\`x^2+y_1+z_12^34\`
Advanced Search
Article Contents
Article Contents

A unified approach for realization of discrete-time fractional-order proportional derivative controller for two classes of plant models

  • *Corresponding author: Jaydeep Swarnakar

    *Corresponding author: Jaydeep Swarnakar
Abstract / Introduction Full Text(HTML) Figure(22) / Table(5) Related Papers Cited by
  • In this work, a method has been proposed for the realization of a discrete-time fractional-order proportional derivative (FOPD) controller for two different classes of plant models. The methodology has been developed in two stages. In the first stage, the continuous-time FOPD controller has been designed from some of the standard frequency domain specifications employing a graphical approach, namely a vector model method. In the second stage, a generating function has been framed in a delta domain using alpha approximation or parameterized Al-Alaoui approximation. The proposed generating function is named the Modified Al Alaoui-Delta (MALD) approximation, which has been expanded using the continued fraction expansion (CFE) method to realize the discrete-time FOPD controller. The discrete-time realization of the controller has been executed in a delta domain instead of a traditional $ z $-domain, as the delta operator offers unification between a discrete-time system and its continuous-time counterpart at the low sampling time limit. The efficacy of the proposed controller realization method, has been justified over some of the existing methods taking suitable examples from the literature.

    Mathematics Subject Classification: Primary: 93C55, 93C62; Secondary: 47N70.

    Citation:

    \begin{equation} \\ \end{equation}
  • 加载中
  • Figure 1.  Vector model of the FOPD controller

    Figure 2.  Plot of $ k_d $ versus $ \beta $ (Example 1)

    Figure 3.  Frequency response comparison between $ C_1(s) $ and $ C_{\delta1}(\gamma) $ at $ \Delta = 0.001 $ sec

    Figure 4.  Frequency response comparison between $ G_{OL1}(s) $ and $ G_{OL\delta1}(\gamma) $ at $ \Delta = 0.001 $ sec

    Figure 5.  Comparison of frequency responses obtained from ideal open loop system and its two approximants at $ \Delta = 0.5 $ sec (Example 1)

    Figure 6.  Comparison of frequency responses obtained from ideal open loop system and its two approximants at $ \Delta = 0.01 $ sec (Example 1)

    Figure 7.  Comparison of frequency responses obtained from ideal open loop system and its two approximants at $ \Delta = 0.001 $sec (Example 1)

    Figure 8.  Comparison of frequency responses obtained from ideal open loop system and its three approximants at $ \Delta = 0.005 $ sec (Example 1)

    Figure 9.  Frequency responses of $ G_{OL\delta1}(\gamma) $ for different values of plant gain at $ \Delta = 0.001 $ sec

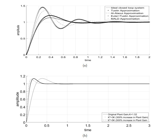
    Figure 10.  (a) Comparison of step responses obtained from an ideal closed loop system and its three approximants at $ \Delta = 0.005 $ sec (Example 1). (b) Step responses of the closed loop system for different values of plant gain at $ \Delta = 0.001 $ sec (Example 1)

    Figure 11.  Plot of $ k_d $ versus $ \beta $ (Example 2)

    Figure 12.  Frequency response comparison between $ C_{2}(s) $ and $ C_{\delta2}(\gamma) $ at $ \Delta = 0.001 $ sec

    Figure 13.  Frequency response comparison between $ G_{OL2}(s) $ and $ G_{OL\delta2}(\gamma) $ at $ \Delta = 0.001 $ sec

    Figure 14.  Comparison of frequency responses obtained from ideal open loop system and its two approximants at $ \Delta = 0.5 $ sec (Example 2)

    Figure 15.  Comparison of frequency responses obtained from ideal open loop system and its two approximants at $ \Delta = 0.01 $sec (Example 2)

    Figure 16.  Comparison of frequency responses obtained from the ideal open loop system and its two approximants at $ \Delta = 0.001 $ sec (Example 2)

    Figure 17.  Comparison of frequency responses obtained from the ideal open loop system and its three approximants at $ \Delta = 0.005 $ sec (Example 2)

