\`x^2+y_1+z_12^34\`
Advanced Search
Article Contents
Article Contents

Moment-SOS hierarchy and exit location of stochastic processes

  • *Corresponding author: Didier Henrion

    *Corresponding author: Didier Henrion 

The paper is handled by Jiawang Nie as the guest editor.

M. Velasco was partially supported by Proyecto INV-2018-50-1392 (UAndes, Colombia) and Fondo Clemente Estable project FCE-1-2023-1-176172 (ANII, Uruguay). D. Henrion, M. Junca and M. Velasco were partially supported by ColCiencias Colombia-France cooperation Ecos Nord grant "Problemas de momentos en control y optimización" (C19M02).

Abstract / Introduction Full Text(HTML) Figure(4) / Table(2) Related Papers Cited by
  • The moment sum of squares (moment-SOS) hierarchy produces sequences of upper and lower bounds on functionals of the exit time location of a polynomial stochastic differential equation with polynomial constraints, at the price of solving semidefinite optimization problems of increasing size. In this note we use standard results from elliptic partial differential equation analysis to prove convergence of the bounds produced by the hierarchy. We also use elementary convex analysis to describe a super- and sub-solution interpretation dual to a linear formulation on occupation measures. Finally, we introduce a novel Christoffel-Darboux approach for the recovery of the exit location and occupation measures. The practical relevance of these results is illustrated with numerical examples.

    Mathematics Subject Classification: Primary: 90C23, 60H35; Secondary: 90C22, 65C30.

    Citation:

    \begin{equation} \\ \end{equation}
  • 加载中
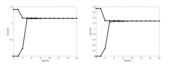
  • Figure 1.  Lower and upper bounds on the functional for increasing relaxation degrees and dimension $ n = 2 $ (left) and $ n = 3 $ (right)

    Figure 2.  Example 5.7: brownian motion

    Figure 3.  Example 5.8: brownian motion with upward drift

    Figure 4.  Example 5.9: square root Bessel process

    Table 1.  Scalar example - bounds for increasing relaxation degrees

    relaxation degree 2 4 6 8 10
    lower bound 0.65000 0.92157 0.98118 0.99503 0.99827
    upper bound 1.00000 1.00000 1.00000 1.00000 1.00000
     | Show Table
    DownLoad: CSV

    Table 2.  Computational burden for relaxation degree 8 and increasing dimensions

    dimension $ n $ 2 3 4 5 6 7 8
    number of moments 73 249 705 1749 3927 8151 15873
    CPU time (seconds) 0.15 0.59 1.9 5.6 19 51 195
     | Show Table
    DownLoad: CSV
  • [1] A. Barvinok, A Course in Convexity, AMS, 2002. doi: 10.1090/gsm/054.
    [2] A. G. Bhatt and V. S. Borkar, Occupation measures for controlled Markov processes: characterization and optimality, Ann. Proba., 24 (1996), 1531-1562.  doi: 10.1214/aop/1065725192.
    [3] R. BuckdahnD. Goreac and M. Quincampoix, Stochastic optimal control and linear programming approach, Appl. Math. Optim., 63 (2011), 257-276.  doi: 10.1007/s00245-010-9120-y.
    [4] M. J. Cho and R. H. Stockbridge, Linear programming formulation for optimal stopping problems, SIAM J. Control Optim., 40 (2002), 1965-1982.  doi: 10.1137/S0363012900377663.
    [5] J. Dahl, Semidefinite Optimization using MOSEK, ISMP Berlin, 2012.
    [6] L. C. Evans, Partial Differential Equations, AMS, 1998.
    [7] L. C. Evans, An Introduction to Stochastic Differential Equations, AMS, 2013. doi: 10.1090/mbk/082.
    [8] K. HelmesS. Röhl and R. H. Stockbridge, Computing moments of the exit time distribution for Markov processes by linear programming, Oper. Res., 49 (2001), 516-530.  doi: 10.1287/opre.49.4.516.11221.
    [9] D. Henrion, M. Korda and J. B. Lasserre, The moment-SOS hierarchy, Lectures in Probability, Statistics, Computational Geometry, Control and Nonlinear PDEs. World Scientific, 2020.
    [10] D. HenrionJ. B. Lasserre and J. Löfberg, GloptiPoly 3: moments, optimization and semidefinite programming, Optim. Meth. Soft., 24 (2009), 761-779.  doi: 10.1080/10556780802699201.
    [11] D. Henrion and E. Pauwels, Linear conic optimization for nonlinear optimal control, Chapter 10, in Advances and Trends in Optimization with Engineering Applications (eds. S. Ahmed, M. Anjos and T. Terlaky), SIAM, 2017. doi: 10.1137/1.9781611974683.ch10.
    [12] C. Jiao and R. Kawai, Computable primal and dual bounds for stochastic optimal control, SIAM J. Control. Optim., 58 (2020), 3709-3733.  doi: 10.1137/18M1232231.
    [13] K. Kashima and R. Kawai, On weak approximation of stochastic differential equations through hard bounds by mathematical programming, SIAM J. Sci. Comput., 35 (2013), A1-A21.  doi: 10.1137/110841497.
    [14] R. Kawai, Explicit hard bounding functions for boundary value problems for elliptic partial differential equations, Comput. Math. Appl., 70 (2015), 2822-2837.  doi: 10.1016/j.camwa.2015.09.024.
    [15] A. Kroó and D. S. Lubinsky, Christoffel functions and universality in the bulk for multivariate orthogonal polynomials, Canad. J. Math., 65 (2013), 600-620.  doi: 10.4153/CJM-2012-016-x.
    [16] T. G. Kurtz and R. H. Stockbridge, Existence of Markov control and characterization of optimal Markov controls, SIAM J. Control Optim., 36 (1998), 609-653.  doi: 10.1137/S0363012995295516.
    [17] J. B. LasserreMoments, Positive Polynomials and Their Applications, Imperial College Press, 2010. 
    [18] J. B. LasserreE. Pauwels and  M. PutinarThe Christoffel-Darboux Kernel for Data Analysis, Cambridge University Press, 2022.  doi: 10.1017/9781108937078.
    [19] J. B. Lasserre and T. Priéto-Rumeau, SDP vs. LP relaxations for the moment approach in some performance evaluation problems, Stoch. Models, 20 (2004), 439-456.  doi: 10.1081/STM-200033112.
    [20] J. B. LasserreT. Priéto-Rumeau and M. Zervos, Pricing a class of exotic options via moments and SDP relaxations, Math. Finance, 16 (2006), 469-494.  doi: 10.1111/j.1467-9965.2006.00279.x.
    [21] B. Øskendal, Stochastic Differential Equations - An Introduction with Applications, $6^{th}$ edition with corrections, Springer, 2013. doi: 10.1007/978-3-642-14394-6.
    [22] M. Putinar, Positive polynomials on compact semi-algebraic sets, Indiana Univ. Math. J., 42 (1993), 969-984.  doi: 10.1512/iumj.1993.42.42045.
    [23] J. Urbas, Lectures on second order linear partial differential equations, Proc. Center Math. Appl., Australian Nat. Univ., Workshop on Analysis and Geometry Part 1, 34 (1995), 39-75.
  • 加载中

Figures(4)

Tables(2)

SHARE

Article Metrics

HTML views(3179) PDF downloads(757) Cited by(0)

Access History

Other Articles By Authors

Catalog

    /

    DownLoad:  Full-Size Img  PowerPoint
    Return
    Return