedback control for systems of linearized hyperbolic balance laws, Math. Control Relat. Fields, 9 (2019), 517-539.  doi: 10.3934/mcrf.2019024.
    [16] M. Gugat and S. Gerster, On the limits of stabilizability for networks of strings, Systems Control Lett., 131 (2019), 104494, 10 pp. doi: 10.1016/j.sysconle.2019.104494.
    [17] M. GugatJ. Giesselmann and T. Kunkel, Exponential synchronization of a nodal observer for a semilinear model for the flow in gas networks, IMA J. Math. Control Inform., 38 (2021), 1109-1147.  doi: 10.1093/imamci/dnab029.
    [18] M. Gugat, J. Habermann, M. Hintermüller and O. Huber, Constrained exact boundary controllability of a semilinear model for pipeline gas flow, Preprint: Weierstraß-Institut für Angewandte Analysis und Stochastik, 2899.
    [19] M. Gugat and M. Herty, Limits of stabilizabilizy for a semilinear model for gas pipeline flow, Optimization and Control for Partial Differential Equations—Uncertainty Quantification, Open and Closed-Loop Control, and Shape Optimization, Radon Ser. Comput. Appl. Math., De Gruyter, Berlin, 29 (2022), 59-71.  doi: 10.1515/9783110695984-003.
    [20] A. Hayat, Boundary stability of 1-d nonlinear inhomogeneous hyperbolic systems for the $C^{1}$ norm, SIAM J. Control Optim., 57 (2019), 3603-3638.  doi: 10.1137/17M1150803.
    [21] A. Hayat, Global exponential stability and input-to-state stability of semilinear hyperbolic systems for the $L^2$ norm, Systems Control Lett., 148 (2021), 104848, 8 doi: 10.1016/j.sysconle.2020.104848.
    [22] L. HuR. VazquezF. Di Meglio and M. Krstic, Boundary exponential stabilization of 1-dimensional inhomogeneous quasi-linear hyperbolic systems, SIAM J. Control Optim., 57 (2019), 963-998.  doi: 10.1137/15M1012712.
    [23] G.-S. Jiang and C.-W. Shu, Efficient implementation of weighted ENO schemes, J. Comput. Phys., 26 (1996), 202-228.  doi: 10.1006/jcph.1996.0130.
    [24] M. Kac, A stochastic model related to the telegrapher's equation, Rocky Mountain Journal of Mathematics, 4 (1974), 497-510.  doi: 10.1216/RMJ-1974-4-3-497.
    [25] H. K. Khalil, Nonlinear Control, Pearson Education, 2015.
    [26] C. KlingenbergG. Puppo and M. Semplice, Arbitrary order finite volume well-balanced schemes for the Euler equations with gravity, SIAM J. Sci. Comput., 41 (2019), 695-721.  doi: 10.1137/18M1196704.
    [27] R. J. Leveque, Finite Volume Methods for Hyperbolic Problems, Cambridge Texts in Applied Mathematics, Cambridge University Press, Cambridge, 2002. doi: 10.1017/CBO9780511791253.
    [28] F. Lutscher, Modeling alignment and movement of animals and cells, J. Math. Biol., 45 (2002), 234-260.  doi: 10.1007/s002850200146.
    [29] B. K. Mapundi and G. Y. Weldegiyorgis, Input-to-state stability of non-uniform linear hyperbolic systems of balance laws via boundary feedback control, Appl. Math. Optim., 84 (2021), 2701-2726.  doi: 10.1007/s00245-020-09726-8.
    [30] B. Riemann, Über die Fortpflanzung ebener Luftwellen von endlicher Schwingungsweite, Abhandlungen der Königlichen Gesellschaft der Wissenschaften in Göttingen, 8 (1860), 43-66.
    [31] P. Schillen and S. Göttlich, Numerical discretization of boundary control problems for systems of balance laws: Feedback stabilization, European Journal of Control, 35 (2017), 11-18.  doi: 10.1016/j.ejcon.2017.02.002.
    [32] M. Semplice, E. Travaglia and G. Puppo, One- and multi-dimensional CWENOZ reconstructions for implementing boundary conditions without ghost cells, Communications on Applied Mathematics and Computation, (2021), 1-27. doi: 10.1007/s42967-021-00151-4.
    [33] J. C. Simo and T. J. R. Hughes, Computational Inelasticity, Interdisciplinary Applied Mathematics, 7. Springer-Verlag, New York, 1998.
    [34] L. ZhangC. Prieur and J. Qiao, Local exponential stabilization of semi-linear hyperbolic systems by means of a boundary feedback control, IEEE Control Syst. Lett., 2 (2018), 55-60.  doi: 10.1109/LCSYS.2017.2724141.
  • 加载中

Figures(11)

SHARE

Article Metrics

HTML views(4772) PDF downloads(322) Cited by(0)

Access History

Catalog

    /

    DownLoad:  Full-Size Img  PowerPoint
    Return
    Return