    Figure 18.  Frequency responses of $ G_{OL\delta2}(\gamma) $ for different values of plant gain at $ \Delta = 0.001 $ sec (Example 2)

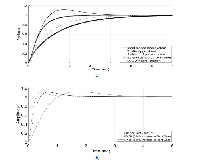
    Figure 19.  (a) Comparison of step responses obtained from an ideal closed loop system and its three approximants at $ \Delta = 0.01 $ sec (Example 2.) (b) Step responses of the closed loop system for different values of plant gain at $ \Delta = 0.001 $ sec (Example 2)

    Figure 20.  Frequency response comparison between $ C_{3}(s) $ and $ C_{\delta 3}(\gamma) $ at $ \Delta = 0.001 $ sec (Example 3)

    Figure 21.  Frequency response comparison between $ G_{OL3}(s) $ and $ G_{OL\delta 3}(\gamma) $ at $ \Delta = 0.001 $ sec (Example 3)

    Figure 22.  Step response plot for the closed loop system of Luo et.al. [13] at $ \Delta = 0.01 $ sec (Example 3)

    Table 1.  Numerator and Denominator coefficients for fifth-order approximation of $ s^\beta $

    $ M_0=32768 C_0+ 28672\Delta C_1 +25088 \Delta^2 C_2+ 21952 \Delta^3 C_3+ 19208 \Delta^4 C_4+ 16807 \Delta^5 C_5 $
    $ M_1=32768 C_1+ 57344\Delta C_2 + 75264 \Delta^2 C_3+ 87808 \Delta^3 C_4+ 96040 \Delta^4 C_5 $
    $ M_2=32768 C_2+ 86016\Delta C_3 + 150528 \Delta^2 C_4+ 219520 \Delta^3 C_5 $
    $ M_3=32768 C_3+ 114688\Delta C_4 + 250880 \Delta^2 C_5 $
    $ M_4=32768 C_4+ 143360\Delta C_5 $
    $ M_5=32768 C_5 $
    $ N_0=32768 C_5+ 28672\Delta C_4 +25088 \Delta^2 C_3+ 21952 \Delta^3 C_2+ 19208 \Delta^4 C_1+ 16807 \Delta^5 C_0 $
    $ N_1=32768 C_4+ 57344\Delta C_3 + 75264 \Delta^2 C_2+ 87808 \Delta^3 C_1+ 96040 \Delta^4 C_0 $
    $ N_2=32768 C_3+ 86016\Delta C_2+ 150528 \Delta^2 C_1+ 219520 \Delta^3 C_0 $
    $ N_3=32768 C_2+ 114688\Delta C_1 + 250880 \Delta^2 C_0 $
    $ N_4=32768 C_1+ 143360\Delta C_0 $
    $ N_5=32768 C_0 $
    $ C_0=- \left(\beta^5+ 15\beta^4+ 85\beta^3+ 225\beta^2 +274\beta+ 120\right) $
    $ C_1= 5\beta^5+ 45\beta^4+ 5\beta^3 -1005\beta^2 -3250\beta -3000 $
    $ C_2=- \left(10\beta^5+ 30\beta^4- 410\beta^3- 1230\beta^2 +4000\beta+ 12000\right) $
    $ C_3=10\beta^5- 30\beta^4 -410\beta^3+ 1230\beta^2 +4000\beta- 12000 $
    $ C_4=- \left(5\beta^5- 45\beta^4+ 5\beta^3+ 1005\beta^2 -3250\beta+ 3000\right) $
    $ C_5= \beta^5- 15\beta^4+ 85\beta^3- 225\beta^2 +274\beta- 120 $
     | Show Table
    DownLoad: CSV

    Table 3.  Discrete-time OLTFs at different sampling time limits (Example 1)

    Sampling Time $ (\Delta) $ $ G_{OL\delta 1}(\gamma) $
    $ \Delta=0.5 $ sec $ \frac{\begin{array}{c} 2.902 \times 10^{10} \gamma^7 +2.71 \times 10^{11} \gamma^6+ 1.015 \times 10^{12}\gamma^5\\ + 1.942 \times10^{12} \gamma^4 +1.99 \times10^{12} \gamma^3 + 1.044 \times10^{12}\gamma^2\\ + 2.395 \times 10^{11}\gamma+ 1.584 \times 10^{10} \end{array}}{\begin{array}{c} 6.063 \times 10^{9}\gamma^7 + 3.983 \times 10^{10}\gamma^6+ 9.951 \times 10^{10} \gamma^5\\ +1.183 \times 10^{11} \gamma^4 + 6.795 \times 10^{10} \gamma^3\\ + 1.651 \times 10^{10} \gamma^2+ 1.128 \times 10^9\gamma \end{array}} $
    $ \Delta=0.01 $ sec $ \frac{\begin{array}{c} 3.769 \times 10^{5} \gamma^7 +9.25 \times 10^{7} \gamma^6+ 6.401 \times 10^{9}\gamma^5\\ + 8.921 \times10^{10} \gamma^4 + 3.685 \times10^{11} \gamma^3 + 4.891 \times10^{11}\gamma^2\\ + 1.92 \times 10^{11}\gamma+ 1.584 \times 10^{10} \end{array}}{\begin{array}{c} 1.406 \times 10^{7}\gamma^7 + 1.034 \times 10^{9}\gamma^6+ 9.802 \times 10^{9} \gamma^5\\ +3.038 \times 10^{10} \gamma^4 + 3.567 \times 10^{10} \gamma^3\\ + 1.361 \times 10^{10} \gamma^2+ 1.128 \times 10^{9}\gamma \end{array}} $
    $ \Delta=0.001 $ sec $ \frac{\begin{array}{c} 3286 \gamma^7 +7.571 \times 10^{6} \gamma^6+ 4.428 \times 10^{9}\gamma^5\\ + 7.791 \times10^{10} \gamma^4+ 3.494 \times10^{12} \gamma^3 +4.8 \times10^{11}\gamma^2\\ + 1.911 \times 10^{11}\gamma+ 1.584 \times 10^{10} \end{array}}{\begin{array}{c} 6.503 \times 10^{6}\gamma^7 + 8.856 \times 10^{8}\gamma^6+ 9.097 \times 10^{9} \gamma^5\\ +2.926 \times 10^{10} \gamma^4+ 3.513 \times 10^{10} \gamma^3\\ + 1.356 \times 10^{10} \gamma^2+ 1.128 \times 10^9\gamma \end{array}} $
     | Show Table
    DownLoad: CSV

    Table 2.  Frequency domain specifications resulted from continuous-time FOPD and discrete-time FOPD (Example1)

    Design Criterions Continuous-time domain Discrete-time domain
    Gain crossover frequency $ \omega_g=8 $ rad/sec $ \omega_g=7.975 $ rad/sec
    Phase margin $ \phi_m=60^\circ $ $ \phi_m=60.235^\circ $
    Flat phase around $ \omega_g $ Satisfied Satisfied
     | Show Table
    DownLoad: CSV

    Table 4.  Frequency domain specifications resulting from continuous-time FOPD and discrete-time FOPD (Example 2)

    Design Criterions Continuous-time domain Discrete-time domain
    Gain crossover frequency $ \omega_g=2 $ rad/sec $ \omega_g=1.9 $ rad/sec
    Phase margin $ \phi_m=65^\circ $ $ \phi_m=65.8^\circ $
    Flat phase around $ \omega_g $ Satisfied Satisfied
     | Show Table
    DownLoad: CSV

    Table 5.  Discrete-time OLTFs at different sampling times (Example 2)

    Sampling Time $ (\Delta) $ $ G_{OL\delta 1}(\gamma) $
    $ \Delta=0.5 $ sec $ \frac{\begin{array}{c} 9.297 \times 10^{18} \gamma^{13} + 1.428 \times 10^{20} \gamma^{12}+ 9.72 \times 10^{20}\gamma^{11}\\ + 3.861 \times10^{21} \gamma^{10} + 9.922 \times10^{21} \gamma^9 + 1.728 \times10^{22}\gamma^8\\ + 2.079 \times 10^{22}\gamma^7 +1.727 \times 10^{22} \gamma^6 + 9.734 \times 10^{21}\gamma^5\\ + 3.6 \times10^{21} \gamma^4 + 8.244 \times10^{20} \gamma^3 + 1.063 \times10^{20}\gamma^2\\ + 6.551 \times 10^{18}\gamma+ 1.45 \times 10^{17} \end{array}}{\begin{array}{c} 1.163 \times 10^{19} \gamma^{13} + 1.447 \times 10^{20} \gamma^{12}+ 7.839 \times 10^{20}\gamma^{11}\\ + 2.424 \times10^{21} \gamma^{10} + 4.722 \times10^{21} \gamma^9 + 6.039 \times10^{21}\gamma^8\\ + 5.123 \times 10^{21}\gamma^7 + 2.852 \times 10^{21}\gamma^6 + 1.01 \times 10^{21} \gamma^5\\ +2.152 \times 10^{20} \gamma^4 + 2.515 \times 10^{19} \gamma^3\\ + 1.367 \times 10^{18} \gamma^2+ 2.69 \times 10^{16}\gamma \end{array}} $
    $ \Delta=0.01 $ sec $ \frac{\begin{array}{c} 5.56 \times 10^{11} \gamma^{13} + 1.63 \times 10^{14} \gamma^{12}+ 1.623 \times 10^{16}\gamma^{11}\\ + 6.485 \times10^{17} \gamma^{10} + 1.141 \times10^{19} \gamma^9 + 9.5 \times10^{19}\gamma^8\\ + 4.174 \times 10^{20}\gamma^7 +1.018 \times 10^{21} \gamma^6 + 1.385 \times 10^{21}\gamma^5\\ + 1.031 \times10^{21} \gamma^4 + 3.992 \times10^{20} \gamma^3 + 7.469 \times10^{19}\gamma^2\\ + 5.742 \times 10^{18}\gamma+ 1.45 \times 10^{17} \end{array}}{\begin{array}{c} 1.093 \times 10^{14} \gamma^{13} + 1.715 \times 10^{16} \gamma^{12}+ 6.047 \times 10^{17}\gamma^{11}\\ + 8.809 \times10^{18} \gamma^{10} + 6.295 \times10^{19} \gamma^9 + 2.404\times10^{20}\gamma^8\\ + 5.069 \times 10^{20}\gamma^7 + 5.886 \times 10^{20}\gamma^6 + 3.704 \times 10^{20} \gamma^5\\ +1.208 \times 10^{20} \gamma^4 + 1.902\times 10^{19} \gamma^3\\ + 1.229 \times 10^{18} \gamma^2+ 2.69 \times 10^{16}\gamma \end{array}} $
    $ \Delta=0.001 $ sec $ \frac{\begin{array}{c} 3.164 \times 10^{9} \gamma^{13} + 7.485 \times 10^{12} \gamma^{12}+ 4.717 \times 10^{15}\gamma^{11}\\ + 3.442 \times10^{17} \gamma^{10}+ 8.038 \times10^{18} \gamma^9+ 7.656 \times10^{19}\gamma^8\\ + 3.636 \times 10^{20}\gamma^7 +9.331 \times 10^{20} \gamma^6+ 1.313 \times 10^{21}\gamma^5\\ + 9.994 \times10^{20} \gamma^4+ 3.928 \times10^{20} \gamma^3+ 7.415 \times10^{19}\gamma^2\\ + 5.728 \times 10^{18}\gamma+ 1.45 \times 10^{17} \end{array}}{\begin{array}{c} 7.685 \times 10^{12} \gamma^{13} + 9.144 \times 10^{15} \gamma^{12}+ 4.189 \times 10^{17}\gamma^{11}\\ + 6.971 \times10^{18} \gamma^{10}+ 5.394 \times10^{19} \gamma^9 + 2.172 \times10^{20}\gamma^8\\ + 4.751 \times 10^{20}\gamma^7 + 5.656 \times 10^{20}\gamma^6+ 3.619 \times 10^{20} \gamma^5\\ +1.193 \times 10^{20} \gamma^4+ 1.892 \times 10^{19} \gamma^3\\ + 1.226 \times 10^{18} \gamma^2+ 2.69 \times 10^{16}\gamma \end{array}} $
     | Show Table
    DownLoad: CSV
  • [1] B. Adhikary and J. Swarnakar, Band limited realization of fractional-order proportional integral controller for a class of finite dimensional system, In: A. Pandian, K. Ntalianis, R. Palanisamy (eds), Intelligent Computing, Information and Control Systems, ICICCS 2019, Advances in Intelligent Systems and Computing, Springer, (2020), 70-77.
    [2] B. Adhikary and J. Swarnakar, Realization of fractional-order proportional integral controller for a class of higher order system-a comparative study, In: M. Gabbouj, S. S. Pandey, H. K. Garg, R. Hazra, (eds) Emerging Electronics and Automation, E2A 2022. Lecture Notes in Electrical Engineering, Springer, Singapore, 1088 (2024).
    [3] M. A. Al-Alaoui, Al-Alaoui operator and the $\alpha$-approximation for discretization analog systems, Facta Universitatis-series: Electronics and Energetics, 19 (2006), 143-146.  doi: 10.2298/FUEE0601143A.
    [4] A. Beulah, R. Priyadharsini, S. K. Srinithyee and E. Srivarsha, Optimized image edge detection approach using fractional order calculus, Proceedings of $6^{th}$ International Conference on Communication and Electronics Systems (ICCES), IEEE, Coimbatore, India, (2021), 1179-1183.
    [5] Z. Bingul and O. Karahan, Comparison of PID and FOPID controllers tuned by PSO and ABC algorithms for unstable and integrating systems with time delay, Optimal Control Applications and Methods, 39 (2018), 1431-1450. 
    [6] I. R. BirsS. FoleaC. M. IonescuR. De Keyser and C. I. Muresan, Discrete-time implementation and experimental validation of a fractional order PD controller for vibration suppression in airplane wings, Acta Polytechnica Hungarica, 14(1) (2017), 191-206.  doi: 10.1002/oca.2419.
    [7] N. Cai, W. Jiang, C. Wang and L. Wang, Tuning of fractional order proportional integral controllers based on vector in the complex plane for first order systems, Proceedings of $26^{th}$ Chinese Control and Decision Conference (CCDC), IEEE, Changsha, China, (2014), 49-54.
    [8] N. Cai, L. Jin, C. Wang and M. Wu, Design of robust fractional order proportional integral controller based on vector method, WSEAS Transactions on Systems and Control, 10 (2015).
    [9] N. Cai, H. Liu, X. Liu and C. Wang, Tuning of fractional order $PI^\alpha D^\mu$ controllers with five parameter under strong robustness, Proceedings of the $34^{th}$ Chinese Control Conference (CCC), IEEE, Hangzhou, China, (2015), 2808-2813.
    [10] N. Cai, C. Wang, M. Wu and R. Xin, Fractional order [proportional integral] controllers parameters algorithm based on the vector method, Journal of Harbin Institute of Technology (New Series), 22 (2015).
    [11] C. A. Calderon and R. Sarango, Realization and comparative analysis of fractional order controllers for different discretization methods, Proceedings of 2022 IEEE International Conference on Automation/XXV Congress of the Chilean Association of Automatic Control (ICA-ACCA), Hangzhou, China, (2022), 1-6.
    [12] S. Chen and H. Huang, Design of fractional order proportional integral controller using stability and robustness criteria in time delay system, Measurement and Control, 52 (2019), 1552-1566. 
    [13] Y. Chen, H. Li and Y. Luo, Fractional order proportional and derivative controller synthesis for a class of fractional order systems: Tuning rule and hardware in-the-loop experiment, Proceedings of the $48^{th}$ IEEE Conference on Decision and Control (CDC) held jointly with 2009 $28^{th}$ Chinese Control Conference, IEEE, Shanghai, (2009), 5460-5465.
    [14] Y. ChenH. Li and Y. Luo, A fractional order proportional and derivative (fopd) motion controller: Tuning rule and experiments, IEEE Transactions on Control Systems Technology, 18 (2009), 516-520. 
    [15] Y.-Q. ChenL. LiuD. Xue and S. Zhang, General robustness analysis and robust fractional-order PD controller design for fractional-order plants, IET Control Theory Appl., 12 (2018), 1730-1736. 
    [16] Y.-Q. ChenI. Petráš and B. M. Vinagre, Two direct tustin discretization methods for fractional-order differentiator/integrator, Journal of the Franklin Institute, 340 (2003), 349-362. 
    [17] Y.-Q. ChenI. Podlubny and B. M. Vinagre, Continued fraction expansion approaches to discretizing fractional order derivatives- an expository review, Nonlinear Dynamics, Springer, 38 (2004), 155-170. 
    [18] R. De Keyser and C. I. Muresan, Analysis of a new continuous-to-discrete-time operator for the approximation of fractional order systems, Proceedings of the 2016 IEEE International Conference on Systems, Man, and Cybernetics (SMC), Budapest, Hungary, (2016), 3211-3216.
    [19] R. De KeyserC. I. Muresan and C. M. Ionescu, An efficient algorithm for low-order direct discrete time implementation of fractional order transfer functions, ISA Transactions, 74 (2018), 229-238. 
    [20] S. K. DolaiA. Mondal and P. Sarkar, A new approach for direct discretization of fractional order operator in delta domain, Facta Universitatis, Series: Electronics and Energetics, 35 (2022), 313-331. 
    [21] L. Gao, D. Hu, X. Li, D. Wang and Q. Zhang, A graphical design method of fractional-order proportional-derivative controllers for fractional-order integrating systems with time delays, Proceedings of the 2021 IEEE $5^{th}$ Information Technology, Networking, Electronic and Automation Control Conference (ITNEC), 5 (2021), 338-344.
    [22] G. GargA. Rani and J. Yadav, Intelligent heart rate controller for cardiac pacemaker, International Journal of Computer Applications, 36 (2011), 22-29. 
    [23] G. C. Goodwin and R. H. Middleton, Digital Control and Estimation: A Unified Approach, Prentice Hall, Englewood Cliffs, 1990.
    [24] W. GuiC. YangF. Zhang and X. Zhou, Optimal setting and control strategy for industrial process based on discrete-time fractional-order $PI^{\alpha}D^{\mu}$, IEEE Access, 7 (2019), 47747-47761.  doi: 10.1109/ACCESS.2019.2909816.
    [25] L. Guo and J. Zhang, Theory and design of PID controller for nonlinear uncertain systems, IEEE Control Systems Letters, 3 (2019), 643-648.  doi: 10.1109/LCSYS.2019.2915306.
    [26] M. Gupta and R. Yadav, Design of fractional order differentiators and integrators using indirect discretization approach, Proceedings of the 2010 International Conference on Advances in Recent Technologies in Communication and Computing, Kottayam, India, (2010), 126-130
    [27] G. Gurumurthy, B. M. Krishna and K. Yadlapati, A fractional order controller design for a class of linear systems, Proceedings of the Kansas Power and Energy Conference (KPEC), IEEE, Manhattan, USA, (2021), 1-4.
    [28] R. E. Gutiérrez, J. T. Machado and J. M. Rosário, Fractional order calculus: Basic concepts and engineering applications, Mathematical Problems in engineering, Hindawi, 2010.
    [29] A. Idir, M. Kidouche, Y. Bensafia, K. Khettab and S. A. Tadjer, Speed control of DC motor using PID and FOPID controllers based on differential evolution and PSO, International Journal of Intelligent Engineering Systems, 20 (2018).
    [30] X. Lu, B. Song and L. Xu, A comparative study on Tustin rule based discretization methods for fractional order differentiator, Proceedings of the $4^{th}$ IEEE International Conference on Information Science and Technology, Shenzhen, China, (2014), 515-518.
    [31] Y. LuoY. PengY. PiB. Wang and S. Wang, Design and high-order precision numerical implementation of fractional-order PI controller for PMSM speed system based on FPGA, Fractal and Fractional, 6 (2022), 218.  doi: 10.3390/fractalfract6040218.
    [32] L. M. Martinez-Patiño, F. J. Perez-Pinal and A. G. S Sánchez, Comparison between discretization Techniques on HIL fractional-order controllers, Proceedings of the IEEE Transportation Electrification Conference Expo (ITEC), Anaheim, CA, USA, (2022), 467-472.
    [33] H. S. Mohammadzadeh and M. Tabatabaei, Design of non-overshooting fractional-order pd and pid controllers for special case of fractional-order plants, Journal of Control, Automation and Electrical Systems, 30 (2019), 611-621.  doi: 10.1007/s40313-019-00491-w.
    [34] X. MoreauM. Nouillant and A. Oustaloup, The crone suspension, Control Engineering Practice, 4 (1996), 1101-1108.  doi: 10.1016/0967-0661(96)00109-8.
    [35] C. Nuevo-Gallardo, I. Tejado, J. E. Traver and B. M. Vinagre, Modelling cardiovascular diseases with fractional-order derivatives, In: Dzielinski, A., Sierociuk, D., Ostalczyk, P. (eds) Proceedings of the International Conference on Fractional Differentiation and its Applications (ICFDA 2021), Lecture Notes in Networks and Systems, Springer, 452 (2022), 52-57.
    [36] I. Petrá$\breve{\rm{s}}$, A new discrete approximation of the fractional-order operator, Proceedings of the $13^{th}$ International Carpathian Control Conference (ICCC), High Tatras, Slovakia, (2012), 547-551.
    [37] I. Podlubny, Fractional order systems and $PI^\alpha D^\mu$ controllers, IEEE Transactions on Automatic Control, 44 (1999), 208-214.  doi: 10.1109/9.739144.
    [38] K. Ranjbaran and M. Tabatabaei, Fractional order [pi], [pd] and [pi][pd] controller design using bode's integrals, International Journal of Dynamics and Control, 6 (2018), 200-212.  doi: 10.1007/s40435-016-0301-7.
    [39] T. B. Sekara and M. R. Stojic, Application of the $\alpha$-approximation for discretization of analogue systems, Facta Universitatis, Series: Electronics and Energetics, 3 (2005), 571-586. 
    [40] P. Shi, H.-Y. Xia, H. Yang and L. Zhao, Analysis and synthesis of delta operator systems, Lecture Notes in Control and Information Sciences, Springer, Berlin, Heidelberg, (2012), 430.
    [41] B. SongJ. ZhangQ. Zhang and H. Zhao, Discretization of fractional order differentiator and integrator with different fractional orders, Intelligent Control and Automation, 8 (2017), 75-85. 
    [42] J. Swarnakar, Discrete-time realization of fractional-order proportional integral controller for a class of fractional-order system, Numerical Algebra, Control and Optimization, 12 (2022), 309-320. 
    [43] V. Thirumavalavan and S. K. Vavilala, Analytical design of the fractional order controller and robustness verification, IAES International Journal of Robotics and Automation (IJRA), 10(1) (2021), 10-23.  doi: 10.1002/say.30853.
    [44] E. Varghese, S. Dasgupta and J. S. Savier, Design of robust fractional controller for unstable linear systems based on phase shaper method, Proceedings of the $6^{th}$ International Conference for Convergence in Technology (I2CT), Maharashtra, India, 2021, 1-5.
    [45] W. ZhengY. ChenX. WangM. Lin and J. Guo, Robust fractional order PID controller synthesis for the first order plus integral system, Measurement and Control, 56 (2023), 202-214. 
  • 加载中

Figures(22)

Tables(5)

SHARE

Article Metrics

HTML views(2605) PDF downloads(304) Cited by(0)

Access History

Other Articles By Authors

Catalog

    /

    DownLoad:  Full-Size Img  PowerPoint
    Return
    Return